- Graph Theory - Home
- Graph Theory - Introduction
- Graph Theory - History
- Graph Theory - Fundamentals
- Graph Theory - Applications
- Types of Graphs
- Graph Theory - Types of Graphs
- Graph Theory - Simple Graphs
- Graph Theory - Multi-graphs
- Graph Theory - Directed Graphs
- Graph Theory - Weighted Graphs
- Graph Theory - Bipartite Graphs
- Graph Theory - Complete Graphs
- Graph Theory - Subgraphs
- Graph Theory - Trees
- Graph Theory - Forests
- Graph Theory - Planar Graphs
- Graph Theory - Hypergraphs
- Graph Theory - Infinite Graphs
- Graph Theory - Random Graphs
- Graph Representation
- Graph Theory - Graph Representation
- Graph Theory - Adjacency Matrix
- Graph Theory - Adjacency List
- Graph Theory - Incidence Matrix
- Graph Theory - Edge List
- Graph Theory - Compact Representation
- Graph Theory - Incidence Structure
- Graph Theory - Matrix-Tree Theorem
- Graph Properties
- Graph Theory - Basic Properties
- Graph Theory - Coverings
- Graph Theory - Matchings
- Graph Theory - Independent Sets
- Graph Theory - Traversability
- Graph Theory Connectivity
- Graph Theory - Connectivity
- Graph Theory - Vertex Connectivity
- Graph Theory - Edge Connectivity
- Graph Theory - k-Connected Graphs
- Graph Theory - 2-Vertex-Connected Graphs
- Graph Theory - 2-Edge-Connected Graphs
- Graph Theory - Strongly Connected Graphs
- Graph Theory - Weakly Connected Graphs
- Graph Theory - Connectivity in Planar Graphs
- Graph Theory - Connectivity in Dynamic Graphs
- Special Graphs
- Graph Theory - Regular Graphs
- Graph Theory - Complete Bipartite Graphs
- Graph Theory - Chordal Graphs
- Graph Theory - Line Graphs
- Graph Theory - Complement Graphs
- Graph Theory - Graph Products
- Graph Theory - Petersen Graph
- Graph Theory - Cayley Graphs
- Graph Theory - De Bruijn Graphs
- Graph Algorithms
- Graph Theory - Graph Algorithms
- Graph Theory - Breadth-First Search
- Graph Theory - Depth-First Search (DFS)
- Graph Theory - Dijkstra's Algorithm
- Graph Theory - Bellman-Ford Algorithm
- Graph Theory - Floyd-Warshall Algorithm
- Graph Theory - Johnson's Algorithm
- Graph Theory - A* Search Algorithm
- Graph Theory - Kruskal's Algorithm
- Graph Theory - Prim's Algorithm
- Graph Theory - Borůvka's Algorithm
- Graph Theory - Ford-Fulkerson Algorithm
- Graph Theory - Edmonds-Karp Algorithm
- Graph Theory - Push-Relabel Algorithm
- Graph Theory - Dinic's Algorithm
- Graph Theory - Hopcroft-Karp Algorithm
- Graph Theory - Tarjan's Algorithm
- Graph Theory - Kosaraju's Algorithm
- Graph Theory - Karger's Algorithm
- Graph Coloring
- Graph Theory - Coloring
- Graph Theory - Edge Coloring
- Graph Theory - Total Coloring
- Graph Theory - Greedy Coloring
- Graph Theory - Four Color Theorem
- Graph Theory - Coloring Bipartite Graphs
- Graph Theory - List Coloring
- Advanced Topics of Graph Theory
- Graph Theory - Chromatic Number
- Graph Theory - Chromatic Polynomial
- Graph Theory - Graph Labeling
- Graph Theory - Planarity & Kuratowski's Theorem
- Graph Theory - Planarity Testing Algorithms
- Graph Theory - Graph Embedding
- Graph Theory - Graph Minors
- Graph Theory - Isomorphism
- Spectral Graph Theory
- Graph Theory - Graph Laplacians
- Graph Theory - Cheeger's Inequality
- Graph Theory - Graph Clustering
- Graph Theory - Graph Partitioning
- Graph Theory - Tree Decomposition
- Graph Theory - Treewidth
- Graph Theory - Branchwidth
- Graph Theory - Graph Drawings
- Graph Theory - Force-Directed Methods
- Graph Theory - Layered Graph Drawing
- Graph Theory - Orthogonal Graph Drawing
- Graph Theory - Examples
- Computational Complexity of Graph
- Graph Theory - Time Complexity
- Graph Theory - Space Complexity
- Graph Theory - NP-Complete Problems
- Graph Theory - Approximation Algorithms
- Graph Theory - Parallel & Distributed Algorithms
- Graph Theory - Algorithm Optimization
- Graphs in Computer Science
- Graph Theory - Data Structures for Graphs
- Graph Theory - Graph Implementations
- Graph Theory - Graph Databases
- Graph Theory - Query Languages
- Graph Algorithms in Machine Learning
- Graph Neural Networks
- Graph Theory - Link Prediction
- Graph-Based Clustering
- Graph Theory - PageRank Algorithm
- Graph Theory - HITS Algorithm
- Graph Theory - Social Network Analysis
- Graph Theory - Centrality Measures
- Graph Theory - Community Detection
- Graph Theory - Influence Maximization
- Graph Theory - Graph Compression
- Graph Theory Real-World Applications
- Graph Theory - Network Routing
- Graph Theory - Traffic Flow
- Graph Theory - Web Crawling Data Structures
- Graph Theory - Computer Vision
- Graph Theory - Recommendation Systems
- Graph Theory - Biological Networks
- Graph Theory - Social Networks
- Graph Theory - Smart Grids
- Graph Theory - Telecommunications
- Graph Theory - Knowledge Graphs
- Graph Theory - Game Theory
- Graph Theory - Urban Planning
- Graph Theory Useful Resources
- Graph Theory - Quick Guide
- Graph Theory - Useful Resources
- Graph Theory - Discussion
Graph Theory - Complete Bipartite Graphs
Complete Bipartite Graphs
A complete bipartite graph is a special type of bipartite graph where every vertex in one set is connected to every vertex in the other set. These graphs are denoted as Km,n, where m and n represent the number of vertices in each of the two sets.
The following image shows an example of a complete bipartite graph −
Properties of Complete Bipartite Graphs
Complete bipartite graphs have several important properties, which include −
- Disjoint Sets: The vertices are divided into two disjoint sets, and no edges exist within the same set. All edges are between vertices of different sets.
- Complete Connectivity: Every vertex in the first set is connected to every vertex in the second set. This results in m n edges.
- Planarity: Complete bipartite graphs Km,n are planar if and only if m 2 or n 2.
- Chromatic Number: The chromatic number of a complete bipartite graph is 2, since the vertices can be colored with two colors, one for each set.
The structure of a complete bipartite graph ensures that vertices within the same set are not connected to each other, providing a clear separation between the two sets of vertices.
Classification of Complete Bipartite Graphs
Complete bipartite graphs can be classified based on the sizes of the two sets of vertices −
- K1,3: This is a star graph with one central vertex connected to three outer vertices.
- K2,2: This is a cycle of length 4, where each set has 2 vertices.
- K3,3: This is a non-planar graph known as the utility graph, often used to illustrate the three utilities problem.
- K2,3: This graph consists of 2 vertices in one set and 3 vertices in the other set, with each vertex from the first set connected to every vertex in the second set.
K1,3 - Star Graph
A K1,3 graph is a star graph with one central vertex connected to three outer vertices. This graph is a specific case of a complete bipartite graph where one set contains just a single vertex (the center) and the other set contains three vertices (the leaves).
The central vertex is connected to all the other three vertices, and there are no edges between the three outer vertices.
The following image shows a K1,3 star graph −
K2,2 - Cycle of Length 4
A K2,2 graph is a type of graph that can be divided into two sets of vertices, with each set containing two vertices, and every vertex from one set is connected to every vertex in the other set. In this particular case, the graph K2,2 forms a cycle of length 4.
The following image shows a K2,2 cycle graph where each set contains 2 vertices, forming a square −
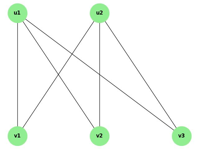
K3,3 - Utility Graph
A K3,3 graph is a complete bipartite graph with 3 vertices in each set. Every vertex in one set is connected to all vertices in the other set, while there are no edges between vertices within the same set. This graph is non-planar.
This graph is also known as a utility graph due to its application in the classic three utilities problem.
The following image shows a K3,3 utility graph −
In this diagram:
- u1, u2, u3 are the vertices in one set.
- v1, v2, v3 are the vertices in the other set.
- Every vertex in the first set is connected to every vertex in the second set, forming 9 edges in total.
K2,3 - Complete Bipartite Graph
A K2,3 graph consists of 2 vertices in one set and 3 vertices in the other set. Each vertex from the first set is connected to every vertex in the second set.
The following image shows a K2,3 complete bipartite graph −
Applications of Complete Bipartite Graphs
Complete bipartite graphs are used in various practical applications, including −
- Network Design: Complete bipartite graphs are useful for designing networks with two distinct sets of nodes, ensuring complete connectivity between the sets.
- Matching Problems: These graphs are used in matching problems where elements from one set need to be paired with elements from another set, such as job assignments.
- Scheduling: In scheduling, complete bipartite graphs can represent tasks and resources, ensuring each task is connected to every available resource.
- Database Relationships: They are used to model relationships between two sets of entities, such as customers and products in a database.
Testing Bipartiteness in Graphs
We can use various methods to test whether a graph is bipartite, such as −
- Two-Coloring: Attempting to color the graph with two colors. If successful, the graph is bipartite.
- Breadth-First Search (BFS): Using BFS to check if the graph can be divided into two sets with no edges within the same set.
Various Types of Complete Bipartite Graphs
There are several special types of complete bipartite graphs with unique properties, such as −
| Graph Type | Sets | Notes |
|---|---|---|
| General Bipartite | m, n | Any complete bipartite graph Km,n with m and n vertices in each set, respectively. |
| Equal Sets Km,m Bipartite Graph | m, m | A bipartite graph where both sets contain an equal number of vertices, and every vertex in one set is connected to every vertex in the other set. |
| Wheel Graph | 1, n-1 | A wheel graph consists of a cycle with one central vertex connected to all vertices in the cycle, forming a "wheel" structure. |
| Toric Grid Graph | m, n | A graph formed by connecting vertices arranged in a grid on a torus, used in physics and geometry. |
| Bipartite Multigraph | m, n | A complete bipartite graph where multiple edges can exist between pairs of vertices in different sets. |