Selected Reading

SEO - Quick Guide



SEO - What is SEO?

Introduction

In today's computerised age, where online permeability and biological activity are vital for businesses, Search Engine Optimization (SEO) plays an essential part. Understanding SEO and its effect on site rankings and permeability is fundamental for anybody looking to establish a solid online presence. In this chapter, we'll dig into the basics of SEO, investigating what it is and why it is critical for businesses of all sizes.

Understanding SEO

Search Engine Optimization, or SEO, alludes to optimizing a website's substance, structure, and other components to make strides in its permeability on look motor comes about pages (SERPs). The essential objective of SEO is to upgrade a website's natural (non-paid) look motor rankings, driving focus on activity and expanding its online nearness.

Key Components of SEO

Sr.No. Component & Description
1

Catchphrases

Catchphrases are the establishment of SEO. Clients enter these words or expressions into look motors when seeking detailed data. By focusing on pertinent watchwords, businesses can optimise their site substance to coordinate users' look aim and increment their chances of appearing in look results.

2

On-Page Optimization

On-page optimisation involves optimising different webpage components to make it look more engine-friendly. This incorporates optimising meta labels (title, depiction), headings, URL structure, inner connecting, and guaranteeing watchword significance inside the content.

3

Off-Page Optimization

Off-page optimisation centres on exercises exterior of the site that impact its look motor rankings. This incorporates building high-quality backlinks from trustworthy sources, social media engagement, and online brand mentions.

4

Technical SEO

Specialised SEO includes optimising the specialised angles of the website to upgrade its crawlability and indexability by look motors. This incorporates optimising location speed, versatile responsiveness, XML sitemaps, robots.txt, and canonicalisation.

Why SEO Matters?

  • Expanded Perceivability − SEO makes a difference. Businesses pick up superior permeability on look motor comes about pages, making it less demanding for potential clients to discover them. Higher permeability implies more biological activity, driving the expanded brand introduction and only chances of attracting potential customers.

  • Targeted Activity −SEO empowers businesses to draw in focused activity from clients who are effectively looking for items or administrations related to their industry. By optimising for particular watchwords and examining inquiries, businesses can drive profoundly important activity to their site, expanding the probability of conversions.

  • Credibility and Belief −Websites that rank higher on look motor come about pages frequently and appreciate better validity and belief from clients. Being among the best look results implies specialist and mastery within the field, setting up a positive brand image.

  • Cost-Effective Showcasing − SEO could be a cost-effective technique in the long run compared to other digital promoting channels like paid publicising. Whereas it requires speculation in time and assets, the biological activity produced through SEO is free, making it a maintainable promoting approach.

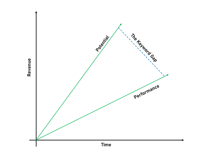
The Significance of Keyword Research

Keyword investigation could be a vital angle of SEO. It includes recognising the catchphrases and expressions that your target gathering of people is utilising to rummage around for data related to your industry. By conducting careful watchword investigations, you pick up essential experiences into client aim and can optimize your website's substance in a like manner. Instruments like Google Catchphrase Organizer, SEMrush, and Moz Keyword Explorer can assist you in recognising important watchwords with tall look volumes and direct competition.

Once you recognise your target watchwords, deliberately joining them into your website's substance is crucial. Adjusting between optimisation and keeping up characteristic, reader-friendly essence is critical. Watchword stuffing, or excessively rehashing catchphrases, can lead to punishments from look motors and contrarily affect client involvement. Point for consistently integrating watchwords into your substance to make it look engine-friendly and lock in for your group of onlookers.

Measuring SEO Success

Tracking and degree pertinent measurements are significant to gauge the adequacy of your SEO endeavours. Here are a couple of key execution markers (KPIs) to monitor −

  • Organic Activity −Analyze the sum of your site's biological activity over time. This metric makes a difference. You get the effect of your SEO endeavours in driving focused guests to your site.

  • Keyword Rankings −Keep an eye on the positions of your target catchphrases in look motor comes about. Enhancements in watchword rankings demonstrate that your site is becoming more unmistakable and competitive.

  • Conversion Rates −Screen the rate of site guests who take craved activities, such as making a buy, filling out a contact frame, or subscribing to a pamphlet. This metric makes a difference in evaluating the viability of your SEO in producing important leads or clients.

Conclusion

In this chapter, we investigated the basics of SEO and its importance in today's advanced scene. SEO plays a crucial part in progressing a website's permeability, drawing in focus on activity and setting up validity. We examined the key components of SEO, counting watchwords, on-page and off-page optimisation, and technical considerations.

Additionally, we touched on the significance of conducting watchword inquiries to recognise the correct terms and expressions to target. Lastly, we highlighted the ought to degree SEO victory through measurements like biological activity, catchphrase rankings, change rates, bounce rate, and backlink profile.

SEO - Tactics & Methods

In this chapter, we will investigate different SEO strategies that can assist in making strides in your website's permeability and look engine rankings. Search Motor Optimization (SEO) could be a continually advancing field, and remaining up to date with the most current strategies is fundamental to remaining ahead of the competition. We'll examine on-page and off-page SEO strategies, counting watchword investigations, substance optimisation, connect building and more. Let's plunge in!

Categorization of SEO

SEO Types drop into two broad categories −

  • White Hat SEO − Procedures that look like motors suggest a portion of great arranging.

  • Black Hat SEO − strategies that are not acknowledged by look motors and whose effect is attempted to be minimised. These procedures are also called spamming.

Description of Types of SEO

White Hat SEO

White Hat SEO alludes to moral and authentic methods and techniques affirmed by look motors and centres on making strides in a website's look motor rankings through natural and maintainable implies. These methods prioritise client encounters, high-quality substance, and adherence to looking motor rules. Not at all like Black Hat SEO strategies that point to control look motor calculations through misleading and spammy hones, White Hat SEO takes after best hones and centres on the long-term comes about.

Sl. No White Hat Technique Description
1 Keyword Research Conducting thorough research to identify relevant keywords.
2 On-Page Optimization Optimising meta tags, headings, content, and URLs.
3 Quality Content Creation Creating valuable and engaging content for users.
4 Natural Link Building Acquiring high-quality backlinks through ethical methods.
5 Site Accessibility Ensuring the website is easily accessible and user-friendly.
6 Mobile Optimization Optimising the website for a seamless mobile experience.
7 Site Speed Optimization Improving page load speed for better user experience.
8 User Engagement Metrics Analysing bounce rates, time on site, and click-through rates.
9 Social Media Integration Incorporating social media to enhance online visibility.
10 Regular Monitoring Tracking SEO performance and making necessary adjustments.

Black Hat SEO

Black Hat SEO techniques involve dishonest techniques that aim to manipulate search engine computations for quick and phoney improvements in search ranks. These tactics emphasise manipulating the system over client interactions and violate theguidelines.

Actualizing Black Hat SEO can lead to extreme punishments, counting being deindexed or prohibited from look motor comes about. It's vital to note that these strategies are undoubtedly disheartening and can have inconvenient impacts on a website's notoriety and long-term victory.

It is continuously prescribed to centre on White Hat SEO procedures prioritising moral hones and giving feasible comes about.

Sl No Black Hat Techniques Description
1 Keyword Stuffing Overloading content with excessive and irrelevant keywords.
2 Hidden Text and Links Hiding text or links from users but visible to search engines.
3 Cloaking Presenting different content to search engines and users.
4 Link Farms Creating networks of low-quality or irrelevant websites.
5 Private Blog Networks (PBN) Building a network of interlinked blogs to manipulate rankings.
6 Content Scraping Stealing and publishing content from other websites.
7 Doorway Pages Creating low-quality pages with the sole purpose of ranking.
8 Negative SEO Deliberately attacking competitors' SEO to harm their rankings.
9 Paid-Link Schemes Purchasing links to manipulate rankings.
10 Automated Content Generating low-quality and spammy content through automation.

SEO Techniques and Methods

Below are the SEO technique methods −

Keyword Research

Keyword inquiry shapes the establishment of any effective SEO methodology. It includes recognising the watchwords and expressions your target group of onlookers uses to hunt for data related to your commerce.

You can optimize your substance to adjust to the client's aim by selecting the correct slogans. A few apparatuses are accessible for catchphrase investigation, such as Google Watchword Organizer, SEMrush, and Moz Catchphrase Pilgrim. The table underneath outlines a catchphrase test inquiry about the format.

On-Page Optimization

On-page optimization alludes to optimizing the components on your site to make strides in its permeability in look motor comes about. A few critical on-page optimization strategies include −

  • Title Labels − Guarantee each page contains an exciting and expressive title tag containing essential keywords.

  • Meta Depictions −Compose compelling meta portrayals that precisely summarise the page substance and lure clients into clicking.

  • Header Labels −Utilize header labels (H1, H2, H3, etc.) to structure your substance and highlight imperative sections.

  • URL Structure −Make user-friendly URLs that incorporate target keywords.

  • Keyword Situation − Join watchwords inside your substance, counting headings, passages, and picture alt tags.

  • Image Optimization −Optimize pictures by compressing record sizes and counting pertinent alt labels.

Content Creation and Optimization

Creating high-quality locks in substance is pivotal for both clients and look motors. Consider the taking-after strategies when optimizing your content −

  • Relevant and Profitable Substance −Make a substance that addresses the requirements and interface of your target audience.

  • Keyword Thickness −Keep up a fitting catchphrase thickness throughout your content.

  • Internal Linking − Interface essential pages inside your site to move route and client experience forward.

  • External Linking − Link to definitive sources to increase esteem and construct validity.

Link Building

Link building is a fundamental off-page SEO strategy that procures high-quality backlinks from other websites. It makes a difference look motors decide the pertinence and specialist of your site. A few viable interface-building strategies include −

  • Guest Blogging −Contribute enlightening articles to trustworthy websites in your industry and incorporate joins into your site.

  • Influencer Outreach −Collaborate with influencers or industry specialists to pick up presentations and get backlinks.

  • Social Media Engagement −Advance your substance on social media stages to energise sharing and connect acquisition.

  • Broken Interface Building −Recognize broken joins on other websites and substitute your substance.

Your website's permeability and natural appearance can be improved overall by implementing effective SEO methods and tactics. Continuously monitor how well your website performs using tools such as Google Analytics and Look Support to identify areas needing change. Keep up with the latest and most recent SEO trends and modify your approach as necessary. You may build a strong SEO and encourage organic traffic to your website using the techniques covered in this chapter.

SEO - On Page Techniques

Search engine optimization (SEO) is vital in advancing the permeability and placing of websites on search engine results pages (SERPs), especially in computerised showcasing. At the same time, off-page SEO centres on external components like backlinks and social signals. In differentiate, on-page SEO procedures include optimising different parts inside an online site to create it search-engine friendly. This chapter will investigate the basic on-page strategies that can assist you in upgrading your website's SEO execution.

Keyword Research and Optimization

Keywords are the foundation of on-page SEO. They are the words or phrases that users enter into search engines for information. Effective keyword research allows you to identify relevant keywords and integrate them strategically into your website's content.

Use tools like Google Keyword Planner, SEMrush, or Moz Keyword Explorer to discover popular keywords related to your niche. Once you have your target keywords, optimise your website by placing them in the following elements −

  • Page Titles − Incorporate your essential catchphrase within the title tag, ideally towards the start. Keep the title brief, compelling, and necessary to the page's substance.

  • Meta Portrayals − Create locks in meta portrayals that summarise the page's substance and lure clients into pressing. Consolidate your target watchword.

  • Headings and Subheadings − Structure your substance utilising HTML heading labels (H1, H2, H3, etc.). Incorporate watchwords in headings to flag pertinence to look motors.

  • URL Structure − Make SEO-friendly URLs that incorporate pertinent catchphrases and are simple for clients to get it. Maintain a strategic distance from long URLs with extra parameters.

Keyword Research Tools

Sl. No. Keyword Research Tool Features
1 Google Keyword Planner Google offers a free tool. It provides information on search traffic, keyword competition, and keyword ideas for various topics and terms.
2 SEMrush Comprehensive SEO tool. Offers keyword analysis, competitor research, backlink analysis, and more.
3 Moz Keyword Explorer Provides keyword suggestions, search volume, difficulty score, and SERP analysis.
4 Ahrefs Offers extensive keyword research and competitor analysis, backlink analysis, and more.
5 Ubersuggest Provides keyword suggestions, search volume, competition analysis, and content ideas.
6 KeywordTool.io Generates keyword ideas for Google, YouTube, Bing, Amazon, and more.
7 Long Tail Pro It emphasises locating long-tail keywords having little to no competition and lots of search traffic.
8 SpyFu Provides competitor analysis, keyword research, and PPC insights
9 KWFinder Offers keyword research, difficulty analysis, SERP analysis, and rank tracking.

These apparatuses can help you find significant watchwords, analyse look volumes and competition, and combine experiences into your competitors' techniques. Each instrument has interesting highlights and estimating plans, so it's imperative to investigate and select the one that adjusts to your requirements.

High-Quality Content

The development of SEO relies heavily on content. Users are satisfied, and search engines are drawn to websites that offer valuable, relevant information.

Consider the following guidelines for content optimisation −

  • Keyword Density − Sprinkle your target keywords naturally throughout your content, maintaining a keyword density of around 1-2%.

  • Content-Length − Longer content tends to perform better in search rankings. Aim for comprehensive, in-depth articles that provide value to readers.

  • Readability − Use bullet points, numbered lists, categories, sections, headingsand subheadings to organise your text. Be sure to write in an understandable, clear, and brief manner. Always remember "Quality over Quantity".

  • Internal Linking − Link relevant pages within your website to provide additional information and improve navigation. Anchor text should include descriptive keywords.

  • Multimedia Elements − Incorporate images, videos, infographics, and other multimedia elements to enhance the user experience and make your content more shareable.

Mobile-Friendly Optimization

Optimising your site for universal responsiveness is vital with the expanding utilisation of versatile gadgets. Look Motors prioritise mobile-friendly websites in their rankings.

Guarantee your site is mobile-friendly by −

  • Responsive Plan − Utilize responsive web plan methods to adjust your website's format and substance to distinctive screen sizes and resolutions.

  • Page Speed − Optimize your website's stacking speed to supply a consistent encounter for versatile clients. Compress pictures, minify code, and utilise caching methods.

  • Mobile UX/UI − Plan your website's portable adaptation with the natural route, clear calls-to-action, and lucid textual styles for little screens.

On-Page SEO Factors

While technical SEO components mainly concentrate on content, they also considerably improve search engine optimization for your website.

Pay attention to the following technical aspects −

  • XML Sitemap − Create and submit an XML sitemap to search engines, providing them with a roadmap of your website's pages and content.

  • Robots.txt − Search engine crawlers can be told which web pages should be indexed and which ones to skip over using a robots.txt file.

  • Canonical Tags − Implement canonical tags to avoid duplicate content issues and consolidate the ranking power of similar pages.

  • Schema Markup − Utilize schema markup to provide additional context to search engines, enhancing the visibility and appearance of your website in SERPs.

On-Page SEO Components

It is essential to implement on-page SEO tactics to increase your website's visibility, draw regular consumers, and rank better in search engines. The SEO performance of your website can be considerably improved by carrying out in-depth keyword research, producing high-quality content, optimizing it for mobile use, and taking care of the technical SEO requirements. Keep up with recent SEO developments to stay competitive online and hone your on-page optimization techniques.

SEO - Off Page Techniques

Within the world of Search Engine Optimization (SEO), off-page procedures play a significant part in moving forward a website's permeability and positioning on search engine result pages (SERPs). Whereas on-page optimization centres on optimizing the website's substance and structure, off-page procedures include external exercises to the site itself.

This chapter will investigate different off-page SEO strategies and techniques to upgrade your website's online nearness and boost its natural look rankings.

Link Building

One of the foremost essential off-page SEO strategies is interface building. Search engines consider backlinks as a vote of certainty from other websites, demonstrating the pertinence and specialist of your substance.

The quality and amount of backlinks can affect your website's SERP positioning. Here are a few successful link-building strategies −

  • Guest Blogging − Writing high-quality visitor posts for important and authoritative websites can assist you in winning profitable backlinks. Make a compelling substance that gives esteem to perusers and incorporates a connection back to your website.

  • Influencer Outreach − Identify influencers in your industry and set up connections with them. Ask them to share your substance or your site, which can create quality backlinks and increase your website's visibility.

  • Broken Link Building − Find broken joins on definitive websites in your speciality and contact the site proprietor or director. Recommend your substance as a substitution, esteeming the site proprietor and their guests.

Social Media Engagement

Social media stages have ended up an integral portion of people's lives, and search engines consider social signals as pointers for a website's notoriety and pertinence.

Utilize the taking-after strategies to use social media for off-page SEO −

  • Content Promotion − Please share your website's substance on social media stages to extend its permeability and empower clients to visit and share it. Lock in with your group of onlookers through comments, likes, and offers to construct a steadfast community.

  • Influencer Collaboration − Collaborate with influencers in your industry to extend your reach and pick up introductions. Influencers can share your substance with their devotees, expanding the probability of backlinks and driving activity to your site.

Online Directories and Listings

Online catalogues and postings can offer assistance in moving forward your website's permeability and creating important activity. Yield your site to well-known registries and postings in your industry, guaranteeing precise and up-to-date data.

A few critical catalogues to consider are −

  • Google My Business − Claim and optimize your commerce posting on Google My Commerce. This lets you see how the neighbourhood looks and gives vital data to potential customers.

  • Industry-Specific Directories − Research and recognize industry-specific directories and listings where you can yield your site. This makes a difference. You reach a focused group of onlookers and progress in your website's permeability.

Content Marketing and Outreach

Creating high-quality substance is essential for off-page SEO. Use substance promoting and outreach to upgrade your website's permeability and draw in natural backlinks. Consider the taking-after strategies −

  • Infographics and Visual Content − Create outwardly engaging and enlightening infographics that others will discover important. Energize sharing and backlinking by implanting an HTML code that permits others to utilize the infographic on their websites while crediting your website.

  • Online PR and Press Releases − Distribute well-written press releases, approximately newsworthy occasions, item dispatches, or company overhauls. This will produce media scope, backlinks, and brand presentation.

Online Reputation Management

Managing your online notoriety is pivotal for off-page SEO. Cheerful online surveys and notices can improve your website's validity and attract more guests. Here are a few procedures for effective online notoriety management −

  • Review Monitoring and Response − Regularly screen online audits and input around your brand, items, or administrations. React expeditiously and professionally to positive and negative audits, appearing merely to esteem client criticism and are committed to settling any issues.

  • Influencer Reviews and Testimonials − Collaborate with influencers or industry specialists to supply surveys or tributes for your items or administrations. Their support can affect your notoriety and energize others to believe in your brand.

  • Brand Mentions and Backlinks − Please keep track of brand notices over the net on the off chance that they do not incorporate a backlink. Reach out to the site proprietors or creators and compassionately ask them to include a connection to your site. This makes a difference in making strides in your website's specialist and permeability.

Local SEO Optimization

Increasing local traffic, exposure, and recognition for your business through local SEO is an aspect of optimizing your onlinemarketing efforts. It stands alone as an area of study within SEO.

However, NAP citations and Google Business Profiles are essential off-page SEO strategies. Here are a few common aspects and examples of Local SEO Optimization −

  • Google Business Profile (GBP) − You can manage how the business is displayed in Google SERP thanks to a free option offered by Google for business profiles. And because these localization efforts are carried out independently of the website, optimizing your Google Business Profile is a critical off-page SEO tactic. It significantly affects local SEO ranking. On the search engine outcomes pages, it may also cause your website to show up in prominent positions.

  • NAP References − NAP or Name-Address-Phone Numbercitations are online sourceswhere your business name, owner name,contact information, address, and maybe registrationnumberare mentioned with your firm. Citations typically appear in corporate profiles on social media platforms, business directories, and review websites. However, they can appear on many platforms.

  • Regionally Specific Content − Develop contentthat is uniquely tailored for the audience in your neighbourhood. To boost your localranking, utilisenearby search queries, and provide local keywords, areas of interest, events, and customer feedback.

  • Optimization of Mobile Platforms − Most consumers look for nearby activities and businesses using their smartphones, considering how common smartphones have become in everyday life. By making the website mobile-friendly, you may better serve these searches. Make your website mobile-friendly so users can easily navigate it and obtain the required data.

    Remember to include click-to-call links on the website and within your GMB listing. This might make a significant impact since more than halfof mobile consumers have gotten in touch with a company directly from search engine results.

Implementing off-page SEO methods is fundamental for improving your website's permeability, attracting organic traffic, and increasing SERP rankings. By focusing on connection or link building, social media engagement, online catalogues, and online promotion, you'll build up a strong web presence and attract potential consumers to your site. To stay ahead in the always-changing internet environment, remember that off-page SEO is a continuous procedure that necessitates regular effort and modification.

SEO - WebSite Domain

Within search engine optimization (SEO), your site space is significant in deciding your online perceivability and success. A room is the internet address clients enter into their browsers to reach your location. It establishes your online nearness and impacts how to look motors see, rank, and display your website in look comes about.

In this chapter, we will dig into the different angles of site spaces and their noteworthiness in SEO. We'll cover space determination, significance, catchphrases, length, top-level areas (TLDs), space specialists, and space relocation.

Website Domain

Website Domains

Sl No. Consideration Description
1 Relevance Choose a domain name that is relevant to your business or niche, helping search engines and users understand the nature of your website.
2 Keywords Incorporate relevant keywords in your domain to improve visibility in search engine results.
3 Length Keep your domain name concise to enhance user-friendliness and reduce the risk of typing errors.
4 Simplicity Opt for a simple and easy-to-remember domain name, avoiding hyphens, numbers, and special characters that may confuse users or search engines.
5 Top-Level Domain Consider using popular TLDs like .com, .org, or country-specific TLDs based on your target audience and business location.
6 Domain Authority A well-chosen domain can contribute to building domain authority over time, based on factors like backlinks, content relevance, and user experience.
7 Domain Migration Handle domain migrations carefully by setting up proper redirects, updating links, and notifying search engines to preserve SEO rankings and traffic.

Domain Selection and Relevance

Selecting the proper space is crucial for your SEO endeavors. A relevant domain title adjusts along with your commerce or specialty, viably passing on the nature of your site to look motors and clients. When look motors can precisely get your website's reason, it increments the probability of positioning higher in pertinent look.

For instance, suppose that you've got a bakery and cake shop commerce called "Baked with Love," a space like www.bakedwlovebakery.com would be more pertinent than something like www.delightfulpastriesandbakedstuff.com. The previous area communicates the substance of your business, making it less demanding for look motors and clients to comprehend.

Keywords in the Domain

Incorporating relevant keywords into your domain can positively impact your SEO efforts. Keywords are the terms users enter into search engines when seeking information. By including targeted keywords in your field, you enhance the visibility of your website in search results.

Consider a photography business specializing in supercars photography. A domain likesupercarphotographyexpertcom, including the keyword "car photography," can potentially boost your website's rankings when users search for car photography services.

Domain Length and Simplicity

Regarding space choice, endeavor for conciseness and straightforwardness; shorter spaces tend to be more user-friendly, diminishing the probability of writing mistakes and improving memorability. Also, look motors favour specific and transparent areas that are simple to handle and understand.

Avoid utilizing hyphens, numbers, or extraordinary characters in your space, as they can complicate its memorability and may confound both clients and look motors.

Top-Level Domains (TLDs) Considerations

The top-level domain (TLD) is the expansion after your space, such as .com, .org, or .net. Whereas TLDs don't have a combined effect on SEO, they can impact client discernment and belief. Here are a few common TLD considerations −

  • .com − The foremost prevalent and broadly recognized TLD, reasonable for most businesses.

  • .org − Fundamentally utilized by nonprofit organizations.

  • .net − Initially planning for network-related websites but presently utilized for different purposes.

  • Country-specific TLDs −If your target audience primarily dwells in a particular nation, employing a country-specific TLD like .us or .uk can be invaluable.

Common Types of TLDs

Sr.No. TLD & Description
1

.com

The most popular and widely recognized TLD, suitable for most businesses.

2

.org

Primarily used by nonprofit organizations and advocacy groups.

3

.net

Originally intended for network-related websites but now used for various purposes.

4

.edu

Reserved for educational institutions such as universities and colleges.

5

.gov

Restricted TLD for government entities at the local, state, and federal levels.

6

.mil

Exclusive TLD for the U.S. military organizations.

7

.io

Originally assigned to the British Indian Ocean Territory, it is now commonly used by tech startups.

8

.co

Frequently used as an alternative to .com, often representing companies or communities.

9

Country-specific

TLDs associated with specific countries (e.g., .us for the United States, .uk for the United Kingdom, .in for India).

Example: https://www.tutorialspoint.com

[prefix-subdomain-name-extension]

[name-extension]: (domain name)

  • Protocol: https://

  • Sub-Domain: www

  • Domain: tutorialspoint

  • TLD: .com

Domain Authority

Domain specialist alludes to the validity and reliability of web site within the eyes of look motors. It is decided by variables such as the quality and amount of backlinks, substance pertinence, and client involvement. Whereas space specialist isn't exclusively subordinate to the space title, a well-chosen space can lay a strong establishment for building space specialists over time.

Domain Migration and SEO

In a few cases, you'll get to change your space. It is pivotal to carefully handle the space relocation to preserve your SEO rankings and permeability. Consider the taking after steps amid space migration −

  • Set up 301 diverts from the ancient space to the unused space to guarantee clients and look motors are coordinated to the modern website.

  • Update inner and outside joins in pointing to the current domain.

  • Notify look motors of the space to alter through appropriate channels (e.g., Google Look Console).

  • Monitor your rankings and activity after the movement to identify and address potential issues.

The site space may be a pivotal component of SEO, affecting your online perceivability and victory. By selecting a critical area, joining watchwords, keeping it brief and memorable, considering TLDs, and keeping up with space specialists, you can optimize your website's SEO execution. Moreover, dealing with space relocations with caution guarantees that you protect your SEO rankings amid the move. With a well-optimized and deliberately chosen space, you clear the way for made strides look motor rankings and a more grounded online nearness.

SEO - Relevant Filenames

Including relevant keywords in your filenames constitutes one of the numerous variables that go into optimising your online presence on Google. The names you assign to your files can impact your website's SEO. Google values file with appropriate titles very much. Google, therefore, gives the supplied titles you use extreme significance. Whether filenames affect rankings is not stated in Google's literature. They do, however, claim that Google is aware of these factors to assist in determining the subject matter of the article. Because of this, Google advises giving filenames to your files some thought.

Filenames: About it

FILE and NAME are the two terms that make up a filename. Since the name is self-explanatory, a filename represents the file's title utilised to identify what file is located in the directory structure. File names and keywords complement one another. You'll notice that Google highlights your file when you give it a name that includes pertinent keywords.

For instance, query-data.html, data science- reports- cybersecurity.html, etc.

The file's name in the instance above is a smart choice mainly because hyphens are employed rather than underscores, which means it is not an effective strategy to utilise underscores since they are difficult for Google's search engine spiders to identify while looking for a website.

Correct Way Incorrect Way
'example-filename' is interpreted as 'example filename'. 'example_filename' is interpreted as 'examplefilename'.

Relevant Filenames and File Extensions

Providing your website file extensions like .php,.html, or.htm is only a means to set up your website so that the server that hosts it can comprehend it; it provides no help for website consumers. It is unrelated to how relevant the keywords are. You get no benefit from giving your files names in any manner whatsoever. The visitors are not informed of the web page they are viewing or the relevance of the webpage filenames.

Utilising Links with Appropriate Filenames

An important factor in improving SEO is the filename structure with links. Links from other websites are incredibly significant when publishing your website to Google and are impossible for search engine spiders to ignore. And it will undoubtedly produce some go-to filenames for searching for if these connections are built with pertinent keywords.

A pertinent, clearly recognisable filename is essential since spiders can often avoid websites with dynamic content. They are created with complex file name patterns and are frequently disregarded while working on SEO for your website.

Image Filename Optimization

You may anticipate the filename. It usually has the identical name to the image file already on your hard drive before publishing. This is particularly relevant if you use WordPress multimedia libraries and the majority of picture hosting providers.

The filenames for images you export from your smartphone or camera almost certainly consist of a random string of number and letter combinations, such as "IMG_1709.jpeg." In this instance, the filename (IMG_1709.jpeg) and the extension (.jpeg) are identical to the ones on your local machine.

That would also be the filename online if you directly uploaded it to the WordPress platform and included it in a piece of content.

A Few Suggestions to Make Filenames Relevant

  • Always utilise informative, short file names with essential keywords that correspond to the content of your website.

  • Make sure to select 4-5 keywords, which must also be included in the page's title.

  • Hyphens should always be used, while underscores should be avoided.

  • As Google ignores any files with large and complicated filenames, try to make the filename smaller.

optimise Filenames

The Significance of Filenames

According to Google's website, image filenames may or may not affect rankings. They do, however, claim that Google keeps track of them to assist in determining the subject matter of the photograph. Google advises giving photos relevant filenames because of this.

Following Google's image guidelines

  • Depending on the filename, Google can deduce the image's topic.

  • Translation of the filenames is essential when trying to localise your photographs.

  • Giving relevant filenames to photos is a good practice as well since it allows it to be simpler for organisation objectives to be capable of viewing the image filename and determine what it's about.

  • bmw-m5-cs.jpg is better than IMG00019.JPG, for instance.

  • more prominent and significant information about the image is given by its alt attribute and the information around it than by the filename.

  • A "negligible effect" and probably no improvement result from modifying the picture filename for a previously indexed image.

  • An image that has already been indexed may no longer be crawled and indexed for periods evenif its filename is changed.

Are keywords appropriate for image filenames?

When it makes sense naturally, you should utilise the primary keyword in the filename, much like our suggestion for alt text SEO. In other words, if your long-tail term describes the image you publish precisely, utilise it to the fullest extent possible.

Anything excellent can be overdone. You face the danger of keyword stuffing if you deal with several pictures defined by identical key phrases.

Use different words and synonyms to avoid calling all the images in a post. Example: "bmwcar-photo-1.jpg," "bmwcar-Photo-2.jpg," etc. are not good filenames. Consider file names thatalternatively resemble your alt text, such as "bmw-m5cs-engine.jpg" and "bmw-m5cs-interior.jpg."

Question yourself: Are the photos you include in posts adding value to the viewer if you need help to develop unique filenames for each one? This is comparable to alt text.

Final thought

Image SEO may not ultimately be the most crucial component of SEO; it is merely one of many. We advise you to follow this procedure for whatever images you post without considering it too much.

Giving the images more helpful file names could prove time well spent if you work with practical, highly-read content. However, this is generally only a minor portion of your SEO; nonetheless, it is a simple and logical technique to implement moving ahead.

SEO - Design & Layout

When it comes to search engine optimization (SEO), planning and format play a significant part in deciding the victory of the website. Whereas content and keywords are vital, the way an online site is planned and organized can significantly affect its permeability and rankings on look motor comes about pages (SERPs). This chapter will investigate different plans and format contemplations for optimizing your site for Search engines.

Design Layout

User-Friendly Navigation

One of the critical perspectives of an SEO-friendly plan is guaranteeing that your site includes a user-friendly route structure. Look engines value websites that are simple to explore because it improves client involvement. Consider executing a clear and natural menu framework that permits guests to discover the data they require rapidly and efficiently.

A well-structured menu can be organized progressively, with fundamental categories and subcategories. The data below gives an illustration of a test menu structure −

Navigation

Mobile-Friendly Design

With the expanding number of clients getting to the web through versatile gadgets, having a mobile-friendly site is vital for SEO. Search engines prioritize mobile-friendly websites in their rankings. A responsive plan, which alters the format of your site to fit diverse screen sizes, is a well-known approach. This guarantees that your site looks and capacities well on desktop and mobile devices.

To make a responsive plan, you would like to characterize breakpoints at which the format adjusts to diverse screen sizes. The table below outlines standard responsive plan breakpoints −

Screen Width Device
< 576px Mobile Phones
576px - 768px Tablets
> 768px Desktop

Table 1 − Responsive Design Breakpoints

Page Load Speed

Page load speed is an important figure in SEO. Slow-loading websites disappoint clients and result in higher bounce rates, adversely influencing look motor rankings. To optimize your website's execution, you should compress pictures, minimize code, and use browser caching.

The following factors may impact your page speed −

  • Maintaining a website.

  • Sizes of the files.

  • Plugins.

  • Coding/scripts.

  • Traffic management.

Table 2 gives a case of tools and services, and their recommended comparing speed scores that can be utilized to screen and optimize your website's speed −

Tool Speed Score(Higher Number = Better Speed)
Google PageSpeed Insights 90 or better
GTmetrix 88 or better
Pingdom Pingdom 85 or better

Table 2: Page Speed Optimization Tools

Regularly monitor and optimize your website's speed using these tools or others that suit your needs.

URL Structure

Well-structured URLs could have been more user-friendly but too contributed to superior SEO. Utilize clear, keyword-rich URLs that precisely reflect the substance of each page. Maintain a strategic distance from utilizing energetic URLs with parameters, as they are less lucid by both clients and look engines.

Table 3 gives an illustration of a well-structured URL progression for diverse pages of the website −

Page URL
Home www.tpexample.com
Product Category Page www.tpexample.com/products/category
Product Detail Page www.tpexample.com/products/category/product-id
Blog Post www.tpexample.com/blog/post-title

Table 3 − URL Structure Optimization

By utilizing clear and keyword-rich URLs, you make it less demanding for look motors to get the content and significance of each page.

Utilize Heading Tags

Heading labels (H1, H2, etc.) give a progressive structure to your web pages, making it less demanding for search engines to get the substance and prioritize its significance. Utilize heading labels to highlight key areas and incorporate pertinent watchwords where fitting. In any case, maintain a strategic distance from overusing heading labels because it can confound look motors and affect your rankings.

Heading Level Usage
H1 Page Title
H2 Main Section Headings
H3 Subsection Headings within H2 Sections
H4-H6 Subheadings within H3 Sections, if needed

Table 4 − Heading Tag Usage Example

Utilizing heading labels fittingly makes a difference in search engines getting the structure and progression of your substance, making strides in its permeability in look comes about.

Sitemaps

  • Even though Google is knowledgeable, it's always an ideal choice to lend assistance. A sitemap serves precisely this purpose.

  • The significant reason to use sitemaps is that a website won't receive organic traffic if Google fails to identify it.

  • All web pages, videos, files, and other content that make up your website are in a sitemap file. These are useful for websites containing various content, mainly if none are related to different sections on your website.

  • This makes it easier for web page spiders and crawlers to identify and crawl every page on your website, making them all search engine-ranking-eligible.

Precautions in Designing and making Layout of your Website

These pointers should be kept in mind as you create a website −

  • Text Content − Compared to HTML elements, you ought to include more textcontent.

  • Avoid Utilizing Frames − Both search engines and frames are at war with each other, and they are adversaries of each other.

  • If at All Feasible, No Advertisements − Because most advertisements use JavaScript, it creates a mess with crawlers, which is not recommended.

  • JavaScript Is Not Allowed − Instead of putting the JavaScript code directly into the HTML file, use an additional file to call it if you require it. Spiders cannot navigate their way off your homepage because of JavaScript drop-down menus. Text links should be placed at the bottom of the web page if you utilize them.

  • Genuine Content − Anything unlikely to properly suit the page content should be removed.

  • No Need for Extra Directories − As much as possible, keep your files near the core.

  • Avoid Fancy Web Elements − Only use fancy elements, such as animated gifs and transitions, when required.

Final Thought

Design and format are indispensable components of SEO. By centering on user-friendly routes, mobile-friendly plans, page stack speed optimization, well-structured URLs, and legitimate utilization of heading labels, you'll be able to make an online site that not as it pulled in clients but positions well in search engines comes about. Remember to frequently screen and update your website's plan and format to guarantee ideal execution and permeability within the ever-evolving SEO scene.

SEO - Optimized Keywords

The terms and words that help consumers find your website through search engines are known as SEO keywords, and they are found in your website's content. With SEO keywords, a web page is optimised for search engine results whenit reachesa potential audience group and directs consumers to your website. One of the essential components of SEO is keywords.

It is essential to be aware of the methods consumers use to locate the content, services, benefits or data you provide to make it simple for them to do so. Ultimately, they'll end up on one of the several different websites that appear in search engine outcomes. Your website will rank higher thanrival sites if you use keyword SEO.

Important keyword Placements

The following list contains locations where you should employ your significant keywords.

  • Keywords in the <title> tag or tags.

  • The <meta name="tutorial description"> containskeywords.

  • The <meta name="tutorial"> compriseskeywords.

  • The headline tags include keywords.

  • The <a href="http://tutorialspoint.com">keywords</a>'s keywords link with keywords in them.

  • Important keywordsshould be used in the content of the webpage.

  • Alt tags with keywords.

  • Keywords in the comments tags <!-- example comment>.

  • The URL compriseskeywords.

Keyword Placements

Check the On-Page SEO

Your current on-page SEO plan should be inspected initially to determine where your efforts rank. During this inspection, be on the lookout for these things −

  • URL Optimization − Every website page should have a short, straightforward URL that includes relevant keywords, especially those found in the content's heading.

  • Image Optimization − Search engine algorithms consider the picture filenames and the alt text when deciding where they will rank and categorise what you publish. Additionally, this makes your website more accessible.

  • Filenames − Ensure the alt text and picture filenamesare appropriate for the image or other graphical material you use on the website. Also, they should match the subject matter.

  • Title Tags − Crawlersuse title tags to identify your pages' subject matter to Google. Aim for the appropriate length (50-60 words), andmake surethey are distinctive.

  • Meta Descriptions − Brief overviews (between 100 and 155 characters) called "meta descriptions" appear beneath your website in search engine results. An accurate but brief representation of the website content must be presented in the meta description.

  • Header Tags − For the headers, make sure the web page uses appropriately organised headings and subheadings like H1, H2, etc., written using HTML rather than bolded plain text. Search engines give keywords in header tags a lot of weight when determining how relevant a website is.

  • Content value − Content of excellent quality typically ranks higher than low-quality content that fails to retain users' attention for an extended period. It must be exciting and timely and contain enough words to communicate the subject matter adequately.

  • Validate hyperlinks − Verify that any hyperlinks to different content you may have are still active. In general, avoiding referring to material created by rival companies is recommended. At the same time, it's frequently an effective strategy to include some reliable internal hyperlinks with pertinent and evocative anchor text.

  • Social media platforms − If promotion is crucial to a website's success, ensure all your web pages are connected with your social networking accounts and have sharing options.

Look for Keywords for Your Website

  • It would be best to investigate all potential keywords you're considering employing for the website by attempting various search terms in multiple browsers or utilising an SEO tool.

  • You may start by making an index of words and terms connected to the material and serving a purpose. Then methodically typing each one into a search engine or other tool.

  • As you compile your list, maintain a record of the statistics related to each word. Which ones receive the most search traffic? Which has the highest rates of conversion? You can locate extra associated search terms and keywords using SEO tools.

Keyword Map

  • Keyword mapping is an approach used on an internet site. When you've created an inventory of keywords pertinent to the site's content, each keyword must be analysed to decide which webpage the keyword should be utilised.

  • The purpose of keyword mapping is to prevent the browserfrom uploading all the relevant keywords on the homepage alone or utilizing the exact keywords on every page.

  • Based on the information on every web page, you should choose how and whereto use each term. Organize the keywords so that they are consistent with the features that set each web page apart.

  • For every keyword, it may be helpful to look up comparable terms, or you can Google them to see which outcomes come up. You need to use a term for a specific website with material similar to the most popular search outcomes.

Include Keywords on Your Website

You need to add the keywords to the current content or change the content to accommodate them after selecting your keywords and deciding on the pages they belong to.

Use Keywords Sparingly

  • Keyword stuffing refers to the webpage optimization practice of overusing keywords while compromising the quality of the content. It's crucial to refrain from practising this.

  • Although it is correct that additional keywords frequently lead to greater search engine rankings, the impact will be negative if those keywords have been misused. The published material could be better with the right number of accurate keywords.

  • Since overstuffed pages frequently have poor content, Google and other major search engines have developed algorithms to detect and penalise them. To give consumers relevant and worthwhile results, search engine algorithms constantly update.

  • Keywords should never take precedence over the quality of the website content.

Target Audience

In this procedure, it's crucial to consider your target audience. If you exert every resource to make a page appear among the highest-ranking search engine results but find that consumers need to search for the terms you used to create it.

You may lose the audience because −

  • Many users not part of your target demographic might encounter your page, realise it wasn't the content they were looking for, and exit immediately, potentially never returning to your website.

  • Your website might never appear in a search engine outcome for your target audience.

What does the Primary Keyword mean?

A content piece's focus keyword is the one that serves as its primary keyword. The major keyword expresses the main subject of the web page.

Keywords and Keyphrases

Keyphrases Keywords
A Keyphrase typically has a lesser search count, therefore, is less popular than a keyword, which often has a higher rate of searches. A keyword is just one word, often called a "seed" keyword. While key phrases, which are usually those "long-tail" keywords, are made up of numerous words.

Final word

Although keywords can improve the ranking of a website in search results, they are only useful if they are applied correctly and the content is of satisfactory quality. Ifyou aren't overfilling the content with keywords or moulding it to suit, utilize every keyword you need.

SEO - Long-tail Keywords

Keywordsare essential in SEO approaches, as they directly impact how well websites perform in search engine result pages (SERPs). While many SEO professionals focus on optimising for quick, non-exclusive catchphrases, taking advantage of long-tail keyword control is crucial. The importance of long-tail keywords for SEO will be examined in this chapter, along with the steps for effectively incorporating them into your optimisation efforts.

Understanding Long-Tail Keywords

Long-tail keywords focus on keyword expressions that regularly comprise three or more words. Unlike brief catchphrases, long-tail catchphrases are more particular and reflect the user's expectations, making them essential for clients and search engines. For case, a short-tail term can be "headphones", whereas a long-tail term may be "white Bluetooth over-the-ear headphones."

Long-tail Keywords

Benefits of Long-Tail Keywords

  • Targeted Traffic − Long-tail keywords pull in guests looking for particular data or items. Focusing on these questions drives exceedingly significant activity to your site, expanding the probability of transformations and engagement.

  • Less Competition −Brief, non-specific keywords regularly have tall competition, challenging ranking well in search results. On the other hand, long-tail catchphrases have lower competition, permitting you to target speciality gatherings of people and increase your chances of positioning higher.

  • Higher Conversion Rates − Since long-tail keywords are more particular and intelligent of client expectations, they draw clients closer to buying or looking for specific data. Subsequently, guests from long-tail keywords regularly have higher change rates than standard look terms.

Finding and Investigating Long-Tail Keywords

  • Keyword Research Tools − Utilize keyword inquiry-about instruments like Google Keyword Organizer, SEMrush, or Ahrefs to find long-tail keywords related to your speciality. These apparatuses give experiences into look volume, competition, and other vital measurements to assist you in distinguishing pertinent long-tail keywords.

  • Search Engine Suggestions − Take advantage of look motor proposals by writing your fundamental keyword into the look bar. Look motors regularly give autocomplete recommendations that can grant you thoughts for long-tail keywords.

  • Competitor Analysis − Analyse the catchphrases your competitors focus on and distinguish any long-tail keywords they can ignore. This will give you a competitive advantage by focusing on speciality catchphrases your competitors need to optimize for.

Investigating Long-tail Keywords

Incorporating Long-Tail Keywords in Your SEO Strategy

  • Content Optimization − When making substance for your site, coordinate long-tail keywords typically into your titles, headings, and body content. Guarantee that the catchphrase utilisation is significant and gives esteem to the peruser instead of stuffing them excessively.

  • Blogging and Content Creation − Create a substance technique that centres on long-tail keywords. Make web journal posts, articles, and other shapes of substance that target particular long-tail sayings. This approach will not, as it was, offer assistance in driving biological activity but too set up your site as an essential asset in your niche.

  • Product and Service Pages − Optimize your item or benefit pages with long-tail keywords that adjust with the particular highlights, benefits, or arrangements your offerings give. This will assist in pulling in profoundly important activity from clients more likely to convert.

  • User Intent − Get the expectation behind long-tail keywords and make a substance that adjusts with those eagerly. Decide if the client is seeking data, looking to create a buy, or attempting to unravel an issue, and tailor your substance in like manner.

Checking and Adjusting

  • Analytics − Frequently screen your website's analytics to assess the execution of your long-tail catchphrases. Keep track of biological activity, engagement measurements, and changes to survey the viability of your optimisation efforts.

  • A/B Testing − Test with diverse long-tail keywords to see which performs best. Conduct A/B tests by making numerous forms of your substance, each focusing on various long-tail catchphrases, and analyse the results to refine your methodology.

Reduced Costs Due to Fewer Competitors

  • Long-tail keywords are helpful for businesses who want their content to appear in Google's organic search results. They might, however, be a more valuable resource for marketing agencies running paid search campaigns.

  • Since there is less competition when you bet on long-tail keywords. Therefore, the rate per click will undoubtedly be lower.

  • You can enhance ad ranks on pertinent searches without increasing your click-through rate by utilising lengthier, more specific long-tail keywords in your advertising initiatives.

  • Finding a dependable, sustainable supply of long-tail keywords that suit you and the subject matter is the secret to success.

Long-Tail Keyword Identification

You can focus on nearly any long-tail term with your content because there are so many. There are various tried-and-true methods for determining the long-tail keywords most pertinent to your site's customers and viewers.

Proceed to Google and look at the autocomplete possibilities

Typing a broad phrase into Google (or any other search engine) and seeing what autocomplete recommendations emerge is an excellent place to assemble a list of long-tail keywords.

Browse through similar searches at the bottom of the search results page

You won't have to make any predictions or guesses using this method to see precisely what topics are trending on Google. But there are more optimally efficient approaches for finding long-tail variants.

Short-tail keywords should include qualifiers

Include keywords pertinent to your brand, offering, or content with eligible words.

Use question-modifying words like "what" and "how"

Google users increasingly search for questions instead of direct statements in their searches. Make sure to add a few long-tail questions that start with modifiers like "what," "how," "where," etc., while you're thinking of what your intended customer base would ask.

Check out the history of searches on your website

Research what consumers seek if your website offers an internal search feature. Certain queries can focus on specific data or ask exact questions.

Investigate the competition

You may check out the precise long-tail keywords that other businesses use to rank higher in the SERP for more broad searches with the aid of Google search and SEO tools.

Analyse the gaps

To determine which subject matters and long-tail keywordsto focus on in your websites, you must analyse the content for topics you aren't addressing or performing strongly for. This procedure is known as Gap Analysis.

Final Thought is

Long-tail keywords are a capable apparatus in your SEO arsenal. By focusing on particular, exceedingly important keyword expressions, you'll pull in focused on activity, increment transformations, and move forward your website's permeability in search engines comes about. Consolidating long-tail catchphrases into your SEO technique requires careful inquiry, optimization, and ongoing monitoring. Remember that the key is to supply esteem to clients while adjusting to their aim, coming about in an effective SEO campaign.

SEO - Title Tags

A title tag, an HTML element, specifies the headline of a website's page. The website's title tag is shown in the search snippet on the results page of a search engine. It is significant for consumer experience, search engine optimisation, and social media engagement because it displays as the operable title for the searchquery results. A precise and comprehensive summary of the material on a website should be included in the title tag of a website's home page.

Title Tags is placed in Result page

Title Tags

An illustration of HTML code for Title Tags

<head><title>Example Title</title></head>

Note − The title tag for your page can be found in the HTML syntax for that page.

  • Right Click on the Webpage.

  • Click on View Page Source.

  • A new tab opens with the source code in HTML.

Displayed Title Tag

Best Length for A Title Tag

  • Even though Google doesn't specify a recommended size for title tags, mobile and desktop browsers typically display at most 60 characters of the title tag.

  • Analysis specifies that as long as your titles arearound 60 characters, you can anticipate that about ninety percent of your website title will display correctly on the results page.

  • Writing brief titles is vital to consumer visibility and understanding. However, even if the title tag is not shown in the SERPs, the search engine's spiders will still consider it while scanning the website.

What Distinguishes H1 Tags from Title Tags?

They are all completely separate HTML tags. The H1-tag copy and title are frequently identical, which causes misunderstanding.

The following is an illustration of an H1 tag −

<h1 class="qa_title">Title Optimization Guide for Google</h1>
  • It is identical to the title tag in terms of content.

  • Most websites use this procedure as standard since it promotes uniformity and readability. Consumers will likely anticipate seeing an identicaltitle on the web page if they click over from the SERPs due to that specific title.

How, then, do you distinguish between them?

In other words, your title tag is what consumers will see when they search for any content online and share it across different platforms. However, the "example title" appearing on the page is included within the H1-tag.

Red Box

Title Tags: Why Are They Important?

Title tags affect SERP rankings. Google examines your title tag to comprehend your website content and how relevant the material is for a consumer's search request.

Here's why they matter −

Search Results Display Title Tags

The user experience is enhanced, and good titles generate more engagement. The title of your page and meta descriptions should function as a headline and persuade readers to land on your website.

Tabs In Browsers Display Title Tags

When open tabs display the title of a page, title tags instruct the web browser how to do so. When an internet user has numerous tabs open, this aids in navigating across the differentweb pages.

Title Tags Are Displayed On Social Media

When someone shares a link on social networking sites, it is determined by its title tags the way it will look. The title provides a necessary background for the post on social networks. The other parts of the post or content will only make sense if the title tag is complete or correct.

Three SEO Best Practices for Title Tag Creation

The title of your website not only affects your position but also gives consumers the initial view of your web page when it shows in search engine results.

Here are some guidelines for composing title tags that you should abide by −

Keep it simple and concise

Google may trim or modify your lengthy title even though it won't penalise you for it. Additionally, the title may only make sense in this version. Limiting title length to no more than 60 characters is advised because of this.

Titles should be original but appropriate

Innovative titles may persuade readers to click while also assisting search engines in determining the subject matter of a web page.

One primary keyword

The title tag of a particular page should ideally contain just one target term or primary keyword. You harm the search engine rankings of a website by squeezing several keywords into its title. Users may need clarification and be less interested in clicking to proceed to your website.

Typical Errors in Title Tag Composing

Google can bring up a title utterly different from what you meant in certain circumstances due to a poorly constructed title tag.

The performance of Google's variant cannot be guaranteed. Google's edits may influence your website's click-through rate (CTR), even though they won't always impact rankings.

While composing title tags, a few of the most frequent errors people make are as follows −

The element <title> is absent

You lack a title if the HTML source code doesn't have a title tag specification. Google will generate a title for the website according to the content of its pages and display it in search engine results.

Text that needs to be more used or redundant

The purpose of title tags is to describe the type of webpage the consumer is about to click on.Stay on point and give small but essential details in the title.

Stuffing keywords

There's no requirement to repeatedly use identical or related keywords to attempt to rank higher. When creating titles, keep the audience in mind. Emphasise using a maximum of a few keywords to succinctly and precisely describe your site's content.

Relevancy

Google tries to provide consumers with relevant results to their search queries. Therefore, Google is likely to modify the title of your home page to something more particular if you use something general like "Home Page".

Overextended Title Tags

Most title tags longer than 70 characters are shortened or rewritten by Google. Furthermore, title tags should be within the correct range. They have a lower chance of being disconnected on mobile devices or desktops in this manner.

Summary

Giving Google a clear description of your page's content by creating optimized title tags is a fantastic chance. By providing consumers with essential data that motivates additional clicks, you can help Google identify and rank web pages.

SEO - Meta Description

Meta Description: What Is It?

For website optimisation, HTML uses a meta description element that provides a straightforward web page summary. The goal of a webpage's meta description tag, which is included in the search result snippet on a search engine results page (SERP), aims to give the consumer a quick and rough overview of the information on the website and how it relates to the searched term.

Meta Description

An illustration of HTML code for Meta Description

<head>
   <meta name="description" content="Here is an example of a meta description. This is what will show up in search results.">
</head>

Note − The meta description for your page can be found in the HTML syntax for that page.

  • Right Click on the Webpage.

  • Click on View Page Source.

  • A new tab opens with the source code in HTML.

Meta Description Syntax

Appropriate Size of a Meta Description

  • Although Google typically shortens snippets to between 155 and 160 characters, meta descriptions are theoretically allowed to have any size.

  • Experts advise meta descriptions to be around 50 to 160 characters in length since it is suggested that you keep them that length so they are correctly informative.

  • Remember that no single "optimal" size applies to all circumstances; instead, focus on adding content and encouraging userinteractions.

What Justifies the Importance of Meta Descriptions for SEO?

  • Meta descriptions, also called SEO meta descriptions, don't affect rankings directly. When deciding ranks, Google does not consider thisfactorinto account.

  • For SEO, though, meta descriptions are crucial. They are frequently used to produce snippets informing consumers about your website's contents. They can assist you in getting ahead of your rivals on the SERP with better engagement and ranking.

  • The number of clicks you receive (CTR) rises due to an informative snippet that persuades more visitors to visit your website. They even help spread information about an organisation. The SEO of your website could benefit from both.

Note − Google can generate an alternative snippet if its algorithm determines that your website's HTML meta description fails to meet the consumer's objectives.

Meta descriptions and Social media

  • The content description that displays when a website's content gets shared on social networking platformsfrequently comes from the meta description element of the page.

  • Social networking sites use the initial content ifthey discover thatthe meta description element is missing.

  • For consumers exposed to your content through sharing on social media, based on the initial information through meta description affect your website user feedback.

Five Guidelines for Meta Description Composing

As we write meta descriptions, the following guidelines should be followed −

  • Determine the total length of the meta description.

  • Determine the most important keyword.

  • Meet the needs of the consumer.

  • Incorporate calls to activity.

  • Create distinct and informative yet briefmeta descriptions for each page.

Analyse the length of the meta description

We advise using 680 pixels, or roughly 105 characters, for your meta description. You now have room to develop an insightful synopsis while lowering the possibility of SERP truncation.

Note − A snippet's precise character count relies on several variables, including −

  • A consumer's device, for instance, a desktop computer, has more screenspace than a mobile phone. For instance, A "w" character requires more pixels than the character "i" since they are wider.

  • The search term entered by the user, as words in bold, fill up additional pixels.

Specify The Main Keyword

  • The most important keyword for the pagethe principal search term you want the website to be ranked forshould be included in every meta description.

  • This won't specifically impact your search engine optimisation efforts. However, it can tempt visitors to click on it. The fact that keywords that appear in the search query are frequently bolded by Google significantly impacts your website performance.

Provide for Search Intent

Creating a successful meta description requires in-depth knowledge of the search query or what a user hopes to accomplish.

For instance, when a consumer searches "buy Macbook," Apple encourages people to go through by mentioning trade-ins and affordable monthly payments. Apple informs consumers that they can compare different models when they search for "compare Macbooks." Note how Google modifies this website's meta description with MacBook's specs since searches prefer specifics to a brief overview.

Add Calls To Action (CTA)

Consumers are instructed to determine what to do by using CTAs. You may utilize these to encourage clicks in your meta descriptions.

For instance, On a car website,

  • Book online.

  • Discover more.

  • Give it a Test Drive.

CTAs are urgent statements that urge consumers to react by taking action. They begin with an action call. Meta descriptions written directly are shorter, more interesting, and more compelling.

Be Distinctive With Each Meta Description

  • For every website that could be indexed by Google, or any web page published there, provide a distinctive meta description.

  • Users can understand precisely what every web page offers if you do this. Increase your CTR as well.

  • Meta descriptions that are repetitive and basic don't add anything. They also do not specify what is contained on a particular webpage.

Meta Description Resources

Conserve your precious time and increase your genuine CTR with the help of the following meta-description tools −

  • Site Audit − Examine your website for duplicated and incomplete meta descriptions by performing a site audit.

  • On-Page SEO Checker − Examine your meta descriptions with the on-page SEO tool to determine if Google is changing them.

  • Google / Keyword Overview − Examine the snippets of your rivals by usingGoogle Overview.

  • PageImprove − Optimise your page by quickly updating the meta description.

  • SplitSignal − A/B tests for your meta descriptions should be conducted using SplitSignal.

  • To The Web's SERP Preview Tool − Measuring the size of the meta description using the SERP preview tool on the Internet.

Last word

On-page SEO includes meta descriptions as one of the crucial components. However, there continues to be a tonne of other factors to improve. To make potential consumers feel sure that their questions can be answered with just a single click, the best practice regarding meta descriptions is effectively and concisely summarise the webpage's content.

SEO - Optimized Metatags

The HTML source code for your website contains meta tags. They facilitate the interpretation of website data by search engines. Thus, how the website comes up in search engine results is influenced by it. Meta tags also instruct browsers on displaying your website on specific devices. In a nutshell, they can ensure that your website renders appropriately for users on mobile and desktop computers. This informs Google that your website is mobile-friendly. Increasing your website's position in Google's search results can be an outcome of this. In light of this, meta tags are crucial to SEO.

Illustration of Metatags

Consider the website https://www.tutorialspoint.com/seo/seo-optimized-metatags.htm

The meta tags for your page can be found in the HTML syntax for that page.

  • Right Click on the Webpage.

  • Click on View Page Source.

  • A new tab opens with the source code in HTML.

Watch the <head> section of the source code.

Source Code

An illustration of HTML code for Meta Description

<html>
<head>
<meta name="description" content="Learn about different SEO methods on TutorialsPoint">
<meta name="keywords"
	content=EXAMPLEKEYWORD1 EXAMPLEKEYWORD2 EXAMPLEKEYPHRASE1 etc.
	about 30 to 50 unique words">	
<meta name="Sitemap"
	content="XMLSitemaps HTMLSitemaps
	under 50MB or 50000 URLs">
</html>
</head>	

About Metatags

By enhancing user experience, meta tags are additionally advantageous to your clients. The viewport meta element, for instance, instructs the web browser to display the website by the size of the screen.

Meta tags can be in several forms. A synopsis of a few of those that are most prevalent is given below −

  • Meta descriptions.

  • Robot meta tags.

  • Viewport meta tags.

Title Tags Are Meta Tags?

The answer is NO.

Because they additionally assist Google in understanding the topic on yourwebsite, title tags function similarly to meta tags. Google also uses your website's title tag when showing the search outcomes for your website, just like it does for the meta description.

Although theoretically and officially, title tags arenot considered meta tags.

Meta Description Tag

A meta description summarizes the webpage's content for consumers and search engine crawlers. This tag typically displays beneath the title on your search engine results page.

Google Web Browser

A meta description tag syntax appears as follows −

<meta name="Description" content="SEO Optimized Metatags - There are two important meta tags:">

Increasing the SEO Impact of Your Meta Description

Although meta descriptions aren't considered when determining Google's ranking factors, they are displayed as snippets in the search outcome to improve the searcher's usability.

To improve your click-through rates (CTRs), consider meta descriptions as a tool rather than a ranking criterion. Ensure you include original descriptions with primary keywords on your website's main page, internal web pages, and blog postings.

To create user-attractive, proper meta descriptions, use the following recommended practices −

  • Aim for a maximum of 160 characters or less.

  • For every page, provide a different summary.

  • On your website, stay away from unnecessary meta descriptions.

  • Apply sentence case.

  • Make sure to be precise, illustrative, and brief.

  • Synchronize with the purpose of the search.

  • When it makes reasonable sense, utilize your primarykeyword.

Robots Meta Tags

If you want web crawlers to crawl or giverankings tospecific pages on your website, you can tell them by using robot meta tags. You may utilize the robot's meta tag to modify how Googlebot manages to index every web page and connection you generate on your website because search engines and web crawlers do this by default for all content on the website.

This is how the robot's meta tag looks. Your website's header contains the following information −

<meta name="robots" content="index,follow"/>

Content Attribute in Robots tag

<meta name="robots" content="index,follow">

You should include the search engine guidelines within the content attribute. Here are a few typical parameters −

  • index − Web crawlers are notified when a page is marked as being indexed. Visitors that use search engines can view a website if it is indexed. This will always be the defaultcase if no other code is added.

  • noindex − This tells the search engine spiders not to include the website as part of their index, preventing the page from appearing in the listing of results for a search.

  • follow − This directs readers to more sites by enabling search engine spiders to follow links you've embedded inside the content of your pages. If no additional parameters are added to the source code, this also serves as the default.

  • nofollow − This informs search engine crawlers that your websites do not support hyperlinks and that they should not crawl the connections on the website. Certain websites utilize it as an extra layer of protection to let search engines know they don't use unethical link-building strategies.

  • noarchive − Search engine spiders are told to refrain from cache storage or display the website's content using this attribute.

Making The Robots Meta Tag SEO-Friendly

Google's ability to crawl the content on the website is limited by robots meta tags.

  • Add the noindex argument, for instance, if you are unwilling to allow Google to track identical material, as this is bad for SEO.

  • In addition, if you choose not to allow Google to access any hyperlinks on that page's content, you can utilize the nofollow meta robots tag.

  • If you've got a comments section on the website, for instance, you do not want individuals to spam it by posting hyperlinks that lead toother websites getting backlinks promoting their websites.

Viewport Meta Tag

Understanda viewport beforehand to comprehend this component. In its most basic definition, the viewport refers to the specific part of a webpage that is visible to the visitor. As a result, a user who accesses your website using a smartphone or tablet can view it with a significantly narrower viewport than a user who accesses it using a laptop or desktop computer.

Viewport
  • With the viewport meta tag, the internet browser can be told how to present a webpage on devices with varying screen sizes.

  • It's a crucial feature of responsive website design, meaning an approach for encoding HTML elements to seamlessly alter in dimension and form depending on the user's browser and platform.

  • The proper webpage appears instantly, thanks to a flexible layout. Google prefers a flexible format to deliver material to smartphone and tablet users because it offers a superior user experience.

  • The viewport meta element instructs the browser to display a webpage on various screen sizes, including desktop, tablet, and mobile.

  • It is a crucial feature of responsive design, a technique for encoding HTML elements to automatically alter in size and shape depending on the user's browser and device.

  • Instantaneous display of the appropriate page is made possible through responsive design. Responsive design is Google's recommended technique of showing the material to mobile users since it offers the best user experience.

  • The viewport meta tag has emerged as one of the finest SEO techniques considering over fifty percent of searches on the internet are conducted on smartphones and tablets.

Heads up

Pay attention to the minor adjustments that significantly impact the overall on-page strategy. Certain meta tags are still required since they help organise your page's categorisation. Other tags might not be necessary; however, they can help you get a rich snippet advantage over rivals who refused to work. Both parties will benefit from little adjustments that enhance user experience and aid search engines in understanding your website, and they will undoubtedly pay off over time.

SEO - Optimize for Google

You will be identified, receive visitors, and generate income by optimising for SEO (search engine optimisation). The finest place to place a billboard worldwide is on Google's top few results. No other promotional medium is comparable in terms of exposure and organic ROI. Various algorithms determine the return on investment (ROI) through your SEO efforts. If a site's revenue from organic searches produced by SEO marketing exceeds its expenditures, a company can expect a good return on investment. Only a few small companies spend money on SEO.

Essentially, how will you improve your website's content for Google SEO? Let TutorialsPoint be your guide!

Keyword research for Google SEO

Before you begin generating the content, it's advisable to conduct keyword research. It reveals the keywords you should emphasise in your article. Utilising both broad and long-tail terms in combination is recommended.

On-Page Optimisation according to the Google SEO Guidelines

Once the Google SEO keyword analysis is over and you've compiled an inventory of Google SEO keywords that you intend to target, start focusing, writing and organising the content of your webpage. You must include your SEO keywords in the range of your webpage, but refrain from overusing them, or the content will be tagged as spam and repetitive.

Put the primary and other keywords in these sections of your content −

  • Content body − Surely, this is anobvious task. Always be careful not to repeat the exact keywords. Including modifiers and long-tail keywords can be beneficial.

  • Title − The click-through rate (CTR) from the SERP will increase if you use the primarykeyword inside the title of your post.

  • Subheadings − H2 headers and furthersubheadings are good places to put keywords for search engine optimisation.

The work you're doing still needs to be done! Always remember to incorporate the particular keywords throughout the −

  • Title Tag − The first thing shown to the user in the result pages of search engines is the Title Tag. Add a few effective keywords in there. And ensure it is a catchy and informative one.

  • Meta Description Tag − This statement is displayed on the search engine beneath your website title. To increase your click-through rate, create a compelling meta description that contains appropriate keywords.

  • Image file names/ALT attributes − First and foremost, remember to incorporate images in your website's SEO content! Give attention to image file names and ALT attributes. Images are aesthetically pleasing and enticing to viewers, and Google also appreciates them. In the file names, utilise a specific keyword. Additionally, use a keyword within the ALT tag to describe the image to people and search engine spiders.

  • Anchor text − Use the keyword of your choice as your anchor text when linking to your new website from several distinct web pages on your website. Doing this will make your website simple for search engine spiders to discover and index.

Content Marketing and Link Building

By posting the content to social media platforms and creating connections to it, you can boost the exposure of your optimized material. Develop internal and external links from other websites, and be careful whendoing both. Off-page SEO is the term that refers to these kinds of actions.

More on Optimization for Google

The practical method of increasing visitors to your website is SEO. To recap, SEO refers to the technological and imaginative procedures that improve your website's exposure among search engines.

Theoretically, any company on the internet has to compete for the highest ranking spots in the result pages of search engines and use keywords relevant to their specific sector. But SEO is not a coincidence. It necessitates concentrated effort on the website's layout, content, links from other websites, and keywords.

Here is a quick overview of SEO strategies to perform better on Google, including five strategies for increasing visibility, traffic statistics, and leads −

  • Perform market research.

  • Look up target keywords.

  • Publish content that has been SEO-optimized.

  • Utilise off-page SEO to raise your presence.

  • For SEO advancement, experiment and evaluate.

Startup Strategy

Performance in search engine optimization takes time. An SEO plan needs to be invested in upfront and maintained over time to be successful. Spend time and effort on both on- and off-page optimisation components to move up the search results pages.

Rapidly respond to the latest SEO updates, keep tabs on your ranking over time, and adjust your approach. Your audience's increased awareness of you will benefit significantly if it works.

Metrics and KPIs for Mobile/App SEO

  • Discover the metrics, KPIs, and SEO for apps for mobile devices. You will discover methods to include keywords and search tags into your app and optimize it for app stores.

  • You need to be familiar with A/B testing and how it relates to optimising apps.

  • Find out which purposes images are worth optimisingfor and how they affect user engagements.

  • Understand how ROI is computed to assess whether an effort was beneficial and go over why KPIs affect SEO efforts.

  • Last but not least, apply survey results and discover how they can help you prepare for both the achievements and difficulties of a profession in SEO and why predicting SEO impact is crucial.

Conclusion

Business and content are closely related in significant ways. You have to identify the keywords against which you want to rank. Search engines take into account the language you employ on your website. However, using the right keywords is only one factor in producing well-optimised content. Google additionally seeks to see top-notch, relevant data that benefits consumers. Spend your efforts,time and money on professional SEO content creation services to increase your website's worth and ranking with Google.

SEO - Robots.txt

A robots.txt file contains a list of the URLs on the website that search engine spiders may access. This approach doesn't stop websites from being indexed by Google; it is primarily used to control the website from getting overburdened with searches. Use <noindex> to block Google from crawling a website's content or password-protect it to keep it hidden.

Standard robots.txt file structure

Robots

Even though a robot.txt file may consist of numerous lines of user agents and directives (such as disallows, allows, crawl-delays, etc.), these two sections combined are considered an entire robots.txt file.

Here is a real "robots.txt" file illustration

Robots Website

What is User-agent(s)?

A unique user-agent is used by every search engine to identify itself. Inside the robots.txt file, you can specify particular directions for each. It's possible to use countless user-agents. However, the following few are helpful for SEO −

Platform and Browsers User-agent Example
Google Chrome for Windows 10 Mozilla/5.0 (Windows NT 10.0; Win64; x64) AppleWebKit/537.36 (KHTML, like Gecko) Chrome/114.0.0.0 Safari/537.36
Mozilla for MS Windows 10 Mozilla/5.0 (Windows NT 10.0; Win64; x64; rv:109.0) Gecko/20100101 Firefox/113.0
Mozilla for macOS Mozilla/5.0 (Macintosh; Intel Mac OS X 13.4; rv:109.0) Gecko/20100101 Firefox/113.0
Mozilla for Android Mozilla/5.0 (Android 13; Mobile; rv:109.0) Gecko/113.0 Firefox/113.0
Safari on macOS Mozilla/5.0 (Macintosh; Intel Mac OS X 13_4) AppleWebKit/605.1.15 (KHTML, like Gecko) Version/16.5 Safari/605.1.15
Microsoft Edge Mozilla/5.0 (Windows NT 10.0; Win64; x64) AppleWebKit/537.36 (KHTML, like Gecko) Chrome/114.0.0.0 Safari/537.36 Edg/113.0.1774.57

Note

  • Remember that robots.txt treats cases very sensitivelyfor all user-agents.

  • To allocate the directives to every user-agent, utilize the Asterisk symbol (*) wildcard.

Here is an example of the most popular user agent bots −

Creator Bot
Google Googlebot
Microsoft Bing Bingbot
Yahoo Slurp
Google Images Googlebot-Image
Baidu Baiduspider
DuckDuckGo DuckDuckBot

As an illustration, suppose you wished to prevent all bots besides Googlebot from analyzing your website. Below is how you might go about doing it −

Sample Robots

Directives

The guidelines you intend the stated user-agents to abide by are called Directives.

Supported Directives

Following are the directives that Google presently recognizes and their applications −

  • Disallow − This directive is used to prevent search engines from accessing files and webpages that are located along a particular path.

  • Allow − This directive is usedto allow or permit search engines from accessing files and webpages that are located along a particular path.

  • Sitemaps − To tell the search engines where the sitemap(s) are located, utilize this directive. Sitemaps typically contain the developers of the site intend search engine spiders to scan and index.

Unsupported Directives

The Google directives listed below are a few that were never officially supported andare not availableanymore.

  • Crawl-delay − The crawl interval of time was formerly specified using this directive. The crawl-delay would be set to 10, for instance, as in the following example, assuming that you intended Googlebot to remain idle for 10 seconds between every crawl action. Bing continues to support this request while Google has stopped.

Crawl-Delay
  • Noindex − Google never provided any official support for this set of instructions.

  • Nofollow − Google has never formally backed this directive.

What is a robots.txt file's largest permitted size?

Approximately 500 kilobytes.

A robots.txt File Is Required, right?

Most websites, particularly those with little traffic, don't essentially need to include a robots.txt file. There is, however, no valid excuse for not having one. With greater authority on what search engine crawlersare permitted to access the website, you can dealwith issues like −

  • Safeguarding private areas of the website, restricting the crawling of identical data.

  • Restricting crawling of internal search results from web pages.

  • Protection against server congestion and overload.

  • Stop Google from spending the set crawl revenue.

  • Prohibiting assets files, videos, and photos from showing up on Google results pages.

Although Google usually fails to index websites with robots.txt restrictions, it is vital to remember that there is no method to ensure removal from search results by using the robots.txt file.

Methods for Locating The robots.txt File

The website's robots.txt script can be found at "exampledomain.com/robots.txt" if you have already set up one. Enter the URL there in aweb browser. You've got a robots.txt file when you view text similar tothe following −

Robots Txt

Creating A robots.txt File: Instructions

  • A robots.txt file is simple in case you have never created one. Just launch a blank.txt file and start entering instructions. Keep adding to the directives you operate tillyou've covered all the anticipated fields. Name the file you're saving "robots.txt."

  • A robots.txt generator is an additional option. The benefit of employing such a tool is that it reduces syntax errors. This is fortunate, considering a single error may have disastrous SEO effects on your website. The drawback is that there are some restrictions on flexibility.

Location of the robots.txt file

  • The leading directory of the subdomains to which your robots.txt file refers should contain it. The robots.txt file, for instance, must be available at "tutorialspoint.com/robots.txt" to regulate crawling behavior for "tutorialspoint.com".

  • You must be able to view the robots.txt file at "ebooks.domain.com/robots.txt" if you wish to limit crawls to subdomains like "ebooks.domain.com".

Guidelines for the robots.txt file

For every directive, start a new line

A distinct line must be created for each directive. Search engine spiders will become confused if it doesn't.

Directions can be made more accessible by using wildcards

Wildcards (*) can identify URL sequences and implement them across all user-agents when expressing directives.

To indicate a URL's end, enter "$."

To indicate the conclusion of a URL, use the dollar sign "$". A robots.txt file could resemble something like this if you prefer to stop web crawlers from viewing all the .png files on your website −

Dollar Symbol

Make only one use of each user-agent

Google is okay with it when you utilize a single user-agent repeatedly. However, all the regulations from the different declarations will be combined and followed, thus reducing accuracy and, in some cases, not counting an aspect. Considering that the configuration hasfewer complexities, it makes it logical to specify each user-agent just once. Maintaining things organized and straightforward can reduce your risk of serious errors.

Write comments to inform others about your robots.txt file

Developersand perhaps even your later selfcan understand your robots.txt file easier due to comments. A hash (#) should be used to start a line of comments.

Be detailed to prevent unintended mistakes

Setting directives without specific guidelines might lead to overlooked errors that can seriously harm your SEOefforts.

Comments

Issue with Blocks Due to robots.txt

This indicates that there is non-Google-indexed content that has been restricted by robots.txt on your website. Turn off the robots.txt crawler restriction if the data is significant and needs to be crawled and indexed.

Conclusion

A straightforward but effective file is robots.txt. If used appropriately, it can help your SEO. You'll regret it later on ifyou useit carelessly.

SEO - URL Structure

A URL defines where a piece of content or a website is located on the World Wide Web. The internet protocol or other way to access or refer to the resource, such as HTTP, HTTPS, FTP, etc., is also specified and referred to via the URL.

URL Example

Why Optimize URLs?

Optimizing URLs is crucial because they facilitate access to the targeted website. By giving search engine spiders details regarding the content and function of a webpage, they can support you in optimizing your internet site andoverall SEO success. URLs help crawlers to rank websites properly.

URLrestrictions

URLs must have less than 2,083 characters to display appropriately across all browsers.

URL Structure

URL Structure

Seven main components make up a URL's structure. They are −

  • Protocol

  • https://, http://, ftp:, mailto: are the few commonly used protocols. The protocol describes your browser's connection to a webpage.

  • HTTP (hypertext transmission protocol) and HTTPS (HTTP Secure) are alternatives. What differentiates between the two types of connections is that any data passed across the web server and web browser is encrypted and secured using HTTPS.

    Consequently, when consumers engage with your website, their essential data, such as login and card details, is secure from hackers.

  • In the URL address bar, HTTPS-enabled websites display a lock icon.

Lock Icon Unprotected Website

Subdomain

  • Before the initial dot in the URL, there is a subdomain, which is a group of characters or an entire word.

  • Among subdomains, www (World Wide Web) is the most frequent. It signifies that a website's URL is a web address. Previously, using www. was typical. However, you may now remove it from your URLs if you choose.

  • Furthermore, various subdomains, such as blog, archive, support, media, jobs, and many more, are employed for controlling and organising website sections with a particular purpose.

Domain

  • The main component of a URL that defines a website's location is its domain.

  • Experts recommend selecting a brief, memorable domain name while searching for one.

  • Users are more likely to recall brief, memorable domain names. Your visitors are thus more inclined to revisit your website.

Top-Level Domain (TLD)

The TLD, also known as the domain extension, represents the portion of your website's address that includes the ".com" term.

There are many TLDs to choose from. These are the most often encountered ones. The websites that they work well with are as follows −

TLD Suitable For
.com The most common TLD. Suitable for Commercial websites.
.net Suitable for firms offering networking services through software and web hosting. Now serves various other purposes as well.
.gov Non-profit institutions and organisations.
.edu Educational websites and Academic institutions.
.org Organisations, agenciesand departments of the Government.

ccTLDs

Top-level domains with country codes are an additional option. ccTLDs, or country-code top-level domains, are two-letter extensions to domain names that represent a country or region of the world. As an illustration −

ccTLD Country it Represents
.in India
.uk United Kingdom
.us United States of America
.nz New Zealand
.de Germany
.es Spain
.cn China

ccTLDs can be used in various formats depending on registration. For example −

India has CCTLD 'in' - which can be used as: .in, /in, etc.

Subfolder

  • In the hierarchy of your website, a subfolder is a folder or subdirectory contained inside the primary directory or folderat the top of the hierarchy.

  • Think about the website "www.tutorialspoint.com/ebooks/," for instance. "ebooks" is the subfolder under the main directory or primary folder "www.tutorialspoint.com".

  • Subfolders, like subdomains, divide website material into distinct divisions. This facilitates viewers' understanding of their location throughout the whole website.

Slug

  • A URL component called a "slug" denotes a particular website page or item. Viewers benefit from a better comprehension of a page's contents and context.

  • A webpage's content should be stated in the URL slug as its primary objective.

  • Include specific words when creating slugs to ensure viewers can grasp the website's aim from inspecting it.

URL Parameters

  • Directly following the question mark (?) symbolor at the end of a URL comes URL parameters, often known as query strings.

  • The signs "=" or "-" denote the separator between keys and values.

  • You can determine the data type provided by looking at the key. The information that is being provided is its value.

Not all URLs are the same; some have extra parameters, while others don't. Some have various subfolders others don't. It all depends on how deep into the website the URL belongs to. For example −

Buy Page

Now this URL has the following sections −

Protocol, subdomain, domain, TLD, Country-specific subdirectory (gTLD: /in), subfolders, slug and parameter in respective order.

webpage

This URL has everything as the previous one but lacks the Country-specific domain and parameter section. However, this URL has a path (.htm) at the end.

Both the URLs are genuine, secure and functional but have their components according to their needs, fragmentation, target audience and requirements.

Tips for SEO URL Optimization

By making the URL structure SEO-friendly, you can increase the visibility of your sites in search results and increase Google traffic.

Keep It Brief

Consumer comprehension of lengthy URLs is more complicated. So in search results, Google frequently truncates lengthy URLs.

Utilise the HTTPS Protocol

It is a minor ranking element.

To transition from HTTP to HTTPS, your website needs to be encrypted with SSL (Secure Sockets Layer). You should do so if thesite continues to utilise HTTP. Any hosting company, such as GoDaddy, Bluehost, etc., can offer you one.

Keep Subdomains to a Minimum

Using the "www" prefix as a subdomain is unimportant from an SEO point of view. Since a website canwork effectively without it, many have begun to exclude it from the URL structure.

Type in Lowercase

The case affects how well URLs work. It's simpler for consumers to input URLs accurately when they're in lowercase.

Select the Proper TLD

The website's purpose will determine the TLD you use.

Organise Your Content with Subfolders

Please keep it simple for consumers to navigate the website using subfolders that appropriately organise your material. SEO is strongly related to User experience (UX) considerations which makes this step significant.

Optimise the URL Slug

The URL slugs on your website's pages need to be SEO-optimized.

To Separate Words, Use Hyphens

Avoid using underscores, and place hyphens between terms in your URL slug. In a URL, they are frequently used for separate words.

Character Encoding

When necessary, utilise UTF-8 encoding.

Final thought

A website's URLs serve as its foundation and, whenproperly optimised, can assist in generating more visitors to it. Clean URLs are simple to publish and share, perform better in searches, and come across as more reliable. Thus, paying attention to the URL structure and checking its minute factors is necessary.

SEO - Headings

The Headings on your website play a vital role in readability for the site visitors. Headings are made using header tags in HTML. Header tags not only tell a browser what style of look it should use for the text on its webpage but also it is used to write Headings of different topics and sections on your website. Furthermore, you should consider your heading tags if you prefer search engine spiders to find your material.

The HTML syntax for a heading looks like this −

<h1>SEO-Headings</h1>

What are Header Tags?

Header tags are employed for titles or highlighting the material that follows under them, much like headlines are applied to printed writing. From "h1" through "h6," HTML header tags are arranged in a hierarchy.

  • The most significant material, like a piece of content's primary concept or headline, is designated with an H1 tag.

  • Subheadings are frequently created using the H2 and H3 tags.

  • Lastly, additional hierarchy inside those subsections can be added using H4, H5, and H6 tags.

<html>
<Head>
   <title>SEO  Headings</title>
</Head>
<body>
   <article>
   <header>
      <h1>Header Tags</h1>
      <h2>Learn more on Header tags and Headings</h2>
      <h3>TutorialsPoint Guide to Webpage Headings</h3>
   </header>
   </article>
</body>

The Following Guidelines Are Essential for Improving the Headers

H1 Tag at Opening

Every web page should have an H1 tag since search engine spiders frequently scan for them to determine the page's subject matter. Viewers need to decide whether or not they've landed on the appropriate page if the heading tag H1 needs to be added to your webpage or when there is no opening paragraph.

One Webpage One Header

A single H1 tag should be used for each webpage; do not overdo it. The viewers may need clarification due to several headers on a web page, and your keywords may need to be revised. Regardless of how minor, repeated material is always undesirable.

Keywords that are informative and appropriate

Don't use keywords unrelated to the page's subject in the headings. As a result, this allows you to employ keywords appropriately, which raises the ranking of your website relative to its rivals. Additionally, a body of pertinent text must be placed behind the headings.

Order of Headings

Maintaining the ordered arrangement of the heading tags, H1 should appear on the web page, and next comes H2, H3, and further down.

Keyword Limit

Avoid overusing keywords in the H1 section or otherheadings.

Add Subheadings

To produce a web page split in a way that renders each part more noticeable and exciting, utilise the H2 header after having200 or more words. Remember that including keywords within each subheading can contribute to overusing keywords.

Header H1

Why use Header Tags?

Header Tags are helpful in many ways −

Make ContentStructure Transparent with Header Tags

The heading tags in your content give it structure and significance. The context that may be found in the website sectionafter each heading must be clear to the viewer.

Subheadings provide better Readability

A document that can be quickly scanned is also a document that can be easily studied, and appealing content has a higher chance of doing well in search engine results. Because search engines prefer user-friendly content, consumer readability helps websites rank better. A user-friendly piece of information is simple to understand compared to other types.

Social References

Visitors who may view a piece of content could decide to dive into it rather than leave to go to Google if the content is divided into sections with separate headings and subheadings. They'll seem more inclined to tell others about it as well.

Social indicators don't directly affect rankings, but the more shares an item receives, the more probable it is that it will subsequently acquire backlinks, which matter in rankings.

Businesses Can Rank Higher by Including Keywords in The Header Tags

For the website's information, Google employs header tags. Including keywords in the header tags makes sense, just like with everything Google cares about. This does not suggest that you must use keywords as forcedly as possible.

Don't be spammy; be sensible. In the first place, the website needs to be understandable. You may incorporate keywords if they flow smoothly into your writing. Optimize your website keeping the consumer's perspective in mind.

Interesting Snippets and Headers

Unfortunately, many marketers overlook header tags. However, they might significantly impact the probability of landing a desired highlighted snippet. Optimizing and giving efforts to Headers and Snippets should help you rank higher.

To make the headings engaging for your readers, you should always analyze, evaluate and edit them before publication. Indeed, an article can be read easilythanks to the header tags. Readers can take a break and browse through engaging header tags. Give extra thought to the H1 tag. Consumers pay attention to H1(s) the most.

Headings and Header Tags in Hierarchical Order

On a webpage, headings should be arranged rationally. A web page opens with an H1 heading, then an H2 heading, and if you require an additional subsection, it might be preceded by the H3 heading. You can also add H4-H6 subheadings if necessary to create extra parts.

Illustration Hierarchy

Illustrations of Good Header Tag Arrangement

<h1>Main Heading or Topic of Webpage</h1>
<h2>The H2 subheading</h2>
<h3>The H3 subheading</h3>
<h2>Another H2 subheading</h2>
<h3>Another H3 subheading</h3>
<h1>Main Headind or Topic of Webpage</h1>
<h2>The H2 subheading</h2>
<h2>Another H2 subheading</h2>
<h3>The H3 subheading</h3>
<h4>The H4 subheading</h4>
<h5>The H5 subheading</h5>
<h6>The H6 subheading</h6>

<h2>Another H2 subheading</h2>
<h3>Another H3 subheading</h3>
<h4>Another H4 subheading</h4>
<h5>Another H5 subheading</h5>
<h6>Another H6 subheading</h6>

Illustrations of Inappropriate Header Tag Arrangement

<h2>H2 at the top</h2>
<h4>an H4 heading after H2 before H3</h4>
<h1>The H1 heading should be at the top</h1>
<h3>A random H3 heading</h3>

Key Points to Remember

Font Size

The font size of the headings should decrease as you move down the web page. The most prominent heading on the web page must be the H1 heading. The H2 heading is slightly smaller than the H1 heading and continues this way through the H3 and H2 heading. As we go down the hierarchy, the font size of the heading decreases.

No Image H1 Heading

Given that search engines cannot interpret images in the same way they interpret words, avoid using the H1 heading with an image. It would be best if you did so to allow search engine crawlers the chance to understand a website's content.

<h1><img src="tutorialspoint.png"></h1>

Appropriate Length of Headings

A lengthy H1 heading must be avoided. In caseyou do, there's a reasonable probability that your site's visitors aren't ready to understand the longH1 header, which degrades the user experience. Experts advise keeping it to no more than 60 characters and no less than four characters.

Use Subheadings Logically

Avoid skipping header levels and utilize H2-H6 subheadings when appropriate.

Conclusion

Search engines receive information about the importance of keywords from headings. Although headers' importance in indexing algorithms has diminished over time, they still give crawlers an accurate picture of the content the website is focused on. If you compose the headings effectively, you'll make the content easier to read and attract consumers to continue reading.

SEO - Redirects

Addressing an old URL to an updated one represents the practice of redirecting URLs, successfully informing your users and search engine spiders that the website has relocated. Since they affect the way websites are ranked and crawled by Google, redirects in SEO must be implemented effectively.

What is an Error 404?

A highly particular kind of client error is the 404 error, frequently referred to as the HTTP 404 or 404 code. It indicates that the browser enginecannot locate the web page the user isattempting to access on the server.

Spotify

Redirect Usage

Redirects are especially beneficial in these kinds of situations −

  • Consumers use numerous unique URLs to access your website. If, for illustration, there are several approaches to access the home page of your website (such as https://abcwebsite.com/home, http://home.abcwebsite.com, or https://www.abcwebsite.com), it would be an effective strategy to choose any of these addresses as the default canonical destination and utilize redirects to route traffic from all of the other URLs to the selected URL.

  • You intend the transfer to the website to be as effortless as achievable. Therefore, you've relocated it to a brand-new domain name.

  • After removing the previous one, you intend to direct consumers to a different webpage.

  • Ensure all links to out-of-date URLs redirect to the appropriate web pages when integrating two websites.

  • Any links linking to a webpage that has been modified, relocated or removed should have their forward authority adjusted.

  • The 404 page not found error can be avoided by redirects.

  • Migration of a website from one protocol to another. Such as HTTP to HTTPS.

Disney

Redirect Types

Although most of the time, your audience needs help distinguishing between the various redirect formats. Google Search considers redirecting links as an authoritative or inadequate indication to determine whether the redirect destination should be canonical.

Establishing a redirect is based on the website that you'd like Google Search to display in search outcomes, along with how long you anticipate the redirect to stay in effect −

  • Permanent Redirects − Display the new redirect destination in the search outcomes.

  • Temporary Redirects − Display the original website in the search outcomes.

To send a consumer or search engine spider to an alternate page than the one they accessed initially or clicked, a URL redirect includes adding code to a particular website or collection of URLs.

Temporary Redirects 301 302 303 307 308
Permanent Redirect 301

Categories of Redirects

Three different redirection types are most common −

  • Although they can be set up at the website level, Meta Refresh redirects are typically not advised for SEO. There are two distinct sorts of meta redirect: instant and delayed, the latter considered permanent.

  • Redirects created by JavaScript can harm your SEO because they are established on the consumer side of the website. For HTTP server-side redirects, Google has made a preference known.

  • The most effective strategy for SEO is to set up HTTP redirects on the web server.

Redirect

Varieties of Redirects

There are two categories of redirects: client-side redirects and server-side redirects. Search engine algorithms categorise the various redirects of every type as temporary or permanent. To prevent any SEO problems, you'll need to employ the appropriate redirect.

Server-side redirects

When a consumer or search engine requests a web page, a server-side redirect directs them to the appropriate location. A 3XX HTTP status number is returned as a result.

Client-side redirects have certain limitations and are typically more appropriate for very particular and uncommon use cases, so if you're engaged in SEO, you'll utilise server-side redirects almost all the time.

Here is some 3XX redirection that every SEO should be aware of −

Redirect Code Meaning
301 A 301 redirect notifies search engine spiders that the content has been relocated permanently and directs people to the new URL. Search engines usually replace the old rerouted URL with an updated URL when prompted with a 301 redirect.
302 Search engine crawlers are informed that the site's content has momentarily relocated by a 302 redirect, which directs consumers to the alternative URL. Search engines continue to crawl the previous URL even after a 302 redirect when this occurs. But keep a 302 redirect active for an extended period. Search engines will treat it like a 301 redirect and index the updated address instead.
303 A short-term sort of redirect is a 303 redirect, which directs the consumer to contentcomparable to the one they accessed initially. For example, when a consumer clicks their browser's "back" button, it is often utilised to prevent form resubmissions. Redirects with a 303 status code are rarely used for SEO. When you do, search engine spiders can classify them as 301 or 302.
307 The difference between a 307 and 302 redirect is that a 307 redirect performs the reroute while using the initial request's HTTP protocol.
308 Like a 301 redirect, a 308 redirect performs the reroute while keeping the HTTP protocol used in the first request. Most SEOs continue to employ 301 redirects despite Google's claim that 308 redirects are treated equally as 301 redirects.

Client-side Redirects

When the web browser chooses where to reroute the user's traffic, this is known as a client-side redirect. Unless there's no choice, you should not typically utilise it.

  • 307 Redirect − When a site uses HSTS, a 307 redirect frequently happens client-side. This happens because HSTS informs the client's web browser that the server's configuration only supports secured (HTTPS) links and to carry out a server-side 307 redirect if prompted to request insecure (HTTP) content from the website in a subsequent session.

  • Meta Refresh Redirect.

  • JavaScript Redirect.

Keep These Points in Mind when Redirecting Websites

  • Only redirect to content with an accurate similarity.

  • Stay away from linking to web pages that redirect to others.

  • To prevent content duplication, use a redirect.

  • Recover compromised link authority by fixing 404 errors.

  • Prevent having Chains & Loops of Redirects.

Conclusion

It's really simple to use redirects for SEO. Most of the time, whether the redirect is temporary or permanent, you'll employ server-side redirects. The key to correctly optimizing webpages is understanding what redirects are and when a particular status code is needed. It is a fundamental component of SEO knowledge.

SEO - Authority & Trust

In the ever-evolving world of search engine optimisation (SEO), accomplishing authority and trust is vital for progressing your website's permeability and natural rankings. Authority and trust are key variables that search engines utilise to decide the validity and reliability of web site.

This chapter explores the significance of authority and trust in SEO and gives you successful techniques to improve these components. Furthermore, we'll see essential elements contributing to control and confidence.

SEO Pillars

Understanding Authority

Authority refers to a website's perceived expertise and impact inside its speciality or industry. Search engines evaluate sources based on different components such as quality backlinks, domain age, content relevancy, and social signals. Building up authority makes a difference in search engines recognising your site as a reliable data source, leading to higher rankings and increased consumer traffic.

  • Quality Backlinks − Search engines consider backlinks as votes of certainty from other websites. Quality backlinks from legitimate and relevant sources carry more weight. Aim to acquire backlinks from definitive websites inside your industry through techniques like visitor feedback, outreach campaigns, and making link-worthy content.

  • Domain Age − Whereas not the sole determinant of specialists, a longer domain age can contribute to seen reliability. Set up website domains with more time to ensure excellent stability, quality content, and backlinks.

  • Content Relevancy − Adjusting your content with relevant keywords and search trends is crucial for demonstrating efficiency and relevance. Conduct keyword searches and queries to get what your target consumers want and make your content comprehensive and instructive to fulfil their needs.

  • Social Signals − Social media engagement, such as advertisements, responses, offers, likes, comments, and followers, can show the trustworthiness and specialisation of your content. Create a solid interface and interaction on social media stages, share your content, and energise social sharing to increase your reach and progress social signals.

Website Recognition

Building Trust

Trust is crucial in SEO, as search engines prioritise reliable websites and give a secure browsing experience. Clients are likelier to engage with websites they trust, driving increased conversions and traffic. Thus, moving forward in client needs fulfilment and building a trustworthy image on components such as secure website design, consumer security approaches, and positive consumer experience.

  • Secure Website − Implementing SSL certificates and enabling HTTPS encryption guarantees that users' information is transmitted safely. A secure site is shown by the padlock image within the browser's address bar, instilling confidence in visitors and search engines.

  • Privacy Policies − Transparent and easily open security arrangements guarantee clients that their data is dealt with dependably. Diagram how you collect, store, and protect user information to set up, believe and comply with protection regulations.

  • User Experience − A positive client encounter is crucial for building beliefcentred on variables like site plan, instinctive route, quick stacking times, and versatile responsiveness. Guarantee your website is user-friendly and optimised for different gadgets to supply a seamless browsing experience.

  • Reviews and Testimonials − Positive reviews and testimonials from fulfilled clients or users can upgrade trust. Encourage clients to take off reviews and show them prominently on your website or survey stages important to your industry.

E-A-T

Google has focused on a framework known as E-A-T (Expertise-Authoritativeness-Trustworthiness) to judge the value and authenticity of the information on each website the web spidercrawlto give superior and extremely pertinent search outcomes across all regions. Any content creation plan should now include E-A-T as a significant SEO component.

EAT

Strategies for Improving Authority and Trust

  • Quality Content − Make unique, well-researched, and engaging content that illustrates your mastery and gives value to clients. Consolidate important keywords typically into your content and guarantee it adjusts with the search intent of your target audience.

  • Link Building − Center on winning high-quality backlinks from definitive websites. Create connections with influencers, offer third-party posts to legitimate blogs, and make a vital substance that pulls in backlinks.

  • Social Media Engagement − Lock in with your group of researchers on social media stages to extend brand recognition and energise social sharing of your substance. Share enlightening and engaging posts, react to comments and messages instantly, and cultivate a sense of community around your brand.

  • Website Optimization − Optimize your website's viewpoints and elements to progress consumer involvement and search engine rankings. Guarantee quick stacking times, mobile responsiveness, and a user-friendly route. Execute SSL certificates and take after best practices for site security.

  • Online Reputation Management − Screen your online presence by effectively searching for client input and taking action against any negative criticism promptly and professionally. Encourage satisfied clients to take off cheerful surveys and testimonials to build trust.

  • User Trust Signals − Display trust signals on your website to ensure certainty to visitors. This includes security identifications, certifications, client tributes, case studies, and affiliations with industry organisations. These signals exhibit your validity and can affect belief.

Trust and Authenticity

Conclusion

Authority and trust are essential components in SEO that significantly affect your website's visibility and SERP rankings. By implementing the techniques in this chapter and considering the various factors, you can upgrade your website's authenticity and dependability, eventually driving more online activity and improving consumer engagement. Building authority and trust is a progressing process, requiring steady effort and consideration to guarantee long-term SEO victory.

SEO - PDF Files

In 2001, Google began indexing PDFs. This format is frequently used in academic, corporate, and administrative sectors. Daily, millions of documents are indexed by Google. Examples of documents include pages of content, photos, and PDF files. Frequently, PDF file optimization needs to be remembered. That represents a lost opportunity since, like conventional webpages, PDF files possess the capacity to drive significant traffic.

How PDFs are Handled by Google?

Google results from searches for PDFs have a PDF tag. PDFs are transformed into HTML and indexed accordingly andappropriately. When there are text images in PDFs, Google's Optical Character Recognition (OCR) algorithm converts the contents of the picture into text. In image search outcomes, pictures in PDF format also get indexed.

Google Search

The Drawbacks of PDFs for SEO

PDF files have certain drawbacks compared to online pages of content, despite Google indexing and sometimes ranking them −

Absence of certain SEO factors

Numerous SEO factors are identical in PDF files. However, many of them, such as specific link properties like nofollow, etc., are unavailable.

Lack of Mobile Platform Optimization

PDFs are designed to look the same on all platforms. Therefore, a PDF optimized for mobile devices does not exist.

They are Not Frequently Crawled

PDFs are typically crawled less frequently than webpages with regular updates since pdfcontents aren't often modified enough.

Need for Adequate Navigation

Most PDFs need more navigational components, thus rendering it more challenging for users to locate additional content.

Additional Effort Goes into Tracking

Most popular crawlers don't operate in PDF files but in JavaScript on a website.

PDF

Tips for PDF Optimization

The majority of on-page SEO components that you're accustomed to viewing in HTML possess a comparable variant in PDFs and are employed identically. There are numerous additional factors for accessibility.

Now we'll go over some of the techniques for SEO-friendly PDF development −

Add A Title That Is Optimized

PDF files include titles identical to how web pages do. The filename displays in the SERP if the Portable Document Format (PDF) does not have a title.

Publish Quality Content

Google aims to organize every bit of data worldwide. Quality content constitutes valuable material, regardless of whether it is on a web page. PDFs include some of the web's finest content.

Choose an Appropriate File Name

The internet address (URL) will also contain the name of the document of the PDF. This is considered a minor ranking factor that will affect the URL ranking. The filename isdisplayed in the search outcomes.

PDF File

Include A Better Description

While this doesn't affect your ranking, it does give businesses some influence over the content that shows in search results, similar to how meta descriptions for websites affect search engine results.

Embedding Links

Links inside and outside a website impact ranking, identical to any other page on the site, by incorporating links to the PDF file and leading away from thePDF file to different websites.

File Name

Utilize Header Tags

You can designate specific text in PDFs as headings, similar to how header tags (H1-H6) work on web pages.

Include The Alt Attributes For Images

You can include alt text for each photo in your PDF to assist search engine spiders in understanding the subject matter of the images.

PDF Icon

When is a PDF Appropriate to Use?

When creating a document that takes more time and effort, PDFs are frequently utilized, especially if consumers need to have the abilityto download and print your content just as you intended.

  • eBooks.

  • Offline Materials.

  • Documents that have a white background (printable easily).

  • Documents that describe specifications.

  • User Manuals.

How to Optimize Your PDFs for SEO?

Minimize the size of your PDF file by compressing it.

The most crucial thing to check is whether your file has previously been speed-optimized. The size of a PDF file should be minimized, much like a webpage. Inspect your PDF to make sure it is web-friendly. The procedure is simple −

  • In Adobe Acrobat, view your PDF.

  • The File menu.

  • The Properties option.

  • Select the Descriptions tab.

  • You can access the "Fast Web View" at the window's bottom. If the answer is "No," the PDF document has to be optimized.

Optimized File

PDF Font Optimization

Utilize conventional fonts.The file's total size will grow if any additional fonts need to be incorporated.

Reduce The Number of Fonts You Use

Utilize fewer fontstyles because more fonts merely increase the size of your PDF. The Fonts tab in Properties under File in Adobe Acrobat Reader shows all used fonts in the PDF.

Fonts Tab

PDF Image Optimization

Utilize only monochromatic bitmap images: If bitmaps are required, utilize monochrome versions rather than colored ones to keep the file size as small as possible.

Employ vector-based graphics: Compared to bitmap graphics, vector-based graphics are more compact and of excellent quality.

Fast Web View

Fast Web View reorganizes a PDF so you can download a page at a time. This is beneficial if the PDF you're using is a large file.

Fast Web View

Conclusion

It's easy to operate PDF filesand produces standardized outputs.They are functional on almost all platforms and consistently have an identical visual appearance. However, using web pages rather than PDFs should be considered when developing fresh content to be published online.

SEO - Optimized Anchor Text

Anchor text refers to the text part that can be clicked on within a hyperlink. When a consumer clicks a hyperlink, the anchor text should describe the website type they will go on.

It is intended to stand distinguished from the other parts of the content to ensure people would recognise it as a clickable link. As a result, it needs to be a distinct colour from conventional text. It is frequently blue. It is possible to add additional style components, such as an underlining.

Understanding Anchor Text

Anchor text refers to the prominent, clickable text in a hyperlink. It gives consumers an overview of the accessed webpage's content. Usually, anchor text is keyword-rich, as search engines utilise it as a noteworthy ranking calculator. But recently, in some cases, search engines have taken various measures due to misuse and uncontrolled usage. In terms of determining the relevancy of anchor text, search engines have evolved.

Anchor Text Types

Types of Anchor text

Exact Match Anchor Text

Description − This sort of anchor text uses the exact keyword or critical terminology you need to rank for as the clickable text.

Example − The anchor text content should be "best SEO tutorials" if you need to rank for the term "best SEO tutorials."

Partial Match Anchor Text

Description − Partial match anchor text includes a part of the target and a catchphrase or essential expression inside the anchor text.

Example − Utilizing the previous illustration, the anchor text may be "Check out the best SEO tutorials."

Branded Anchor Text

Description − Branded anchor text utilises the brand name or company title as the anchor text.

Example − If your brand is called "Tutorials Point," the anchor text might be "Tutorials Point."

Naked URLs

Description − Naked URLs utilise the full URL of the target web page as the anchor text.

Generic Anchor Text

Description − Generic anchor text employ nonexclusive expressions that are not particular to the linked content.

Example − "Click here," "Read more," or "Learn more" are typical cases of generic anchor text.

Brand Keyword Anchor Text

Description − This anchor text combines the brand title with the target keyword or target phrase.

Example − Utilizing the past illustration, the anchor text may be "Tutorials Point" or "Best Tutorials Online."

Adding Anchor Text

Anchor text in HTML code appears as follows −

<a href="http://www.tutorialspoint.com">Example Anchor Text</a>

The Significance of SEO-Optimized Anchor Text

SEO-optimized anchor text offers a few benefits, including −

Enhanced Relevance

Using accurate, optimised anchor text that precisely speaks about the related page's content or topic makes a difference in search engine rankings, and consumers give you more visits and interactions. This makes progress in the general significance of your site and boosts your rankings.

Improved User Experience

Clear and brief anchor text makes a difference for visitors to understand where the link will take them, diminishing uncertainty and expanding trust in your website domain.

Increased Click-Through Rates (CTRs)

Anchor text that attracts users' interaction and precisely depicts the linked content can lead to higher click-through rates. This certainly impacts your website's organic traffic and ensures significantly better performance in SERP rankings.

Linked Website Profiles

A different and characteristic connected website profile is fundamental for SEO. By shifting your anchor text and employing a combination of relevant texts and expressions, you can dodge over-optimization and show up more regularly and higher in search engines.

Anchor Texts Appear

Best Practices for SEO-Optimized Anchor Text

To optimise your anchor text effectively, consider the following guidelines −

  • Relevance and Context − Ensure your anchor content precisely reflects the corresponding webpage's content. Utilise easy-to-read and essential expressions that give consumers and search engines a precise understanding of what to expect from the website.

  • Variation − Avoid monotonous anchor text. Broaden your anchor text technique by blending Exact Match Anchor Text, Partial Match Anchor Text, Branded Anchor Text, Naked URLs, and Generic Anchor Text to appear more diverse.

  • Length and Readability − Keep your anchor text brief and straightforward. Long and excessively complicated anchor content can confuse consumers and search engine crawlers. Aim for clarity, briefness and simplicity.

  • Avoid Keyword Stuffing − Avoid over-optimizing your anchor text using too many keywords. This could be spammy to search engine crawlers and hurt your SEO efforts. Keep up an average balance.

  • Internal Linking − Utilize anchor text to design the internal links in your site, directing consumers and search engines to significant pages. Internal connections and links strengthen your website's design and progress indexing.

  • Monitor and Adapt − Routinely analyse the functionality of your anchor text performance through SEO analytics apparatuses. Adjust and refine your approach based on the information to maximise results.

<a href="targetpage.htm" title="Example Anchor Title">
   <img src="relevent_image.gif" alt="keywords"/>
</a>	

Conclusion

Your website's popularity and rankings may increase with the use of SEO-optimized anchor text. By following the most excellent practices outlined in this chapter and utilising an assorted run of anchor text sorts, you'll be able to improve the relevance, client encounter, and general SEO execution of your site. Remember to screen and adjust your procedure to guarantee continued success.

SEO - Optimize Images

Image optimization for ranking on search engines is referred to as image SEO. The visibility of your website on Google Images can be improved by optimizing image SEO. Additionally, image optimization can make your website more accessible, which is now required by regulations in numerous nations. This tutorial will demonstrate how to utilize structured picture data, add alt text, and optimize picture files for fast page loads.

SEO Image

Why Do Images Matter So Much?

Approximately one-fourth of all online queries are for images on Google. Businesses will be losing out on an immense amount of visitors if you ignore paying careful consideration to your image SEO. More frequently than the typical organic outcomes, Google is beginning to display pictures in the standard search outcomes.

There are two methods that Image SEO can significantly increase site traffic −

  • The primary benefit is that optimized photos improve the likelihood of appearing in Google Photos.

  • The additional point is that pictures are crucial for on-page SEO.

  • The inclusion of pictures in written content can increase reader comprehension and interaction. Additionally, serve to divide potentially lengthy text sections.

Optimised

Improve The User Experience

Develop websites intended for visitors rather than search engines to increase the exposure of your content in Google Image searches. These are a few pointers −

Contextualise well

Ensure that the image material on the website relates to the website's subject. Experts advise you to limit images on your website to instances when they bring distinctive value. Googlestrongly recommendsagainst websites with neither genuine content nor pictures.

Placement should be optimized

Place pictures next to pertinent information whenever you can. Think about positioning a highly significant image close to the top of the web page.

Creating well-written, educational websites

For Google Images, relevant data on your website is equally as crucial as pictures because it gives the result context, which makes it easier for users to perform actions. When indexing photos, Google considers the page content standard and could be utilized to create an informative snippet for the image.

Avoid placing crucial text within pictures

Avoid including text in images, particularly crucial text elements like menu items and website headings. Only some visitors can access these elements; website translation services won't function on pictures. Retain text in HTML and use alt text for images to guarantee your material is as accessible as possible.

Make sure your photos have a proper URL structure

When interpreting your uploaded images, Google considers the filename and the URL path. If you want to create meaningful URLs, consider organizing your image information.

Make websites that are accessible on different devices

Google Images searches on mobile devices are more common than on desktops. Because of this, you must build your website to work on all sizes and types of devices. To see how effectively your websites function on mobile phones and tablets and to obtain comments on the issues that need to be corrected, use the Mobile-Friendly Test.

Apple

Alt Text: What Is It?

A picture description in website writing is known as alt text or alternative text. Occasionally, developers refer to the alt text as "alt attributes" or "alt tags." It's essential to have optimized alt text if you want Google to index your pictures on Google images. Consequently, you can inform Google what the image depicts using the alt text. Additionally, it can help visitors understand what a photograph should display if one of the pictures malfunctions, improving user access to your website.

<img src="blue-offroad-car.png alt="blue offroad car from ABC motors"/>
Alt Text Strength
alt="shoes" Bad
alt="brown shoes" Good
alt="brown leather shoes" Better
alt="brown leather shoes with black soles and dark brown laces" Best

Image Format

  • PNG − Better photos are produced with PNG. However, the file size is considerably larger.

  • JPEG − Image quality might get lost, but you can alter the amount of detail to achieve a satisfactory compromise.

  • WebP − This is the sole image format supported in Mozilla Firefox and Google Chrome, and you may use it to compress images either losslessly or lossily.

  • SVG − Used for icons and logos on websites.

Image Properties

Tips on Image Optimization

  • Your image files should be compressed.

  • Watch Out for Copyright.

  • Create Alt Text That Is SEO-Friendly.

  • Make Eye-Catching Images.

  • Select The Appropriate Format.

  • Change the names of the image files appropriately.

  • Consider the organization of the image files.

  • Adjust your website's title and description to match published images.

  • Carefully specify the dimensions of your image.

  • Develop Mobile-Friendly Pictures.

  • Update your sitemap with the images.

  • Integrate structured data.

Sitemap

Utilize a Content Delivery Network(CDN)

The speed at which images and other kinds of content load are improved by a content delivery network (CDN). The term "CDN" refers to a collection of servers dispersed globally. Content can be distributed to many areas more quickly as a result.

Say, for instance, that you reside in London. A U.K. server will load data considerably faster than one in Japan, Asia.

<img src="static/images/simply-easy-learning.png" style=width:80%;margin:auto;" alt="Simple and Easy Learning"
class="mobile-learning-img light-mode-item">
<img src="static/images/simply-easy-learning.png" style="width:80%;margin:auto;" alt="Simple and Easy Learning"
class="mobile-learning-img dark-mode-item">

Conclusion

Both inexperienced and experienced SEO practitioners know the investment of time and effort into website image optimization. You're squandering a vital SEO commodity if your website images are not optimized. Numerous benefits arise from image optimization, including increased ranking possibilities, an improved consumer experience, and quicker loading speeds. Additionally, the task is growing in significance as a ranking factor and, therefore, the success of your website.

SEO - Duplicate Content

Duplicate Content: What Is It?

Content identical or remarkably similar to content found on separate websites or distinct sections of a single webpage is called duplicate content. A website's search engine ranking may suffer if it has a significant amount of identical material. The term refers to a location with a specific website address (URL); therefore, duplicate content exists when exact content exists at many web addresses.

Consequences of Duplicate Content

There are several consequences in search engine results; sometimes, there are even monetary penalties when websites containing the same content are published. Among the most typical problems with duplicating material are −

  • Webpages that are displayed in SERPs have an inappropriate copied version.

  • Unexpectedly, original websites rank lower in search engine result pages (SERPs) or have indexing issues.

  • Changes or declines in key site metrics like traffic, rankings, or E-A-T standards.

  • Due to conflicting prioritization signals, search engine algorithms may take additional unanticipated measures against valid websites.

Content Duplication

Why is it essential to avoid duplicate content?

For search engines, the same material can cause three problems in particular −

  • Lack of Technical Algorithm − They need more technical expertise to decide which versions to index and which ones to leave out. Due to various algorithmic factors, they often display duplicate or copied content material higher in SERP than the original content.

  • Statistical Issues − They need help allocating the connection statistics, such as trust, authority, anchor text, link equity, etc., among several content versions on different websites. When content gets similar across multiple sites, the evaluation and ranking factors get disturbed, and the consumer gets affected along with website owners.

  • Confusion between Different Editions − They struggle to determine which version or versions to prioritize for search engine results. Due to failed prioritization, they often display identical contents simultaneously, one after the other.

Owners of websites may experience losses in ranks and visitors when duplicated material is publicly accessible. These financial losses frequently result from two key issues −

  • Capital Losses − Since competing sites must decide between duplicate content, link equity, capital investment and returns and profits from links and advertisements may be significantly diluted. Inbound links divide linking capital among the duplicates by linking to numerous pieces of published material rather than just one, as opposed to all of the inbound links referring to a single item of content. Therefore, the online exposure of a piece of data may be affected since inbound links serve as a ranking component.

  • Lower SERP Rankings − Search engine algorithms rarely display numerous versions of comparable data to give users an optimal search experience; consequently, they are compelled to select the most probable version to produce the most accurate results. Each of the copies becomes less noticeable as a result. And the original content suffers from this online limitation or exposure.

Duplication Causes

Duplicate Content Problems: How Do They Arise?

Owners of websites typically do not purposefully produce duplicate content. That being said, it still might exist. According to specific projections, a quarter of the internet may include duplicate content.

Here are a few of the most typical unintentional instances in which duplicate data is produced −

Variants on URLs

Duplicate content problems can be caused by URL parameters like traffic management parameters, CTR trackers, analytical source codes and certain statistics codes. The sequence whereby these parameters occur in the URL itself may also pose an issue, in addition to the parameters themselves.

Protocol and Sub-Domain

If the identical material is present across both the website's editions at "www.example.com" and "example.com," you have duplicated each web page. The exact situation is for websites with both http:// and https:// versions.

Product Specifications

Product details sections are included in the content, journal entries and written content. The identical material ends up in several places on the internet if many websites selling the same products utilise the manufacturer's representations of these goods.

Harms SEO

Fixing Duplicate Content Conflicts

Structure

It is advisable to take a broad look at the structure of your website as a place to begin. Whether you are working with a new, up-to-date or updated document, the first step is to mark up all the pages using a site crawl and give each one a distinct H1 and core keyword.

Redirect Code 301

Setting up a 301 link redirect to connect the "duplicate" webpage to the original material webpage works most effectively in many cases to avoid duplicate content.

rel=canonical attribute

Utilising the rel="canonical" feature is an additional option for handling duplicate content. This notifies search engine crawlers that a particular website must be regarded as duplicating a specific URL.

<meta name="robots" content="noindex,follow">

Usually combined with the parameters "noindex, follow," the meta tag meta robots can be beneficial when confronted with duplicated material. Any website that must be blocked from the search engine's indexing can have this meta robots tag in its HTML head.

Verify that the Website Redirects Are Done Properly

Your website's various versions should all land in a single address.

Redirect Links

What Happens If My Content Is Not Copy-Righted?

If someone has replicated your work and you still need to mark it as the original piece with a canonical tag, this is a problem. Test these −

  • Find out how often the website is getting indexed using Search Console.

  • Request for acknowledgement or elimination of copyby contacting the website administrator that used your content without permission.

  • To guarantee that what you publish is acknowledged as the "authentic source" of the data, utilize self-referencing canonical tags on each new section of content you post.

Conclusion

Making distinctive, high-quality material for your website is the first step in preventing duplicate content. However, the procedures to reduce the chance that others may steal what you offer might be challengingthinking carefully about web design and concentrating on your users' experiences while on your website is the most effective method to prevent duplicate content problems. The strategies mentioned should lessen the risk to your website if content duplication happens due to technological causes.

SEO - Meta Robots Tag

Meta tags are essential in search engine optimisation (SEO) since they help improve a website's visibility and rankings in search engine results. The "Meta Robots Tag" is a meta tag that significantly impacts how search engines crawl and index web pages. The significance of the Meta Robots Tag, its different directives, and how to utilise them to enhance the SEO performance of your website are all covered in this chapter.

Understanding the Meta Robots element

The Meta Robots Tag is an HTML meta element that tells search engine crawlers how to treat a specific web page. It comprises several directives that drive search engine bots and is positioned within HTML content's <head> section.

To determine if a search engine should index a website, follow its links, or archive its content, the Meta Robots Tag is frequently employed. It gives website owners more control over how their pages are crawled, indexed, and displayed in search engine results.

Illustration

<!DOCTYPE html>
<html><head>
<meta name="robots" content="noindex">
(...)
</head>
<body>(...)</body>
</html>

Directives for Common Meta Robots

  • index − Thanks to this directive, search engine results pages (SERPs) can contain a page that a search engine has indexed. If no Meta Robots Tag is supplied, it will act in this manner by default.

  • noindex − Search engines are told not to index the page with the noindex directive. It is helpful for pages with the same material, private carriers, or pages still under development that you want to avoid appearing in search results.

  • follow − Search engines are instructed to follow and crawl the links on the page via the request follow. If no Meta Robots Tag is supplied, it will act in this manner by default.

  • nofollow − Search engines are told not to crawl or follow any links on the page via the nofollow directive. It can be helpful to stop giving authority to potentially hazardous websites on pages that include unreliable or user-generated content, like comment areas.

  • noarchive − This directive forbids page caching by search engines. Pages containing sensitive information or those that change frequently and shouldn't be accessible via cache can benefit.

  • nosnippet − This directive forbids the display of a snippet or summary of the page by search engines in search results. It can be helpful if you want readers to visit a page to obtain the complete content or if the material on the page is too complex to be condensed into a summary.

<meta name="robots" content="nofollow">
<meta name="googlebot" content="noindex">

Advanced Usage and Recommended Techniques

Exclusion and Indexing

Choosing which pages to index and which to omit from search engine results is critical. For instance, the "no index" directive may benefit pages with scant or redundant information, such as tag archives or index pages, to prevent degrading the general quality of your website in search results. Put your efforts into indexing unique, high-quality content that benefits your audience.

Combination of Directives

The Meta Robots Tag allows you to combine different directives for precise results. Search engines can crawl and follow links on a page when "index, follow" is used but cannot index the page itself.

Sitemaps and Consistency

Make sure that the directions in your website's XML sitemap are consistent with the directives in your Meta Robots Tag. Search engines may become confused if you include a page in your sitemap yet employ the "no index" directive, which could result in less-than-ideal crawling and indexing. Keep your sitemaps and messages in line to send search engines clear signals.

Use Case Illustrations

Specific Meta Robots Tag directives can be helpful in the following situations −

  • Use "no index, follow" on pages that create several URLs with the same content on e-commerce websites with product sorting and filtering options to prevent duplicate content problems.

  • The "no index" directive can help protect private information on login or account pages from unauthorised access through search engine results.

  • The "nofollow" directive can be used in user-generated content areas like forums and comment sections to prevent sending link equity to potentially spammy or low-quality external websites.

The X-Robot Tag

The X-Robots-Tag header must be included in the HTTP response for the page or record to be used. To instruct web crawlers not to keep track of a web page, utilise the following example in the title −

x-Robots-Tag: noindex

The X-Robots-Tag header is helpful when managing how search engines and other online robots are linked to your website. It should be used carefully and with other SEO best practices to ensure it doesn't negatively impact your website's look engine ranks.

Continuous Testing and Monitoring

As with any SEO strategy, it's critical to constantly check the results of your Meta Robots Tag instructions. Track the status of indexation and any crawl issues using tools like Google Search Console. Additionally, do tests to verify that search engines are correctly reading and following the instructions. You may optimise the visibility of your website by regularly monitoring and testing and making the required adjustments.

You may exert more influence over how search engines crawl and index your website, improve your SEO efforts, and give your audience a better user experience by adhering to certain recommended practices and utilising the Meta Robots Tag efficiently.

Remember that search engine algorithms and standards change over time, so staying up-to-date with the best SEO techniques and methods is critical to maximising your use of the Meta Robots Tag.

Utilising the Meta Robots Tag

The Meta Robots Tag must be added to your HTML document's <head> section to be used. Here is an illustration of how the tag should be composed −

<head>
   <title>Tutorials Point Title </title>
	<meta name="robots" content="directive1, directive2">
</head>	

The "content" property can comprise one or more directives, split by commas, depending on the instructions you want to provide. Here's an example of how to combine various requirements −

<meta name="robots" content="noindex, nofollow">

Conclusion

In conclusion, you can manage how search engines scan and index your web pages using the Meta Robots Tag, a powerful tool in your SEO toolbox. You can improve user experience, optimise website visibility, stop undesired sites from being indexed, manage link equity, and more by carefully employing the Meta Robots Tag and associated directives. To maximise the impact of your SEO efforts, always consider your website's goals and content while using Meta Robots Tag directives.

SEO - Nofollow Links

Link building is essential to search engine optimisation (SEO) for enhancing a website's authority and visibility. Search engines, however, consider several characteristics when judging the worth and reliability of a link because not all connections are created equal. The "nofollow" property is one tool that is crucial in maintaining link equity. This chapter will discuss the idea of nofollow links, how they affect SEO, and the best ways to use them.

Understanding Nofollow Links

Nofollow is an attribute that can be added to a link's HTML code to tell search engines that the association should not convey any authority or credibility to the connected page. Nofollow was first introduced by Google in 2005 to prevent spammy or subpar links. It gives website owners the power to manage the exchange of link equity and instruct search engines on which links to prioritise and which to ignore.

The Effect of Nofollow Links on SEO

When determining the ranking and authority of the linked page, search engines effectively disregard nofollow links. This indicates that any SEO value or ranking signals that may be transmitted by conventional, followed links will not benefit the connected website.

rel values Purpose
rel="sponsored" Add the sponsored values to advertising or paid placements connections, also known as paid links.
rel="ugc" We advise adding the UGC value to user-generated connections (UGC), like posts on forums and feedback.
rel="nofollow" When other settings aren't appropriate, and you do not preferGoogle to link to or crawl the referenced webpage from your website, you can utilise the nofollow parameter. Implementing the 'robots.txt disallow'restriction condition for links on your website would be best.
Multiple values Multiple rel values can be specified as an array with spaces or commas between them. Example: rel="ugc,nofollow" andrel="ugc nofollow"

Nofollow links don't affect a website's SEO rankings directly, yet they have valuable functions −

  • Nofollow links are frequently used in platforms for user-generated content, such as forums, c omment sections, and social media websites. This aids in preventing spammers from saturating these platforms with irrelevant or low-quality links to manipulate search engine results.

  • Paid and sponsored links − It's crucial to apply the nofollow tag for links that are part of affiliate marketing efforts, paid adverts, or sponsored content to comply with search engine standards. Links in blog posts, banner adverts, and product reviews that are supported or in which there is a financial connection between the owner of the website and the linked material fall under this category.

  • Links to problematic or unreliable websites − Using the nofollow property when linking to questionable or unreliable external websites is advised. This ensures that you are not supporting or recommending potentially hazardous or irrelevant information while preserving your website's reputation.

How to Use Nofollow Links?

To use a nofollow link, add the rel="nofollow" tag to the link's HTML code. Here is an illustration of how a nofollow link ought to be composed −

<a href="https://www. TutorialsPoint.com" rel="nofollow">Link Text</a>

The Ideal Procedures for Nofollow Links

  • Properly identify sponsored or paid links − Clearly label any sponsored or paid links on your website with the nofollow tag to correctly identify them as such. This makes it easier for search engines to comprehend the nature of the connection and guarantees adherence to rules like Google's Webmaster Guidelines.

  • Prioritise quality and relevance − Although nofollow links may not significantly impact SEO rankings, it is still crucial to prioritise connecting to relevant and high-quality material. Adding value to your audience's experience improves user interaction and draws natural, followed links from reliable sources.

  • Monitor and update links − Keep an eye on and update the links on your website, especially the ones that lead to external resources. Examine the related websites for any changes in their reputation or level of quality. Consider adding the nofollow tag to those links to safeguard the importance of your website if formerly dependable websites turn out to be unreliable or outdated.

Advanced Nofollow Link Techniques

Utilising Nofollow and Followed Links Strategically

Although nofollow links don't pass SEO value, it's crucial to maintain a balance between the two types of connections in your total link profile. Search engines may tell that your website is trustworthy and not just concerned with manipulating results if it has a genuine, varied link profile with a mix of followed and nofollow connections.

Internal Nofollow Links

You can utilise nofollow links inside your website. This might be useful for pages like login pages, thank you pages, and unnecessary administration pages you don't want search engines to scan or index.

Relevance In Context

Consider the context and importance of the linked content when applying nofollow links. Nofollow links may not directly improve SEO, but if they point users to helpful and pertinent information, they can still be valuablelink to valuable articles and improve the user experience overall.

Nofollow And Anchor Text Optimisation

Even though the nofollow attribute has no bearing on anchor text optimisation, it is crucial to do so for both followed and nofollowed links. Even if the connection is set to nofollow, descriptive and keyword-rich anchor text aids search engines in understanding the context and applicability of the linked information.

Keep Track Of And Update Your Nofollow Links

Consistently analyse your website's links and re-evaluate if the nofollow property is still necessary. External websites may become more reputable, or the related content's relevancy may shift. If the nofollow attribute on these URLs must be updated to reflect the current web standard, do so.

You may improve your link-building strategy, safeguard your website's reputation, and improve user experience by putting these cutting-edge techniques for using nofollow links efficiently into practice. To get the most outstanding results, remember that SEO is a dynamic area and that maintaining current with the most current best practices and recommendations is essential.

Conclusion

In conclusion, nofollow links are essential for managing link equity and preserving the integrity of an SEO campaign for a website. You may use the nofollow feature to control connection authority flow, adhere to standards, safeguard your website's reputation, and improve user experience. To optimize your website's linking strategy, keep in mind to carefully analyze the context and purpose of each link and to use the nofollow tag when appropriate.

SEO - XML Sitemap

A Sitemap:What Is It?

A document in which you list your website's web pages, videos, and other assets, along with their connections. Search engine spiders examine this file so they can crawl your website. Text, XML, and RSS are among the most common formats for writing sitemaps. The most popular form is XML. In this chapter, we will learn about XML.

Do You Require a Sitemap?

According to the size and design of the website, it depends. If your site has 100 or fewer URLs, and those URLs are all internally linked, then yougenerally don't require a sitemap. A sitemap, however, will be pretty helpful if you manage a sizable website with thousands, millions, or billions of URLs.

<url>
   <loc>https://example.com/blog/sample-blog-article/</loc>
	<xhtml:link rel=alternate" hreflang="en" href="https://example.com/blog/sample-blog-article/"/>
	<xhtml:link rel=alternate" hreflang="de" href="https://example.com/de/blog/sample-blog-article/"/>
	<xhtml:link rel=alternate" hreflang="fr" href="https://example.com/fr/blog/sample-blog-article/"/>
	<xhtml:link rel=alternate" hreflang="es" href="https://example.com/es/blog/sample-blog-article/"/>
	<xhtml:link rel=alternate" hreflang="it" href="https://example.com/it/blog/sample-blog-article/"/>
	<xhtml:link rel=alternate" hreflang="nl" href="https://example.com/nl/blog/sample-blog-article/"/>
</url>	

About XML

The most flexible sitemaps are those in XML format. It is readily expandable and may be used to provide extra details regarding the localized variations of your web pages, photographs, videos, and news items.

Pros

  • It is adaptable and extensible.

  • It can offer the most details regarding your URLs.

  • Users of CMSs can locate plugins for creating sitemaps.

Cons

  • High-skilled task.

  • Keeping the mapping up to date on more prominent portals or websites where the URLs frequently change may be challenging.

XML tags make up the Sitemap protocol format. For any information or value contained in a Sitemap, Entity-escaping is required.

The Sitemap has a format

  • <urlset> is used at the beginning and </urlset> is used at the end.

  • The <urlset> tag's namespace must be defined.

  • As a parent XML tag, add an <url> entry for every URL.

  • Include a <loc> entry for every <url> tag.

The rest of the tags are configurable. Search engine spiders might or might not accommodate these additional tags. For details regarding the compatibility of each search engine, read its instruction manual. Furthermore, each URL in a Sitemap should be from the same host, such as www.tutorialspoint.com, guides.tutorialspoint.com, etc.

XML Sitemap

This represents a sample XML sitemap that shows where one URL is located −

<?xml version="1.0 encoding="UTF-8"?>
<urlset xmlns="http://www.sitemaps.org/schemas/sitemap/0.9">
   <url>
	   <loc>http://www.example.com/foo.html</loc>
	</url>
</urlset>	

Now, here is an example of an XML sitemap with multiple URLs −

XML Sitemap with Multiple URLs

Tag specifications for XML

The XML tags that are accessible are as follows −

XML Tag Status Definition
<urlset> Necessary It references the current protocol standard and encodes the file's contents.
<url> Necessary It refers to the parent tags for every URL present. This tag's children are the rest of the titles.
<loc> Necessary The website's URL. If the server hosting the website demands it, the protocol name (HTTP) must come first in this URL and have a trailing slash at the end. A smaller amount than 2,048 bits must make up this value.
<lastmod> Optional This represents the website's most recent update date. W3C Datetime format must be used for this date. If you like, you can use YYYY-MM-DD instead of the time component in this format. Remember that the date must be configured to reflect when the linked website's last content was edited, not when the developer created the sitemap.
<changefreq> Optional The likelihood that the page will update regularly. Although it may not accurately represent how frequently search engines crawl the website, this value gives them a broad overview. Valid codes include −
  • always.

  • hourly.

  • daily.

  • weekly.

  • monthly.

  • yearly.

  • never.

always - Document updates whenever accessed.

never - Archive URLs need to be assigned this value.

<priority> Optional This tag represents the importance of an URL in comparison with additional URLs on your website. Between 0.0 to 1.0 are valid values. This number informs search engines about the pages you think are most crucial for the crawling mechanisms. Still, it has no impact on how your web pages are evaluated compared to content on other web pages. Default Value- 0.5

Note

  • All tag values need to be entity escaped, as for all XML files.

  • The values for <priority> and <changefreq> are ignored by Google.

  • If the <lastmod> value can be regularly and independently verified as accurate, Google will utilise it.

Entity Eluding Capture

UTF-8 encoding is required for your sitemap file. All XML files must employ entity escape values for any characters indicated below, including URLs and any information contents and values and URLs.

Character Symbol Escape Code
Ampersand & &
Single Quote ' '
Double Quotes " "
Greater Than > >
Lesser Than <

Sitemap Index Files

The total number of URLs in each Sitemap file you provide is restricted to 50,000, and their combined size must not exceed 50MB. If you want to minimize the bandwidth needed, you can compress the contents of your sitemap documents using gzip; nevertheless, the sitemap file's uncompressed size cannot exceed 50MB. You need to make multiple Sitemap files to include over fifty thousand URLs.

You should create a directory file called "Sitemap" with a list of all the Sitemap files if your website(s) have a lot of distinct Sitemaps. 50,000 Sitemaps or less, a 50MB maximum file size, and compression, are all criteria for sitemap index files. Multiple Sitemap index files may exist.

A Sitemap file's XML format and its index file's XML format are identical. The Sitemap index template needs to −

  • An opening tag <sitemapindex> at the start and a closing tag </sitemapindex> at the conclusion.

  • Every sitemap should have its entry <sitemap> in the parent XML tag.

  • For every <sitemap> parent tag, provide a child entry <loc>.

  • Similarly, Sitemap index files support the optional tag <lastmod>.

<?xml version="1.0 encoding="UTF-8"?>
<sitemapindex xmlns="http://www.sitemaps.org/schemas/sitemap/0.9">
   <sitemap>
	   <loc>http://wwwtutorialspoint.com/sitemap01.xml.gz</loc>
		<lastmod>2023-06-18T18:21:00+00:00</lastmod>
	</sitemap>
   <sitemap>
      <loc>http://www.tutorialspoint.com/sitemap02.xml.gz</loc>
      <lastmod>2023-06-18</lastmod>
	</sitemap>
</sitemapindex>	

Uploading XML Sitemap

Upload your XML sitemap to Google using Search Console; follow these steps −

  • Login to Google Search Console.

  • Select "Sitemaps".

  • Add your sitemap's URL to the "Add a new sitemap" section at the top of the webpage.

  • Press 'Submit,' and Google will go through your freshly constructed XML sitemap.

Conclusion

Your website's key pages are all directed by a good XML sitemap, which serves as a route map for Google. Regardless of whether the internal structure of your website could be better, XML sitemaps may prove beneficial for SEO because they help Google identify your key pages efficiently.

SEO - Canonical URL

Canonical Tags: What Are They?

An HTML element is known as rel="canonical" indicates the primary version for duplicate, nearly identical, or comparable sites. In other words, you can employ canonical tags to identify which version of a piece of content is the original authentic one. Google will index the canonical URL and show it to viewers when they perform a Google search.

<link rel="canonical" href="https://wwwtutorialspoint.com/seo/what-is-seo.htm"/>

Types of Canonical URLs

There are two types of Canonical URLs −

  • Self-Referencing Canonical URLs

  • Canonical URLs that direct users to the desired page from an alternative page.

The user-declared and Google-selected canonical can be seen using Google Search Console's URL Inspection tool.

Canonical URLs: Why Are They Important?

  • Since Google primarily indexes canonical URLs, canonical URLs are crucial. In a nutshell, if there is content duplicated on your websitethat is, webpages with nearly or the same contentGoogle will only index one of them (which is canonical).

  • If your canonical URLs are set up correctly, Google will recognise your choice and that website as the official one. However, if you don't provide a canonical for identical or nearly identical pages, Google will determine a canonical based on its most accurate assessment.

  • You may not want Google to select that address as canonical. Therefore, you must manually establish a canonical URL if you intend to have the highest probability that it will be genuine.

Guidelines for Canonical URLs

Although canonicalization is complicated and sophisticated, most website proprietors must know a few best practices −

Utilising self-referencing canonical tags

A page's canonical tags that link to themselves are said to be self-referencing canonical tags.

Avoid using non-canonical URLs in your sitemap

Because Google considers non-canonical URLs as proposed canonicals, it advises against including them in your sitemap.

Canonical URLs shouldn't be configured to404 pages

When a website or source cannot be located, a 404 error code is provided by the browser. The most common reason is that the website has been removed or inactive.

Multiple Canonical Tags Are Not Acceptable

Multiple canonical tags on a single webpage are not an acceptable practice scenario, and Google is likely to disregard all the canonical tags and opt not to index the website.

Why Do I Have Duplicate Content?

There are numerous causes for duplicating material on a website, including −

  • Region-specific content, such as a piece of writing with separate URLs for the USA and the UK but fundamentally the exact text in the same language.

  • Variations for different types of devices, like a web page with mobile and desktop versions.

  • Protocol variations, such as a website's HTTP and HTTPS versions.

  • The outcomes of the sorting and filtering operations on a category page, for instance, are site functionalities.

  • Accidental variations include, for instance, the test version of the website being unintentionally left open to crawlers.

Implementing canonical tags: the fundamentals

Implementing canonicals is simple. There are five obvious principles that you must always follow −

First Rule: Only Use Absolute URLs

The framework that follows should be used: <link rel="canonical" href="https://tutorialspoint.com/example-page/" />

In contrast to this one: <link rel="canonical" href="/example-page/" />

Second Rule: Make URLs in lowercas

Before using lowercase URLs for the canonical tags, you must ensure that lowercase URLs have been configured on the server. Google can regard the lowercase and uppercase URLs as two distinct URLs.

Third Rule: Select the appropriate domain protocol (HTTP or HTTPS)

Ensure you don't include any HTTP URLs within your canonical tags when you've migrated from SSL to HTTP. Performing so could produce a confusing situation with unanticipated consequences. Use the URL in the following format if you're on a secure domain (HTTPS) −

<link rel="canonical" href="https://tutorialspoint.com/example-page/" />

Compared to:

<link rel="canonical" href="http://tutorialspoint.com/example-page/" />

The reverse scenario holds if you're utilising HTTP, in any case.

Fourth Rule: Canonical self-referential tags should be used

The developer must define self-referencing URLs when utilising a custom CMS (Content Management System). Still, the majority of current mainstream CMSs do this effectively and automatically.

Fifth Rule: Every web page should have a single canonical tag

If a webpage contains more than one, Google will not consider both canonical tags. When there are several rel=canonical declarations, Google will likely ignore all rel=canonical recommendations.

The Best Way To Use Canonical

Canonical URLs can be specified in five different methods. Canonicalization signals include the following −

  • (rel=canonical) HTML tag.

  • The header for the HTTP protocol.

  • Sitemap.

  • Redirecting to a 301 page.

  • Internal linking.

What Not To Do While Canonicalizing?

The concept of canonicalization is a little complicated. As a result, many people need to learn about canonicalization and the best way to do it.

Those who attempt to canonicalized frequently make the following errors −

  • The canonicalized URL is configured with "noindex".

  • Using robots.txt to prevent access to the canonicalized URL.

  • Canonicalizing each web page with a pagination to the primary web page.

  • Choosing the canonicalized URL's HTTP code status to 4XX.

  • adding several rel=canonical tags

  • utilising hreflang without canonical tags

  • rel=canonical tags in the <body> section of source code.

Conclusion

Canonical tags are relatively straightforward. Simply put, they take some time to understand. Do not forget that canonical tags serve as a hint to search enginecrawlers rather than a direction. So they might select an alternative canonical than the one you specify.

SEO - Role of UI/UX

Two critical factors in Search Engine Optimization (SEO) are User Experience (UX) and User Interface (UI). UI and UX since they determine how users engage with a website's interface or design, navigate through the website, usability, features, overall practicality, and user-friendliness, thus impacting search engine rankings. In this chapter, we will understand the importance of UI/UX in SEO, how they affect consumer engagement, and the best practices for UI/UX optimisation to advance SEO performance.

UI UX

Understanding UI / UX's Role in SEO

UX includes users' total experience and satisfaction when interacting with a website, whereas UI refers to a website's visual and interactive components. Both UI and UX aid SEO in the following ways −

  • User Engagement − Websites with a great user experience and an easy-to-use interface are likelier to engage and keep users. Engaged users browse a website for a more extended period, visit more pages, and are more likely to convert or take the desired action. These beneficial user engagement indicators may have an indirect effect on SEO rankings.

  • Low Bounce Rates − The number of users that abandon a website after viewing just one page, or bounce rate, can be decreased with good UI/UX design. Users are more likely to stay on a website longer when they can readily access the information they need and have a pleasant browsing experience. Lower bounce rates show search engines that a website is beneficial to users and relevant, thereby boosting SEO.

  • Mobile-friendliness − With the use of mobile devices growing, SEO needs to have a mobile-friendly UI/UX. Higher ranking in mobile search results are more likely for responsive websites offering a consistent user experience across various screen sizes and devices. The significance of UI/UX in SEO is shown by the fact that Google's algorithm now considers mobile-friendliness as a ranking criterion.

Component of SEO

UI/UX Optimization for Better SEO Performance

  • Flexible Design − Create an interface that is adaptable across multiple screen sizes and devices. This ensures that consumers have a seamless and enjoyable experience while visiting your website, irrespective of the device they use.

  • Intuitive Navigation − Design an intuitive navigation structure that will make it simple and quick for users to get the information they need. Navigation for users and search engines is made more accessible by clear menus, logical page hierarchy, and internal links.

  • Page Load Speed − To improve user experience and lower bounce rates, optimise the speed at which pages load on your website. Use caching techniques, reduce code, and compress pictures to enhance website performance. UX and SEO are both improved by quicker loading times.

Table 1: Components of UI/UX

Element Description SEO Impact
Responsive Design Design that adapts to different devices and screen sizes Improved mobile rankings, better user experience
Intuitive Navigation Clear and logical navigation structure for easy information retrieval Lower bounce rates, improved user engagement
Page Load Speed Optimal loading times for a fast and seamless user experience Lower bounce rates, improved user engagement
  • Engaging and Readable Content − Produce excellent, captivating, and readable content that satisfies the demands and standards of your intended audience. Make the information scannable and straightforward using headings, subheadings, bullet points, and pertinent graphics. Engaging content improves user experience, promotes social sharing, and may bring in natural backlinks, all of which help SEO.

  • Visual Appeal and Branding − Design a website with a strong visual presence and consistent branding to leave a good first impressionUtilise fitting hues, fonts, and images that complement your brand's identity. A visually beautiful website increases engagement, fosters trust, and improves user experience.

  • User-Friendly Forms and Calls to Action (CTAs) − Streamline forms and calls to action (CTAs) to make them more user-friendly and straightforward to complete. Limit the number of form fields and give detailed instructions. Effective CTAs promote conversions and direct visitors to desired actions, which enhances user engagement and SEO.

Combination UI UX

Advanced Techniques for UI/UX SEO Optimization

  • User Behaviour Analysis − To learn more about how visitors, use your website, use tools like heatmaps, session recordings, and user surveys. It is possible to find opportunities for improvement in design, navigation, and content placement by analysing user behaviour. Utilise these insights to improve the UI/UX of your website and make data-driven decisions.

  • A/B Testing − Perform A/B tests to contrast several iterations of your website's UI/UX components. Experiment with different designs, layouts, colour schemes, and calls to action to determine which versions increase user engagement metrics and conversions. You can iteratively improve using A/B testing and improve the UI/UX for enhanced SEO performance.

  • Accessibility Considerations − Considerations for Accessibility: To give people with disabilities a great user experience, make sure your website complies with accessibility guidelines. Include elements like keyboard navigation compatibility, appropriate heading layout, and alt text for images. In addition to enhancing UX, accessibility can boost SEO because search engines favour inclusive and user-friendly websites.

Table 2: Advanced UI/UX for SEO

Sr.No. Practice & Description
1

User Behaviour Analysis

Analyse user behaviour through tools like heatmaps, session recordings, and surveys to improve UI/UX.

2

A/B Testing

Conduct experiments to compare different UI/UX elements versions to determine the most effective design.

3

Accessibility Considerations

Ensure your website meets accessibility standards, making it user-friendly for individuals with disabilities.

4

Social Sharing Integration

Integrate social sharing buttons to encourage users to share content, increasing visibility and potential links.

5

Personalisation and Segmentation

Implement personalised experiences and target specific audience segments for enhanced UI/UX and engagement.

  • Social Sharing Integration − Integrate social sharing into your website's UI/UX by adding buttons and other elements. To enhance visibility, traffic, and possible backlinks, encourage readers to share your material on social media. SEO results are influenced by social signals like shares and engagement in a roundabout way.

  • Personalization and User Segmentation − Implement personalisation features based on user preferences, surfing history, or demographic information. Personalisation and User Segmentation. Individual user experience customisation can boost interaction, lengthen users' stay on the site, and boost conversion rates.

Conclusion

UI/UX optimisation for SEO demands more than just following basic guidelines; it also calls for sophisticated methods and a deeper comprehension of user behaviour. You may develop a seamless and engaging user experience that benefits users and search engine rankings by utilising user behaviour data, performing A/B testing, guaranteeing accessibility, integrating social sharing, and adopting personalisation and segmentation. If you want to stay ahead in the continually changing world of SEO, you must constantly analyse and improve your UI/UX based on user input and data-driven insights.

SEO - Keyword Gap Analysis

Introduction

A keyword gap analysis is an effective SEO tactic for finding keyword possibilities and gaining a competitive edge in search engine results pages (SERP). You can discover opportunities to optimize your website and draw in targeted organic traffic by looking at your competitors' keywords and analyzing the domain you are trying to rank for along with its available keywords. The idea of keyword gap analysis, its advantages, and how to carry out an efficient analysis utilizing various tools and approaches will all be covered in this chapter.

Understanding Keyword Gap Analysis

To find opportunities or gaps, you must compare the terms you now rank for with your competitors. It offers insights into content optimization and keyword targeting techniques and helps you identify the keywords you're overlooking. By fixing these gaps, you may boost your exposure, attract more relevant traffic, and enhance your overall SEO performance.

Gains from Keyword Gap Analysis

  • Discover Available Untapped Keywords − By figuring out which keywords your rivals are ranking for but you aren't, you might find worthwhile possibilities to increase the number of keywords in your keyword portfolio. Due to their low competition and substantial search volumes, these untapped keywords may be simpler to target and rank higher.

  • Gain A Competitive Edge − You can learn more about their SEO tactics by understanding your rivals' keywords. By using this information, you can target your keywords more precisely and optimise your content for search, giving yourself a competitive edge there. It takes time, but it is worth it to rank higher.

  • Improve Content Strategy − A keyword gap analysis can give you vital information to improve your content strategy. It assists in locating content gaps and makes suggestions for where to write fresh, keyword-focused material. You may boost interaction on your website and increase organic traffic by matching your content with pertinent keywords and avoiding overcrowding of keywords.

Overlapping

Making Use of Keyword Gap Analysis

  • Identify Competitors − First, look up the companies that compete with you for your target keywords in the search engine results page and rankings. Analyse the websites that provide comparable goods, services, or content to what your website does.

  • Research − Create lists of the keywords you presently rank for and collect keyword information from your competition websites. Extracting keyword information from rival websites can be aided by online tools like SEMrush, Ahrefs, Moz, etc.

  • Analyze Keyword Overlap − Compare your list of keywords with the lists of each of your competitors to find overlapping and distinct terms. Look for keywords that appear in your competitors' rankings but are not on your list. The keyword gaps you should pay attention to are those.

  • Analyze Competitor Strengths − Analyze your competitors' strengths by looking at their content and SEO tactics for the keywords you're not using. Discover what they are doing differently and possibilities to improve your on-page SEO, optimize your content, and increase the relevancy of your website for specific keywords.

  • Plan Content and Optimization Strategy − Plan your content strategy and optimization tactics based on the detected keyword gaps. To target specific keywords, either develop new relevant content or improve the existing pages. Ensure your approach focuses on offering valuable and accurate information and is in line with the intentions of your target audience. Remember to deliver what's needed by users.

Graphical Representation

Tools and Advanced Techniques for Keyword Gap Analysis

  • Analysis of Long-Tail Keywords − In addition to studying broad keywords, think about concentrating on long-tail keywords. These are lengthier, more precise search phrases with higher conversion potential and frequently less competition. Identify long-tail keywords your competitors are ranking for, but you must use tools like Google Keyword Planner, SEMrush, or Ahrefs.

  • Backlink Analysis − Include backlink analysis in your keyword gap research to get a complete picture of your competitors' SEO efforts. Examine the backlinks referring to your competitors' websites and look for opportunities to get equivalent high-quality backlinks for your own. Backlink analysis can be aided by tools such as Ahrefs or Moz.

  • Keyword Research Tools − Use keyword research tools to find new opportunities and validate your keyword gap analysis. Tools like Google Keyword Planner, SEMrush, Ahrefs, and Moz can provide significant insights regarding search volume, competition, and similar keywords and terms, allowing you to broaden your keyword targeting strategy.

  • Competitive Content Gap Analysis − Conduct a competitive content gap study to uncover topics, domains, themes or content areas that your competitors are addressing, but you are not. This goes beyond keyword gaps. You may get fresh ideas for producing meaningful and exciting content that connects with your target audience by using tools like BuzzSumo or SEMrush's Content Gap feature.

Conclusion

Advanced keyword gap analysis methodologies and technologies can provide deeper insights into your competitors' strategies while also assisting you in identifying new keyword prospects. You can improve your keyword targeting approach and obtain a competitive edge in search engine rankings by using long-tail keyword analysis, competitive content gap analysis, backlink analysis, and keyword research tools. Monitor and update your keyword gap analysis regularly to adapt to changes in the competitive landscape and stay ahead in the ever-changing world of SEO.

SEO - Get Quality Backlinks

You're only gaining recognition if your company is generating high-quality backlinks. It would be best if you gained notoriety to meet a requirement to appear higher on search engine result pages (SERPs). Google's search algorithm is well known for rewarding proximity, popularity, and relevancy. Your search positioning is impacted by three of the mentioned SEO factors. A company can attempt to increase its relevance and visibility even though it can only sometimes reduce the distance from the consumer.

SEO Pillars

Why Need Backlinks?

High-quality, ethical backlinks are essential for every business. White hat backlinks act as a website's endorsement and let Google know that your website is a reliable source. Your website will be viewed as being bigger and better the more referrals it receives. White hat backlinking is also done ethically rather than using spam techniques. Achieving quality backlinks, however, is more complicated than it seems.

You are in the correct place if you want to develop a white hat backlink plan. In the following paragraphs, we'll use tried-and-true techniques for building backlinks and enhancing your search engine optimization (SEO) efforts.

Adapt The Top Backlinks of Rivals

Imitating rival backlinks is one of the best strategies for discovering fresh link possibilities and boosting SEO. Choose the websites listed in the top five rankings for your primary keywords as your direct competitors to get started. If your competitors rank better than you, their link profile is more potent, and their backlinks are higher. It would be best to examine their backlinks after choosing which rivals to observe. Make an effort to figure out where each backlink from a competitor came from.

Backlinks

Examine The References of Rivals

It is insufficient to observe the backlinks of your competitors. You should also be aware of online mentions of their brand name. Using various online tools, you can understand where the keyword has been mentioned, a message board, a posting on a website, or a social media mention. You can set up a notification using a marketing tool with the phrase "digital marketing tool". You can respond whenever someone posts anything on social media or produces a blog post about digitalmarketing tools and ask them to consider it or include your software.

Utilize Infographics To Increase Backlinks

Infographics have gained popularity as a link-building tool over recent years. The need for infographics has increased dramatically. Consumers adore infographics, which are frequently published in reputable newspapers. In addition to being excellent for generating organic backlinks, infographics prove ideal for developing traffic through social media platforms.

Consult your marketers, contractors, and partnerships

Request permission to link to the website from an organization if you work with them or if your company is one of their favored marketers or business partners. A business you generally help will be more likely to backlink toyourbusiness because you have developed a professional connection with them and offer their company a quality service.

Moreover, many companies have established partnership pages where they can list the organizations they're partnered with. This should be a straightforward request if they aren't presently linked to your website, and it will give you a trustworthy white hat backlink in the shortest time possible.

Traffic

Create A Solid Internal Link Framework

Internal links significantly affect backlink management and improve your website's practicality. Even though they won't significantly improve your SEO, they might be a fantastic strategy to establish links utilizing your chosen anchor text. However, be mindful not to abuse this method; adding more than one hundred internal links to a webpage may render your website appear shady.

The Most Valuable Material Should Be Distributed Widely for Outreach

Even the most valuable articles won't receive backlinks if the general public knows it. Making every effort to locate people and other businesses interested in linking to and sharing your content on social media platforms would be best.

To locate consumers prepared to distribute your material, utilize influencer research tools. The more significant the number of blogs you interact with, the more likely people will share your material. Things will become much simpler once you establish excellent connections with influential bloggers in your industry.

Fixing Broken Link

The broken link construction strategy is a less well-known approach to backlink creation. This entails detecting 404 errors or other issues on a blogger's website and kindly informing them. They could appreciate your assistance by connecting to your website since you are doing them a favor. These hyperlinks are frequently discovered on reference pages, where web admins link to external websites.

Broken Links

Request Guest Blogging

Locating guest blogging prospects is one of the most accessible and successful techniques for creating white hat backlinks. By incorporating connections to your assets, research, and more when appropriate and pertinent, guest blogging enables your company to naturally increase the number of backlinks pointing to it.

Websites also like when guest bloggers post on their blogs since it gives them access to new topics for blog posts that they might not otherwise consider and allows them to easily add to their content roster without putting in much work.

Conclusion

You can enhance the number of backlinks to your website by implementing innovative techniques. The entire process could seem very time-consuming when you first begin, but it will ultimately prove rewarding. Spend less time and money on backlinks that can cause issues and buy high-quality backlinks instead.

SEO - Adding Schema Markup

There are numerous strategies available in SEO that may be used to improve and optimise your website. Try incorporating schema markup into your website if you're looking for a technique to raise its SERP ranking and SEO value. Though initially unsettling, Schema can significantly impact your website's performance if used appropriately.

What Is Schema Markup?

Schema markup is a type of on-page SEO technique that entails integrating structured data vocabulary into your website to give search engines a better understanding of the relationships and meaning behind certain entities that are stated there.

A search engine's algorithm aids in accurately identifying the material. The algorithm will understand the webpage data and the entities' connections. After giving the content a structure, Schema enters the picture.

Advantages of Adopting Schema Markup

Implementing Schema allows you to qualify for rich snippets, placing your page at the top of SERPs which can increase website traffic by drawing potential customers or providing brand recognition for product-based brands.

Rich snippets include results that appear above SERPs and provide users with more information than the URL or meta description.

The website's call to action (CTA) increases with the page's SERP ranking.

Different Varieties of Schema Code Languages

The three programminglanguages for inserting schema markup into web documents are "Json-LD", Microdata & RDFA.

JavaScript Object Notation for Linked Data (JSON-LD)

The most prevalent schema format for SEO is JSON-LD, which we will utilise in this article. This code is simpler to create because it may be inserted anywhere in the webpage's HTML body. Since JSON-LD is simple to read and add or remove, Google, which controls 92.24% of the market share for search engines, prefers it wherever possible.It's simple to set up and maintain, and it lets you add several schema types on just one page, which is excellent for helping search engines comprehend your site. Attributes in JSON-LD include @context and @type.

The JSON-LD Schema Code reads as follows −

JSON-LD

Microdata

Microdata marksHTML tags to make them more machine friendly and readable. They are easier to use but can get messy since they must be included with every HTML tag within the document's body. They have features such as itemscope, itemtype, and itemprop.

"Resource Description Framework in Attributes (RDFA)"

Microdata and RDFA need distinct HTML elements within the page's body, and their uses are comparable. Typeof, Property, About, and Datatype are several characteristics used in RDFA.

NOTE: there are different types of schema Markups

Schema Types

Stepsto AddSchema Markup On a Website for SEO

1. Construct the Schema code

Manually generate the Schema Markup code

The steps to add Schema Markup manually are as follows −

Step 1: Assess the types of schema markup required for your content and select the appropriate schema format or language among the three options listed above. In this piece, we will use Article andJSON-LD, respectively.

Step 2: Construct the code foryour schema. We will employ the code shown in Picture1.

Generate the Schema Markup code using a Schema Generator

Suppose all of the manually entered code for Schema Markup seems challenging or time-intensive. In that case, you can always use tools like Merkle's Schema Markup Generator or another comparable service to automate most of the process.

Step 1: Launch Your PreferredMarkupGenerator

In the next section, we will use the Merkle Schema Markup Generator.

Schema Markup

Step 2: Then, using the dropdown, choose the type of schema you wish to construct.

Desired Type

Step 3: The generator provides a simple form for assigning entries for every schema property. The schema code is modified automatically to include that attribute as you finish each section of the form.

Code Generated

2. Validate or Test Your SchemaMarkup

Running tests on your markup before committing it to production is excellent. To do so, use Google's" Structured Data Testing Tool" along with the "Rich Results Test Tool" or by entering your code snippet into validate in Schema.org to discover whether there are any problems or areas for improvement that are preventing you from reaping the full benefits of schema markup.

Schema.org Rich Results

Insert the Schema onto Your Page

There are three ways to incorporate the information you've marked up: directly within the HTML, utilising Google Tag Manager, and through a CMS and plugins. The way you should use it depends on the website and tagging system.

  • JSON-LD Schema is structured as a script placed in your HTML's <head> or <body>.

  • Making Use of Google Tag Manager − People used to believe that delivering schema markup using GTM wasn't a bright idea because Googlebot needed to execute JavaScript to use it. However, Google just introduced GTM execution as a formally supported solution.

    It's an excellent workaround for firms where the development staff takes an extended period to apply SEO modifications.

  • Making use ofCMS & plugins − It is a prevalent and user-friendly method of deploying schema markup. However, because of the variety of CMS and plugins available, it may also need clarification. Yoast and RankMath are two well-known WordPress plugins.

Note − Knowing where to put schema markup on your website is one of the most challenging aspects of adding schema markup. What makes it so tricky is that certain schema types, such as ratings, reviews, and FAQs, are for specific content areas and should therefore be placed into your page's <body> tags adjacent to the relevant tags.

Under the Enhancements Tab in Google Search Console, you can find identified markup types for FAQs, logos, product pages, and more. You can view the reported data by clicking on the feature and determining whether the markup is valid or if there are any warnings and problems.

Conclusion

You only have a few seconds to grab a user's attention when your company appears on SERPs, so you must use every edge you can get. Using schema markup in SEO campaigns enables search engines to display your company's most essential and exciting material, grabbing consumers' attention and encouraging them to visit your website. Schema markups must be crucial to your SEO strategy to outperform your search results competition.

SEO - Author Authority

SEO is a dynamic field where different tactics and fads come and go. There have been many discussions lately about "Author Authority," a concept quickly gaining momentum in organic digital marketing. Unlike typical SEO tactics, Author Authority focuses on the individual behind the material, making it a distinct and essential factor to consider. In this article, we'll look at the upsides of Author Authority, why it's necessary for your website, and how you can get it.

What Is Author Authority?

Author Authority is concerned with the knowledge and trustworthiness of the person producing and disseminating content online. It's a significant aspect that search engines like Google consider when ranking material.

Building Author Authority allows you to demonstrate your expertise in a specific sector while adding an individual flavour to your material, making it more understandable and valuable to your audience.

When readers learn that someone with experience and reputation authored an article, they're inclined to believe the information in the piece. The bottom line is that we prefer to gain expert insight on the most critical issues.

Organic Traffic

Author Authority Matters in SEO: Why?

That is an excellent question!

Establishing confidence and Credibility − When readers or prospects seek knowledge on a specific topic, they choose authoritative sources. You can build a solid personal brand connected with high-quality information by developing Author Authority. As a result, consumers are more likely to revisit your website in search of truthful and trustworthy information.

Enhancing Rankings and Exposure − As search engines continue to alter their algorithms to present readers with the most appropriate and trustworthy material, displaying your Author Authority becomes more critical. Signalling that this content is reputable and vital to search engines can result in higher ranks and visibility, rendering it an essential part of your SEO strategy.

Engaging audiences & boost Organic Visitors − By continually delivering unique material and interacting with your audience, you'll build an engaged audience inclined to share and promote your work, boosting organic traffic and backlinks and thus providing significant SEO benefits.

Establishing Author Authority: How?

A key component of improving the search engine optimisation of your website and acquiring a reputation in your field is establishing author authority. Here are some successful techniques for establishing author authority −

Craft a robust online presence: Establish Author Authority by creating a solid online identity. The ways are listed below −

  • Develop a professional website.

  • Keep active social media sites.

  • Update your LinkedIn page.

  • Publish a descriptive writer bio highlighting your skills and achievements on your site.

The key to establishing Author Authority is to prioritise "quality over quantity," which entails producing high-quality material that is relevant and instructive to your target audience.

Create detailed, well-researched publications that give your audience unique insights and valuable advice. This will aid in establishing yourself as an authoritative voice in your field.

Networking with other industry experts and thought leaders will help you enhance your authority and credibility. This involves −

  • Guest posting on credible blogs

  • Hosting and participating in podcasts

  • Collaborating with other professionals in your industry

  • Endorsing each other's content

  • Attending industry events to broaden your network, acquire a reputation, and stay updated on the latest trends.

Interacting with your audience is essential for developing Author Authority.

  • Respond to comments and queries on your website and social media platforms.

  • Join relevant forums and online communities.

Being approachable and helpful can build profound connections with your readers, increasing trust and loyalty.

Having your work published in recognised industry publications and blogs shall assist you in gaining a reputation and prominence in your niche or industry. This includes sending articles, blog entries, and additional content to respected publications and journals.

Author Authority

Alternative Strategies to Boost Author Authority

A personalised approach to content production by customising your material to meet your target audience's demands, interests, and discomforts. This indicates a thorough awareness of your target audience while offering them valuable, relevant content. This link can help you gain a devoted following and boost your Author Authority.

Maintaining integrity in your content production is essential for developing and sustaining Author Authority. Always provide credit where credit is due, precisely acknowledging your sources, and avoid utilising false material.

Consider using multimedia formats such as podcasts, videos, and webinars alongsidewritten content to illustrate your expertise. You can reach a larger audience and strengthen your authority as an expert in your domain by varying your content forms.

Study the top-performing material and authors in your niche to determine the variables that contributed to their success.

This allows you to identify places where you may differentiate yourself and provide distinct value to your audience.

Does Author Authority Affect Google Ranking?

While Google has never directly declared author authority as a ranking criterion, there is evidence that it can indirectly influence any website's ranking.

However, the significance of author identity has grown in recent years. Google emphasised the importance of the author of the main article in their recently revised Search Quality Rater Guidelines. Furthermore, this notion has remained a focus for marketers seeking to strengthen their E-A-T (Expertise, Authority, and Trust).

Despite author authority not being a factor in Google's ranking algorithm, it constitutes a technique for Google to determine quality content which is considered while ranking search results.

Google EAT

How Can Google Determine Author Authority?

Author authority can influence a website's ranking via social signals, which refer to comments, shares, and likes received on social media. When the material is frequently shared on social media, Google gets an indication that the item is essential and relevant.

Backlinks are links to your website from other websites. When trustworthy websites connect to your website, Google perceives your siteas a reliable source of information.

Google uses the writer's About orBio pages to determine author authority.

Monitoring and Evaluating Your Author Authority

Regular monitoring and assessing the impact of one's Author Authority is critical for continual improvement. Key Performance Indicators (KPIs) like search rankings, backlinks, social media engagement, and organic traffic can help you track your development. By carefully following these indicators, you may find areas for improvement while making sensible choices to boost your Author Authority.

Conclusion

The concept of author authority being a significant oneshouldn't be disregarded in your SEO approach. By establishing trust and reliability, you may develop a powerful personal brand that connects with your target audience, enhancing rankings and visibility. Remember that investing in your business is an investment in the success of your website, so begin cultivating your Author Authority.

SEO - Fix Broken Links

If you run a website, you ought to monitor broken links regularly. Visitors who encounter broken links may become frustrated and quit your site, which harms the SEO of your website. You can detect and repair these broken links on your own. This article will discuss broken links, their negative consequences, their causes, and how to detect and fix them.

Broken Links

Broken links include hyperlinks that are unavailable for various reasons. Web servers frequently produce an error message when a user attempts to visit a broken link. The primary cause is that the linked page no longer exists (404 error). Broken links are called "dead links" or "link rots." Broken hyperlinks may be either internal or outbound.

Why Are Internal Links Important?

Internal links are essential for SEO since they assist search engines in understanding the framework of your website. They also assist users in navigating your website and finding whatever data they are interested in.

Furthermore, Google has stated that internal links are a significant ranking element. As a result, if you disregard your website's internal links, you might lose crucial search engine traffic.

404 Error

Why Is It Necessary to Fix Broken Links?

Broken internal links may result in many detrimental effects on your website, that include −

  • Dissatisfied user: User satisfaction is a critical component that influences SEO. When an individual tap upon a broken link, heisdirected towards a 404 error page. This may drive people to leave your site and seek information elsewhere. This will undoubtedly harm your reputation.

  • Indexing Problems: You might forfeit valuable visitors when search engines cannot properly index your site since it has broken links.

  • Negative impacts on SEO: Internal links help search engines comprehend the framework of your website.

    Broken internal links might have a detrimental impact on your website's SEO. Broken outbound links may give Google adverse signals about your website's authority.

    However, while these will have little impact on your website's rankings or traffic, optimising is still worthwhile.

Causes of Broken Links

Broken internal links might appear on your website for a variety of reasons mentioned below −

If you've recently updated the URL of a page on the site, all internal links directing to the old URL will no longer work.

Assume you have a web page having the URL https://tutorialspoint.com/broken-links.

However, you changed the website's address to https://tutorialspoint.com/fix-broken-links.

Internal links referring to the old URL will be broken, given that they still point to the old address of the page.

Entering an incorrect URL by misspelling or mistyping the URL of the page and inserting additional spaces in the URL. Always verify your work while building links to ensure you utilise the correct URL.

A firewall or geographical restriction prevents outside access.

The external website is no longer accessible or unavailable.

Some sorts of content, such as PDFs, images, videos, and audio files, are frequently withdrawn or relocated to other website areas, resulting in a broken link. Verify your website's links to these to ensure they are still active.

Defect plugins and other page elements are other sources of broken links. These may include broken social media plugins, contact forms, and HTML, Javascript, or CSS files.

If the whole site is down, any links referring to it will be broken since users cannot visit it. This can result in a significant decrease in overall traffic. While this usually affects external links, it may affect internal links since their value will now be zero.

Degrade Consumer Experience

How to Detect Broken Links?

To repair broken links, you must first find them. There are various methods for locating broken links on your site.

Google Search Console

Using the Coverage Report, you can find any broken links that Google found while indexing your website on Google Search Console. Although this analysis only shows broken internal links, it must be your primary concern because internal links may prove more significant than external or outbound ones.

For the following errors, go to the "Excluded" section within the Coverage Report −

  • "Blocked due to unauthorised requests."

  • "Not found (404)."

  • "Soft 404."

  • "Blocked due to access is forbidden (403)."

  • "Blocked due to other 4xx issues."

Clicking on any of the above issues brings up an index of URLs recognised by Google. And once the user selects a URL and proceeds to "Inspect URL," they'll come across the critical "Referring Page," which will tell you where the broken link originated.

Using "Screaming Frog"

At first, when using "Screaming Frog", start a crawl of your website. After you've finished Screaming Frog, scroll down the right panel till you find "Response Codes". Within the section, the user must notice "Client Error (4xx)" as well as "Server Error (5xx)." These uncover broken internal and external hyperlinks on the site.

Clicking on them will display an index of broken links. Click on one of the URLs, then choose "Inlinks" from the menu. This should bring up all of the sites that have broken links.

Fixing Broken Internal Links

Finding brokenlinks is only half the battle; now, you must repair them! This is the time-consuming part.

  • Amend the link- If the URL has a typo or is going to the incorrect page, you can change it to point to the right one.

  • About 4xx internal links They require thorough assessment before taking any step. When an internal link returns a 4xx error status, one should investigate the reason behind the broken URL.

  • Find similar material on your website and redirect the broken page to a different relevant page.

  • If you have 5xx internal links, you should investigate what is causing these issues on the server or hosting provider. They could be a symptom of a deeper problem.

Broken Links Fixed

Fixing Broken External Links

An external link is a link that leads your site to yet another website. Many web admins believe broken external links are unimportant because they will not affect their bounce rate on page metrics. On the other hand, broken external links might cause problems to your website. Many broken external links can signal to Google that the website needs to be updated, which could hurt your rankings. It is relatively simple to repair brokenexternal links. You have two choices −

  • Contact the website that links to you and seek a fix.

  • If the URL source or website is unavailable, replace it with another source or eliminate it.

Conclusion

Detecting and fixing broken links on a site might be tedious because they may stack up with time. If the user encounters numerous broken links on your site, remember that they won't immediately affect your traffic or rankings. They are, nonetheless, necessary to repair. It makes no difference in SEO how little or large the possibility or area for optimisation is. Remember, every detail counts.

SEO - Internal Page Linking

Internal links are essential to an effective SEO strategy and apply to every website page. It enables consumers to browse your website's content. It also provides search engine crawlers with details on the website'sfunctionality. To optimise your material for SEO, you must first grasp how internal links function, where to position them, and why they are essential. This post will go over internal linking and best practices.

What is Internal Page linking?

Internal linking is the SEO practice of building hyperlinks from one page to another on your site, i.e., links from one page to another in a single domain. Internal links aid users and search engines by creating a hierarchy of significance for your pages, simplifying navigation, and providing information about your content.

Sample code −

<a ref="http://www.tutorialspoint.com/" title="Example Text">Example Reference Text</a>

Comparing Internal And External Links

The differences between internal and external linking are as follows −

Internal linking External linking
1. Internal links point to another webpage on the same website. 1. External links on a website's page lead to another website.
2. Internal links assist search engines in identifying the relationships between your website's pages. They also aid in the navigation of your website. 2. External links boost your site's link popularity. This is one of the elements used by search engine algorithms to rank websites.

Multiple Kinds Of Internal Links

You most certainly have a variety of internal links on your site at the moment. Understanding their peculiarities is critical since they play a vital role in the journey of your website visitors.

  • Navigation Links: Internal links in your main navigation menu are the most crucial on your website. These are permanent components of your website's header that communicate your website's hierarchy to users. They are most commonly organised around product categories, central services, or critical topic areas. Footer and sidebars are also included in navigation links.

  • In-text links: In-text links reside within the text of a website. In-text internal links refer to pertinent data the user may consult rather than signalling importance or navigation.

Internal Linking

Benefits of Internal Page Linking

Investing the effort to establish internal links to your website's pages has several advantages. Let's look at how they can assist you in boosting your SEO strategy.

User experience and navigation: Internal links to your website make it a better user environment.

  • It makes it easy for visitors to travel across your website and quickly locate what they are searching for, maintains a great user experience and enhances the user journey.

  • Users are less inclined to visit another site. That means more page views and longer page sessions. As long as your CTAs and conversion activities are optimised, a more extended stay on the page offers more opportunities for the visitor to convert.

  • A plethora of internal links to thorough, superior blog pieces can also help elevate your brand's industry knowledge in users' minds.

As a result, it sends a message to Google indicating that users are discovering the information they are looking for and that the material must be worthwhile.

Using internal page links tospeedup crawling & indexing: Internal links also help Google uncover additional web pages on your site. Google wishes to display just the best material in search results.

Internal links inform Google about what pages on the site you value the most.

Algorithms are more inclined to include them in Search Results when crawled and indexed by search engine crawlers.

Any web page on the site is supposed to be accessible from the homepage with just three clicks or fewer.

Distribute link equity between pages: PageRank is a Google proprietary metric that measures the recognition of a web page based on the total number of links referring to it.

Internal links also aid in the distribution of PageRank throughout our domains.

When a web page links to yet another, it passes on an amount of its PageRank, or link equity.

Google's ranking system incorporates PageRank, and the higher the PageRank, the greater the probability of positioning well in the SERPs.

Good Internal Linking

Best Internal Page Linking Practices

The following are the best internal linking tactics to maximise links' influence on your website's search engine performance.

Use Structural and contextual internal links: Both links are located within the textof content on a website.

  • Internal structural links strengthen the website architecture.

  • Contextual internal links can bemore effectiveon-site SEO since they assist search engine crawlers in determining the relevance and credibility of a web page in the context of a topic.

Set up significant and limited internal links: While there is no ideal amount of internal links you must use per page, remember that the greater the number of hyperlinks within the material, the lesser effect each one tends to have.

  • Looking at internal linksin each sentence from a user's standpoint is aesthetically perplexing and displeasing.

  • It could require the user hours to read one of your blog entries if they had to refer to the numerousinternal links you've included.

Prevent Using Common Internal Links: Internal links like "click here" or "read more" are best avoided because they don't give search engine crawlers or your readers any context about the article's subject.

Use keyword-rich anchor text: Choose three to four relevant keywords for a web page. These keywords should match the search phrases for optimising the intended page using on-page SEO.

Avoid using identical anchor text: When several web pages on a single domain include internal links using the exact keyphrase, search engine crawlers need clarification about which URL should be accurately crawled and ranked for that keyword phrase.

Using Dofollow links: Dofollow is a robot search directive that instructs Google crawlers to follow rather than disregard the links on the page. Internal links must be dofollow to pass on PageRank.

You might apply the nofollow tag on pages without ranking, such as "Thank you" or verification pages.

Link to recent posts in older posts: You should also include internal links in earlier posts to any new blogs you write. Google cannot find an article if there aren't any links directing to it, and this is a terrific strategy to increase the visibility of yourcontent.

Avoid creating links from images: Always aim to link from written information rather than images wherever possible. Compared to text links, a visual link won't offer sufficient context to Google or the user.

Poor Internal Linking

Conclusion

Lastly, your internal linking approach is vital for your SEO success. Therefore, you should pay attention to it. Internal, well-optimised links enhance your results and help you acquire more visitors from purchase-ready keywords. Similarly, they increase your website's engagement rates because consumers consider them valuable and continue to read your material.

SEO - Clean Up Toxic Links

Anyone who has used link building for SEO over the last several years will tell you that the biggest and most serious concern with the method is being penalised for publishing spammy links. The age of quantity-based link evaluation is over, thanks to updates to Google's core algorithm, notably Google SpamBrain. The search engine giant can now identify whether your connection was made "naturally" to add value to online users or "unnaturally" to improve your rank.

Toxic Links: What Are They?

Toxic links include links to your website that impact Google's overall assessment of your site, resulting in a drop in your general ranking. These links are defined uniquely in every SEO manual, and Google has no definition of a toxic link. Instead, Google uses "spammy links" or "manipulative links." Google will label links as spammy if it detects manipulative SEO practices such as replicating text and linking from similar articles on various sites.

Toxic Links

What Causes Toxic Links?

The various factors that can raise the toxic level of a link in the eyes of search engines include −

  • Mirrored webpages - If comparable web pages on several sites use an identical anchor text to link to you, search engines may interpret this as a link-building technique.

  • Poor domain trust grade - This relies on the number of links from trusted websites to the domain offering the backlink. A low rank indicates that the domain score of the site has been intentionally boosted. Backlinks from such sites often seem spammy.

  • If the observable text-to-HTML ratio is low, the page that links may appear low-quality.

Effect of ToxicLinks

Manipulative link-building strategies have been less popular since the Google Penguin algorithm upgrade. Additionally, Google hasincreased the number of people on its spam team who may actively penalisesites with harmful links. Also, algorithms have matured and become better at detecting spam.

Let's look at some examples of how poor link developmentpracticesmight harm your site −

Toxic links receive a penalty: Two things can primarily activate the Penguin algorithm −

  • keyword stuffing

  • linking schemes

When you are hit with this penalty, you can expect a dramatic and rapid drop in organic traffic and, in some instances, visibility. Penalties may be challenging to detect if only a few URLs are impacted at a time.

Toxic links are subject to manual intervention: Although physical acts are becoming less common, unicorns continue to exist in the linking cosmos, particularly if you're a repeat offender.

Google takes the necessary step against a website when a member of Google's webspam team examines the site's link profile and discovers many unnatural or toxic links.

An algorithm or a rival filing a spam report can also trigger a manual inspection.

Good Links

Why Is It Critical to Eliminate Toxic Links?

Toxic links lower the Page Rank of the websites to which they connect. Thus, website owners desire as few as feasible of them. If Google SpamBrain discovers that a site has many poisonous links, it will likely lower its Page Rank.

If Google discovers that a site has many toxic links, it will most likely remove the website from its database entirely.

Recognising Toxic Links

There are numerous methods for assessing whether your website has hazardous links. A few examples of these are listed below −

  • You are aware because you produced them: If you havegenerated the toxic links by suspiciousinternet activity such as link buying or content spamming, you are already aware of their existence.

  • An unexpected drop in traffic: Toxic links are most likely the source of a rapid decline in organic traffic.

  • Google sends you a warning notification: They could have been generated by a fraudster or a problematic website that was previously linked to you. If you are unaware of such toxic links, you might only be aware of them once you receive a Google warning message.

  • Using SEO site audit tools or Google Search Console: It's usually simpler to utilise an SEO website audit tool to discover toxic links. This is particularly true if you last searched for hazardous links long ago (or at all)for example, SEMrush.

  • Manually issued penalties will appear in Google Search Console within "Security and Manual Actions > Manual Actions."

Clear Toxic Links To Optimize Your Link Profile

There are numerous approaches to dealing with toxiclinks. They are listed as follows −

  • Remove any links that you are in charge ofif you discover that certain links you created in the past don't adhere to the new regulations.

  • If you are not in charge, Google recommends seeking link removal. You must contact the website admin or owner from any mentioned contact information and request them to delete a toxic link from their website. The chances of it happening are slim, but it never hurts to ask.

  • You may request a review if the link is legitimate and the penalty was manually activated. According to Search Engine Watch, among the 400,000 manual penalties applied, Google processes approximately 20,000 reconsideration requests per month. The average time to hear back is about 30 days.

Clean Toxic Links

Disavow Links: When And How?

If there is an excess of spammy links, you won't be able to remove them by asking respectfully via an outreach email. Because of forgotten passwords or dead sites, you might be unable to erase the links you generated. Or, If the backlink isn't vital to you and you want to avoid going through the manual outreach process, you may employ the Disavow Links tool.

Sometimes, it may be your sole option for resolving the toxic link issue.

Prepare a list of the links you want to disavow using the formatting instructions listed below −

# three pages to disavow

http://spam.abcwebsite.com/elements/mirrored-links.html

http://spam.abcwebsite.com/elements/paid-links.html

http://spam.abcwebsite.com/elements/comments.html

Proceed to run the Disavow tooland submit your file.

If you submit any requests without providing evidence that you attempted to eliminate them yourself, Google may levy a specific manual penalty against you.

Conclusion

Every SEO advice worth considering will caution you against techniques like buying links or creating spam sites. Google penalises spammy or manipulative links that are toxic or harmful. Ensuring your site's links are high-quality and satisfy Google's criteria and manually eliminating or disavowing links that harm your score are essential for website maintenance for SEO.

SEO - Earn Authority Backlinks

Getting backlinks is an essential aspect of off-site SEO. Link earning or link building is the process of gaining these links. Specific backlinks are more important by definition than others. Backlinks from trusted, well-known, high-authority websites are regarded as the most desired. In this piece, we will cover how to obtain high-quality backlinks.

Backlinks: What Are They?

A backlink is a hyperlink formed when a website links to another. You get a backlink whenever another website links to yours. A backlink is something you provide another website whenever you connect to it. Backlinks are also referred to as "incoming links" or "inbound links."

Site A

What Makes Backlinks Significant?

Backlinks are essential since they represent a "vote of trust" from one website to another. Links help with three key aspects.

  • Rankings − Search engines like Google regard backlinks as votes of confidence. Generally, the more votes your website obtains, the higher its chances of ranking for relevant keyword searches.

  • Visibility − By visiting previously visited pages again to look for fresh links, search engines find new content. Referrals or backlinks from popular pages could make it easier for search engines like Google to find your content faster because they revisit popular pages more frequently than unpopular pages.

  • Traffic from referrals − Backlinks exist to direct visitors to valuable sites. That's why they're clickable. Referral traffic occurs when an individual clicks on the link to your website.

What Constitutes An Effective Backlink?

Backlinks are not created equally. Here are just a few of the many factors that influence the quality and usability of a backlink.

  • Authority − Backlinks from authoritative web pages typically convey more "authority" than those from untrustworthy ones. Page-level authority is significant, and there is a definite link between it and the level of organic traffic. Also, internal backlinks can enhance the authority of a page.

  • Relevance − Relevant backlinks are more valuable to Google since users are more inclined to act on them. This is a subject they discuss in their patent for "reasonable surfer."

  • Placement − Because individuals tend to be more inclined to click prominently positioned links, certain links on websites are more likely to pass credibility than others.

  • Traffic − a slight but distinct correlation exists between ranks and backlinks from pages that receive organic search traffic. You will often receive more referral traffic from backlinks from high-traffic pages than those from low-traffic pages.

  • Utilising Followed Links − Giving gaining followed links top priority is recommended because link building requires time and effort. Just don't get too worked up if you receive a nofollow link. Even so, it might still be helpful for SEO.

Relevance

How To Acquire High-Authority Backlinks?

Google and other search engines emphasise the significance of high-quality backlinks. They not only improve SERP, but they also assist your website in gaining significant online traffic. To obtain high authority backlinks, carefully follow these six methods.

Creating Outstanding Manuals

Create a comprehensive guide on a specific topic. This will assist you not only in ranking higher in search results but also in gaining links from other sites. It will act as a link magnet. Even after several years of releasing the information, you will continue to receive links to it.

Before producing the finished guide, you should look for a topic that needs to be well-covered online. There may be numerous blogs about that issue, but a comprehensive guide blog needs to be about it. People will also select a website to obtain all the information on that specific issue.

Many authors will mention your guide blog on their websites, and you will effortlessly obtain backlinks.

Use broken links to your advantage

You can acquire backlinks from high-authority websites using this clever yet straightforward method. Here's what you should do −

  • Find related blogs or content in your niche with broken links.

  • Make new content on that subject.

  • Suggest linking to your fresh material by contacting the website's administrators or owners.

It's a win-win scenario for all parties. You assist the owner by repairing broken connections while gaining free referrals to your website. Concentrating your efforts upon sites with solid domain authority is enough.

Use visual assets andinfographics

In general, visual materials are more contrasted and appealing than textual words. Because the human brain analyses graphic information faster than words, charts and graphs are incredibly shareable. Sites, on the other hand, will usually link to something other than your infographics. Here are some essential tips to help you link your visual assets −

  • Make sure your graphics are accompanied by appropriate content. Remember that Google ranks words rather than visuals.

  • For others to readily link to your assets, build embedded code for them.

  • Use a mouse-over sharing tool to simplify sharing so users can quickly add your infographic or other visual content to their website.

If you can design something intriguing and informative enough, you should be able to obtain backlinks with excellent authority for your website. Take the time to market your infographics to publications that need more information on their website.

Prominence

Up the ranks by guest blogging

Guest articles and blogs on industry-leading websites are excellent ways to raise brand recognition. This does not necessarily result in direct backlinks. However, it might increase visitors and social media involvement on your website. Backlinks will result from this increase in traffic and popularity.

Identifying authoritative websites that appreciate guest posts is simple if you Google "write for us" combined with a relevant keyword. Just keep in mind that these should be credible websites with sizable audiences.

Utilise Influencers

No matter how successful you become, it is extremely likely that you will only be one of the authorities in your industry. Building relationships with famous and notable influencers and other industry experts and collaborating with them will improve your author authority and increase backlinks to your site.

Make a concise, clear, and convincing case for why they should backlink to your website. The more individuals who talk about your website, the better your chances of obtaining high-authority backlinks.

Engage in self-endorsement

While it's nice to think that the material and quality of your website will draw organic attention, you'll probably need to engage in some self-promotion to stand out in a crowded field.

Contact prominent websites and news agencies, preferably ones that give regular industry news roundups. Contact these publications and explain how and why your piece is relevant to their readers' interests.

We understand that completing these tasks at once might be extremely overwhelming. Before going on to the next, we advise you to choose one and begin making steady progress towards it.

Conclusion

Search engine rankings, such as those in Google, depend on backlinks. All backlinks, however, are not made equal. Placements, relevance, traffic and other attributes all contribute to the quality and usability of a link.

As a general rule of thumb, the simpler it is to obtain a link, the less valuable it is. You should expect favourable outcomes from links with great authority that bring you to the top of search results.

SEO - Core Web Vitals

While we concentrate much on keyword optimization, mobile experience, and hyperlinks, Google prioritizes on-page experience. As a result, they've released a new collection of signals known as Core Web Vitals. These signals will consider the page's loading pace, responsiveness, and overall website appearance. In this post, we'll have a detailed discussion about Core Web Vitals.

Core Web Vitals: What Are They?

A set of predefined metrics from Google called Core Web Vitals aids developers in understanding how people interact with a website. Core Web Vitals have been created for developers, but since they analyze the user's experience on a page, any site owner can use them.

Google claims that optimizing Core Web Vitals helps websites adapt to mobile user expectations and makes the web more enjoyable for consumers across all browsers and surfaces.

Core Web Vitals create a statistic for three significant aspects of user experience, which are as follows −

  • Performance of page loading

  • Interaction simplicity

  • A user's perception of a page's visual stability

Web Vitals

Importance of Core Web Vitals

Core Web Vitals are crucial for SEO since they show how users interact with your site.

If visitors have a positive experience on your website, they are likelier to return and suggest your website to their fellow contacts.

Similarly, if the website is sluggish and full of pop-ups, people will not return. To rank in search engines and get repeat traffic and loyal visitors, you must provide an easy user experience.

Google already has around 200 ranking variables; however, Core Web Vitals will undoubtedly be among the most important. As a result, Google likes sites that provide a positive user experience, and Core Web Vitals measures the impact on your site.

Pop-ups

Main Metrics in Core Web Vitals

Let's start with all three primary metrics that make up Core Web Vitals that will help you optimize your websites immediately!

"Largest Contentful Paint (LCP)"

A Core Web Vitals metric website managers can use to gauge loading speed is the Largest Contentful Paint (LCP). It calculates the time needed to render the most significant content element shown on the user's screen.

Site owners need their sites to load quickly to provide a satisfying user experience. Loading time is vital for a great user experience; a website that loads promptly is likelier to rank better in Google. Furthermore, quick load times have been demonstrated to affect engagement compared to a page with poor loading times.

What can LCP assess?

LCP examines the followingpage elements −

  • Images or <img> elements

  • H1 or <h1> tag

  • Text blocks

  • Video poster pictures

  • The URL() function loads background pictures.

Boundaries to Measure LCP

The ideal LCP score for all URLs is 2.5 seconds or less. Google classifies the URLs into these three groups, making it simple to identify which pages want improvement.

LCP

First Input Delay (FID)

First, Input Delay monitors input latency or a website element's time to react to a user's input.

Modern websites employ various cutting-edge technologies and interactive widgets to provide engaging substance to their viewers. While this material can increase content delivery, it can also generate delays for the browser to respond to their input.

To boost engagement and efficiency across the site, developers must reduce how long users wait for their browsers to react to their input.

What can FID assess?

FID checks the amount of time it takes for an internet page to reply to an individual's input for tasks such as −

  • Tapping a hyperlink or button

  • Filling in a blank field with text

  • Using a drop-down menu

  • Enabling a checkbox

Boundaries to Measure FID

Google rates the FID using the following metrics −

FID

Delays may be aggravating for any online customer. As a result, the website must be responsive to boost interactivity and functionality.

"Cumulative Layout Shift (CLS)"

CLS is a statistic that gauges a page's "visual stability". It aids in identifying links or icons that move after loading the page. It also indicates the difficulty levels that users will encounter when interacting with your site.

For example, you'll get irritated if a webpage's components change while reading or engaging. CLS may help avoid this by alerting you if pictures or links on a website move after loading. This reduces bounce rates while also improving user experience.

How does Google calculate your CLS score?

To determine your CLS score, Google multiplies the impact fraction (the percent of the view that shifted) with the distance fraction (how far the items moved during that shift).

What can CLS assess?

CLS examines fundamental parameters to establish the visual stability of a website from the perspective of the viewer, taking various criteria into account −

  • Layout modification

  • Impact percentage

  • fraction of a distance

Boundaries to Measure CLS

Google adds up the score of all layout changes, which produces the following rankings −

CLS

Boost Core Web Vitals

1. LCP

Here are a few strategies to boost your LCP score −

  • Remove any third-party scripts that aren't essential. If you no longer need a script, delete the code. If you don't require a script, eradicate it from your website.

  • Minify: Your LCP score may decrease if your JavaScript and CSS files are overly big. The online Minifier tool allows you to minify the source code at no cost.

  • Choose a speedier web host. Certain web hosting services are highly sluggish. If you're facing general speed issues that aren't your fault, choose a dedicated server that offers faster speeds.

  • You should also optimize the photos on your website. Ensure that the images load quickly on desktops as well as mobile phones.

2. FID

Here are a few strategies to boost your FID score −

  • Your content should be cached. When you serve cached material to consumers, your website, including JavaScript, will load quicker.

  • Using heavy scripts such as heatmaps and various Google Analytics tools can significantly slow down the interaction of users. Reduce the amount of surveillance and tracking scripts you utilize.

  • Streamline Your JavaScript Program since JavaScript jobs might clog the browser's main thread for a lengthy period.

  • Reducing the number of requests also increases FID. Rendering a page may necessitate hundreds of queries from the browser.

3. CLS

Here are a few strategies to boost your CLS score −

  • Ad removal may enhance CLS. If you must add advertisements on the website, use CSS to allocate space or prevent placing them over the primary content.

  • Always specify the size properties when adding photos or videos to a page. If the element's size is uncertain, the information that shows after it may shift while the picture or video loads.

  • Limit your elements. Every piece on a website should have its location.

Conclusion

In summary, Core Web Vitals are the metrics that Google uses to assess a particular URL's speed. Its fundamental parts are LCP, FID, and CLS, which measure various elements of user experience. You should continually seek to enhance your user experience scores because they are vital in driving sales and conversions.

SEO - Update Old Content

Contrary to what most teams believe, you may get better results by taking care of the material previously posted on your site. You most likely have a backlog of old material on your website, pieces that have not been touched in the several years since they were published.

While you must check in with them regularly, your target consumers (and Google) are likely. It might jeopardise your content marketing plans if they aren't up to date.

Content Refresh: What Is It?

A content refresh is an upgrade to your current material that answers search intent with enhanced data, expertise, quotations, and examples and demonstrates to search engines that you are still a reliable source for the searched query.

Updating Old Content

Why Should Old Blog Posts Be Updated?

Before we begin, let's lay the groundwork and consider why you should upgrade existing blog entries (rather than simply pushing "publish" on new content each week.)

Updating outdated information helps in three ways −

Boosts your SEO strategy − Search engines are meant to locate the most accurate and helpful material for consumers. Relevant, new information is prioritised, while older stuff gradually drops in the rankings. This might hamper your content value and SEO efforts over time.

By going in and upgrading old information, you show search engines that what you publish is current, accurate, and relevant.

Save time while getting results: Redoing an existing article takes far less time than writing a new one.

This does not imply that you should stop creating content entirely, but allocating time to both practices can produce outcomes with much less effort.

Earn more backlinks: Updating outdated material allows you to gain more backlinks from reputable domains.

Enhance audience interests: Consider yourself as a member of your intended audience. Do you enjoy reading obsolete and stale content? No, is the apparent response here. If a reader comes upon one of your earlier works, you want them to stay and read it. Fresh material with recent information can keep visitors interested, increase organic traffic, and decrease bounce rates.

Important Outcomes

Finding or Choosing Which Content to Update

Now that we've established why upgrading old material should be a top priority for your website, let's get to the challenging part: choosing which blog entries to update.

Keep an eye out for the following while looking for sites to update −

Previously high-ranking pages that have slipped in rankings

Content decay occurs when a blog post loses ranks for a specific keyword and traffic declines. This material often performed well at first, but growth began to slow and finally stall when search engines realised it wasn't serving the topic as effectively as it used to, or competitors produced better or more recent information on the same issue.

You may uncover these possibilities by comparing Google Analytics reports for Behaviour > Site Content > All Pages.

Certain pages for which high expectations never materialised

When you discover an article with a solid plan and adequate execution does not rank, you should investigate why.

This material is ideal for revision since you can figure out what went wrong (or hasn't been optimised), repair it, and expand your knowledge of best practices.

Pages that include seasonal content

Most excellent content marketing programs will include a variety of material forms that are relevant on a seasonal, yearly, or other repeating cycle.

Such material should be evaluated regularly and revised a few months before it becomes relevant.

Refreshing, updating, and pushing such information is frequently the only way to keep rankings consistent yearly.

Best Practices to Update Old Content

Updating your content may involve something other than sifting through your material to identify what can be modified or building a new page from scratch.

To improve the quality of your content, here are five approaches you may look for −

Search for newer content on the same topic

A short research on the subject should reveal whether updated data is accessible. If there is, update the facts and numbers in your writing and the resources you link to reflect the latest research.

  • Remove unnecessary information and replace it with helpful tips.

  • Even popular information is subject to change. For example, knowledge about a country's president might instantly outdated your article, even if it ranked wellat the time of publishing.

Undertake keyword research

Once you've decided on the keywords you want your content to rank, you may assess your page's header, description tag, and subheadings. These parts should represent searcher language by employing exact matches, close matches, or by addressing a question the searcher has posed.

Include Appropriate Multimedia

Visuals provide dimension to your material and break up words making it more readable; they may even communicate information more effectively in some cases. Consequently, adding graphics to a page is a simple and uncomplicated way to improve the user experience. The idea is to include relevant, valuable multimedia.

Check the internal and external links

Check each link in your post to ensure they all redirect to a functional website. If not, it's time to find new pages to replace it. Also, seek fresh possibilities to build internal links. Your older pieces have space for connections to your fresh content. Including references to other relevant sites on your website can assist in routing traffic to those pages and keep visitors on your site.

Avoid altering the URL

If your old blog article contains inbound links, whether via guest posting, organic links, or another source, changing the URL will make them ineffective. When an individual clicks upon the link to that specific post, they won't see your recently updated content. You want to maintain the SEO benefit of any existing connections to the page.

Best Strategies

Alternative Ways to Update Old Content

Additional techniques for updating any piece of obsolete material on your website include.

  • Modify the formatting or layout.

  • Respond to "people also ask" questions.

  • Alter the alt text on your photos.

  • Include expert quotes

  • Remove any brand-specific references.

How Frequently Should One Update OldPosts?

Astudy discovered that mostposts go through three distinct life stages, which include −

  • Shout Phase − The post receives an exponential spike in impressions (about 50%) within the first 7-10 days.

  • Echo phase − The post receives 72% of its visits during the echo period, which usually lasts roughly 30 days following the shout phase.

  • Reverberate − This website post tracks the other 28% of its visits over a 30-700-day period.

With this in mind, upgrading your previous blog content provides several chances, such as increasing clicks, impressions, and conversions.

Conclusion

New only sometimes means better. If you desperately need a boost, put some time into upgrading outdated material, whether you're aiming for general SEO or local SEO. When done effectively, a content refresh may help you achieve substantial traffic results, keep your audience interested, and demonstrate to engines that your article deserves the top place on the SERPs.

SEO - Fill Content Gaps

Gaps are unavoidable, especially when it involves content production. Even if you are the finest writer in the world, the world will continue to evolve. Customer preferences and keywords change over time. If your goal is to stay above the competition, you must identify and fill any content gaps. We'll talk about content gaps in this post.

What Are Content Gaps?

Content gaps are locations where the content is not fulfilling your consumers' expectations, so they are actively browsing the web to fill such gaps. These sections must provide acceptable answers to searchers' inquiries, provide obsolete information, or correctly display the material.

Addressing content gaps requires continuous effort as search patterns and client demands evolve. Regularly analysing and modifying your content strategy will help you remain ahead of the competition and guarantee that your content is fulfilling the changing needs of your clients.

Content Gap

Content Gap Analysis

A content gap analysis is the procedure of identifying gaps in your current material.

It entails detecting gaps in information that might and should correspond to every phase of the prospective buyer's journey.

Importance of Identifying Content Gaps

An effective content marketing plan requires the identification of content gaps. Here's why −

  • Generates opportunity: If your rival hasn't touched on specific themes or keywords, it's a chance for you to stand out. You can generate material on that subject before anybody else, allowing you to gain significant traffic.

  • Better performance: By bridging content gaps, you can increase the overall performance of your content by attracting more visitors and leads.

  • It is a fantastic method for improving your site's search engine performance, SEO, and ranking on SERPs.

  • Analysis of content gaps decreases bounce rates and boosts on-site time, improving your conversion rate and increasing sales.

  • Development of authority: If you are the sole source of credibility ranking in content gap regions, establish yourself as an authority. People will trust your company and information since you are the best authority.

Recognizing Content Gaps

Now that you understand the value of identifying content gaps, you're ready to begin your content gap analysisfor SEO. Here are three methods for identifying content gaps −

Conducting competitor keyword research

It is the most straightforward technique to uncover content gaps. To determine the correct content, you may utilize a tool such SEMrush or Ahrefs.

  • Copy a webpage from your competitor's website and paste it into the tool to check the keywords they compete for.

  • You may then use Google to search for those keywords and see the results.

If few trusted websites are ranking for these key phrases in the search results, you have an ideal chance to be the one who does.

Examine Your Customer Journey

Dig deeper into your client's journey to determine what your intended audiences require at every step of the purchasing process.

Only some consumers that view your website intend to buy. Some are just interested, whereas others compare your offerings to your competitors.

You should generate content for these stages for the most outstanding outcomes.

You require posts that inform people about your company's services. Posts that give essential industry insights, address consumer pain areas, and solve problems are also needed.

Using Google Search Console

  • Sign in to Search Console, then navigate to the "Search Results" section on the left side of the screen.

  • next to "Search type" and "Date range", click "+ New."

  • When the box appears, select "Page." Enter the URLs of your best-performing pages one by one.

When the results appear, check which keywords you are ranking for on that page.

Once you've identified the keywords you're ranking for that aren't included on the page, either produce new content or add a section to an existing one.

Finding Content

Ways to Fill Content Gaps

Pick content gaps that are relevant to your company

When you uncover content gaps, prioritize those relevant to your business. Your material should always be appropriate for your organization and sector.

Don't take delight in a gap simply because it exists. If the issue does not apply to your company or is irrelevant to your sector, you should avoid it.

Addressing keyword content gaps

Once you've identified more robust keywords for the posts, you may fill content gaps in various ways.

Incorporate these new keywords in future material. Don't just scatter them about. Instead, naturally include keywords in ways that improve the standard of your material.

Replace missing keywords in outdated material. Retaining excellent material for your audience sometimes requires revising phrases and even entire sections.

As a precaution, you may change your current keyword optimization approach. Make it a habit to look for keyword content gaps in your written pieces to stay at the top of search results in your sector.

Useful purchase articles

Once you've planned your client journey, you'll have a more precise notion of which phases of the purchase journey are required to add to your current material.

Make helpful instructional and informative industry articles. Write about your products and services. Compare what you've got to offer to the competitors.

Competitor analysis

Visit each competitor's page and make a note of the things that your website lacks. It would help if you explored new views they still need to address.

Finally, discuss with your team how to develop an alternative or better blog on the same topic.

While rivals may be a source of inspiration for innovative ideas, avoid completely replicating what they do.

Broaden your content type

You may appeal to a broader audience and separate yourself from your competition by varying your content type.

Routine check for content gaps

Current information can be found in search results. However, the data could differ in six months, and all those sites must be updated. You must constantly analyse material and identify content holes as they appear.

Furthermore, you may uncover additional gaps you were unaware of earlier. You could discover a new issue or viewpoint you were unaware of a year ago. Continuous content gap evaluations will assist you in evolving your content strategy over time.

Fill Content Gaps

Conclusion

One of your key objectives should be to guarantee that your target audience can obtain the information they require at each point of their customer journey. Identifying and fixing any potential content gaps is part of reaching this aim.

You must also ensure that the information you create to fill them is of high quality and value to your target audience. However, if you identify and supply the appropriate content gaps, you'll be well on your way to meeting your content marketing objectives.

SEO - Link Building

Links measure the value of a website. Google gives high rankings to "secure, authoritative" pagesthose having plenty of these. Websites with zero linksare going to dissolve into nothingness. Link building can effectively increase organic traffic when combined with quality on-site SEO, great content, specific technical search engine optimization (SEO) foundations, and a friendly user interface.

Link Building: What Is It?

Obtaining links referring to your site from different websites is known as link building. A hyperlink, often a link, allows visitors to navigate between websites. Search engines employ links to crawl the web. They crawl links on your website as well as links between various websites.

Link building is employed since it indicates to search engines that your website is a relevant resource and deserves reference. Hence, sites that have multiple backlinks tend to rank higher.

Structure of A Link

To comprehend the significance of linking, it is necessary to begin with the fundamentals of link creation.

Key Elements

Significance of Link Building

Google favors websites that have the following features −

  • A consistent website architecture with internal links generates solid and meaningful relationships between sites on the same domain.

  • Backlinks from authentic, trustworthy, and high-quality sites.

Here are a few specific examples of the factors that make link development so crucial −

  • Links establish your authority − Links boost your site's reputation by acting as an external signal of your domain's authority. Google seeks to give the most relevant results to consumers. The more high-quality links that point to your website, the more trustworthy it is.

    Five good connections are typically worth more than fifty bad ones, so strive to link exclusively from credible sites.

  • Internal links and backlinks increase traffic − Creating links is one of the most effective strategies for getting relevant viewers from industry-reliable websites. You may raise traffic from other websites by focusing on themes and audiences that are important to you, and web traffic is an accurate measure of the functioning of your website. Internal links can assist you in bringing more organic traffic to your website's other pages.

  • Based on links, Google ranks websites − More than half of Google's ranking factor is lost without link development. Even if your site has excellent information, Google will only rank it well if links connect.

    Engage in actions that respect Google's algorithms, such as attempts to generate value and authority. Share your unique and distinctive stuff. Creating more trustworthy, engaging, and relevant connections boost your results.

  • Link development improves SEO ranks and site analytics − You may improve indicators like Domain Authority (DA), Page Rank (PR), and others and the overall health of your website by establishing backlinks. Visibility and exposure are going to improve significantly.

Building Links: How?

Link Building

Generally,link-building methods and techniques fall into any of the four categories −

Adding backlinks

Going to a site that does not belong to you and placing your link there is referred to as "adding" a link. It is relatively simple, and because of this, such connections have little significance in the eyes of Google. Nothing prevents your rivals from doing the same.

However, it would be best if you did not dismiss this category of link development strategies altogether. Each of these might be advantageous to your internet business.

Requesting links

This happens when you contact the website proprietor you want to be linked to and convince them to link to you.

Following are three of the link-building approaches and strategies that fit into this group −

  • Link exchanges entail offering to link back to them for them to link to you.

  • Create helpful material for their website by guest blogging.

  • Broken link creation - Assist them with replacing a "dead" link on their page.

Purchasing links

We don't promote buying links. Search Engines attempt to minimize the impact of purchased links when ranking organic search results.

If you have yet to experience it, you'll blow plenty of cash on useless links that will hurt your rankings. Or even have your website penalized.

Winning links

You "earn" links when others link to your website's pages without your asking them to. This certainly will only occur if there's something truly exceptional that other web admins will want to highlight on their sites.

People, however, cannot connect with things they are unaware of. So, regardless of how fantastic your page is, you'll have to invest in advertising it.

Qualities of A Strong Link

Search engines analyse multiple properties of a link when assessing links. They are as follows −

  • Relevance − If other significant sites on the topic link to that page, it indicates that the content is relevant and high-quality.

  • Anchor text − The terms in the link text help Google determine what the referred website covers and the keywords it should rank for.

  • Location − Another factor that might influence a link's CTR is its position on the page. Links in the content will receive more clicks since the content block gets the most significant attention from visitors.

    Have a balanced blend of follow and nofollow links.

  • Authority − Attempt to obtain links from reliable sources rather than poor-quality ones.

Quality Links

Effective Link-Building Tactics

Make High-Quality Websites

Createhigh-quality, appropriate blogs that will appeal to your target audience. Once you've determined whom to target with your content, you can begin connecting with websites in that niche that are more likely to hear your link-building appeals. As a consequence, you'll both gain from more traffic.

Restore Top Articles

If you notice that a few reliable industry websites have all been linked to an outdated popular resource, update it and notify those industry websites - you could earn an excellent link.

Consider Guest Posting

Pitch and create an excellent guest blog, including links to your sites, and voil! Once the content is on the web, you've raised the number of referring domains, which should have a cascade impact.

Produce Infographics

Publications like linking to reputable, visually appealing content that presents facts and statistics. Create infographics if you have information that can be readily recycled or thoughts for other highly shareable items in the same vein.

Promote Your Content

You may immediately attract many visitors to your content by advertising on social media platforms. Alternatively, you might pay influential people and content providers in your field to recommend your content to their audiences.

Be Noteworthy

Getting the interest of the press, authors, and media outlets is a tried-and-true method of gaining links.

Link Profile Management

Maintain a healthy link profile by scanning for broken links and removing no longer-needed links.

Competitor Research

One of the most critical operations in link development is competitor link and keyword analysis. Investigate how those connections were obtained and employ the same strategies to get additional links.

Conclusion

The ideal scenario is to create links with high-quality websites that fall inside your category or specialty since this produces superior outcomes. Organic traffic will arrive if you develop valuable connections. Use essential strategies to improve it, and you'll be successful on your way to obtaining excellent links in no time.

SEO - Featured Snippets

Featured Snippets: What Are They?

A unique search result called a "featured snippet" appears at the peak of Google's results page and provides a brief response to the search query. Google collects this data from it to boost one of the webpages with the highest rankings to the top spot of the organic search outcomes.

It offers consumers immediate information that appears above the primary outcome for their search, often known as "Position #0."

It is intended to be a brief, immediate response to the user's inquiry. Google does not produce content specifically for featured snippets. Instead, it uses one of the websites in its index to obtain the information directly from consumers.

Snippet

Which Featured Snippet Categories Exist?

Google displays one of five different sorts of featured snippets based on the purpose of the search −

Paragraph

Featured Snippet

Listwith numbering

Numbered List

Bulleted list

Bulleted List

Table

Table

YouTube Videos

YouTube

Dictionary

Dictionary

Note − There are some additional "snippet-like" results, which are also crucial to remember. To prevent misunderstandings, you must be aware of these −

Entity Carousel

Carousel

Knowledge Card

Knowledge Card

Knowledge Panel

Knowledge Panel

Blocking Snippets

  • Add the "nosnippet" constraint to the webpage to prevent featured or standard snippets from showing on that page.

  • Neither featured snippets nor standard snippets will include content with the "data-nosnippet" HTML property applied to it.

  • If a web page contains the "nosnippet" and "data-nosnippet" rules, the "nosnippet" constraint will take precedence to turn off the display of snippets for that page.

Featured Snippets: Why Are They Essential?

The snippet box simplifies the task of a Googleuser by offering a brief and to-the-point response to their question. Consumers are supposed to be able to quickly and easily find a simple answer to their query by skimming the snippet rather than browsing numerous SERPs pages.

The following are some advantages featured snippets may offer for your website −

Gaining trustworthiness

Featured snippets position your organization as a specialist on a given subject. Consumers are far more inclined to view you as an authoritative figure in your sector due to them.

Boosts click-through rate (CTR)

Even if the sample provides customers with a straightforward response to their search, they could get more comprehensive information. Customers will quickly discover what they've been searching for by accessing the highlighted link to your website.

Demonstrates that your content is efficient, helpful, and appropriately organized

You can assess your content with featured snippets. It's an excellent signal that consumers value the information on your website if Google selects it to be included in a snippet.

Assists in reducing visitors who aren't interested in purchasing

Since visitors generally discover what they're searching for, featured snippets boost "no-click searching". This indicates a higher probability that a person will click on your link if they intend to buy something.

Enables you to take advantage of voice technology

Featured snippets are frequently used by artificial intelligence voiceassistants like Alexa, Siri, Google Assistant, and Microsoft Cortana to respond to the voice searches of their consumers. Approximately fifty percent of internet consumers regularly conduct voice searches on laptops and smartphones.

Getting to the best organic position quickly

You can "win" that snippet and accelerate your journey to the best rank if your website appears on the first SERP for the search term that displays a highlighted snippet. Your works are more likely to receive a featured snippet the higher it ranks. A more achievable objective than ranking #1 for a term is making it to the top SERP. However, the most prominent spot is more approachable if the search term results in a featured snippet.

Ways to Optimize to be Featured in Snippets

Initially, conduct some fundamental keyword analysis

According to numerous research, long-tail keywords most frequently cause featured snippets to appear. There is a more significant likelihood that a featured snippet will appear when more phrases are entered into the search box. Researching your keywords is a fantastic place to begin at any time.

Don't merely ask inquiries; aim to provide answers

Although featured snippets are intended to provide quick responses to the consumer's query, different kinds of inquiries can also cause these featured results to appear. Find additional questions by searching Google. Make sure to investigate common specialty queries to delve deeper into the subject.

Find the search terms where you already have a high ranking

You must figure out which keywords you currently rank strongly for. Once you optimize snippets, obtaining featured answers will be the most straightforward. Google Search Console displays the search terms that lead to traffic and engagement.

Optimize On-Page SEO

There isn't a secret tool or specific HTML guaranteeing your website is listed. Becoming highlighted can only happen if you do well in the search. It makes sense to begin with general SEO best practices.

Ensure accuracy and proper organization

Statistics, steps, and listings are favorites of Google. Snippets frequently include information such as the raw materials, the number of steps, the number of processes, the duration, any specific time, the date and location of searched term, etc.

Time in Featured Snippet

To thoroughly understand the kind of summaries and responses Google seeks to produce snippets, consult the company's guide to creating meta descriptions. In-depth, accurate information based on numbers is a favorite of Google.

To arrange your material, no particular markup is required. It will be simpler for Google and your viewers to grasp the information if you use H2 and H3 subheadings.

Ensure that a single content addresses several relevant issues

You need to be able to determine synonymic and queries that have a close connection to each other just as well as Google can. Making an additional page for every query's response would be pointless.

If you want to appear in snippets, writing content that addresses many associated problems is a far better course of action.

Conclusion

When a user clicks a featured snippet, they are taken straight to the area of the page where it was displayed. Without further site annotation, the browser will automatically scroll to where the snippet appeared. Clicking a featured snippet will lead the consumer to the top section of the source web page if their browser doesn't support the necessary underlying software or if theiralgorithms are unsure of the precise location on the website to route a click.

SEO - Remove URLS from Google

While most SEOs strive for the top ranks, occasionally, the inverse is required - deleting URLs from Google. Perhaps your whole staging environment was indexed, sensitive material that shouldn't have been exposed to Google was indexed, or spam sites uploaded as an outcome of the site being hacked are emerging in Google. In any case, one will want those URLs removed as quickly as possible. We'll teach readers exactly how to accomplish that in this tutorial.

Reasons for URL Removal

Following are the most typical scenarios in which you need to delete URLs from Google immediately −

  • You have duplicate or out-of-date material.

  • The staging environment you are using has been indexed.

  • Your website has been compromised and includes spam pages.

  • Inadvertently indexed sensitive content.

Remove URLs

How To Arrange Removals?

If you want plenty of pages eliminated from Google's index, prioritise them accordingly.

Highest priority − These sites are frequently security-related or contain confidential information. This includes content including personally identifiable information (PII), client data, or proprietary knowledge.

Medium priority − This generally refers to material intended for a specific group of users. Company intranets or corporate portals, member-only material, and staging, assessment, or development platforms are all examples of restricted content.

Low priority − these websites often include duplicate material. Pages served from various URLs, URLs with parameters, and, once again, staging or testing environments are instances of this.

Methods For TakingURLs Off Google

Erase your content

If you have outdated stuff on the site that is no longer helpful, you may erase it. According to the URLs, there are two alternative solutions −

Deploy 301 redirects to the essential URLs on your site if the URLs generate traffic and hyperlinks. Avoid forwarding to unrelated URLs, as they may be considered soft-404 errors by Google. As a result, Google will not assign any value to that redirect target.

If the URLs have no traffic or links, return the HTTP 410 status value to inform Google that the URLs have been permanently deleted. When you utilise the 410-status code, Google quickly removes URLs from the index.

Using Google Search Console

Access the Google Search Console profile and choose the right property.

Adding Property

In the right-column menu, choose Removals

Removals Option

Click the NEW REQUEST button to get to the TEMPORARILY REMOVE URL tab

Select "Remove this URL Only", input the URL you wish to remove, then click the Next button. The URL will now be hidden for 180 days by Google but remember that the URLs will still be included in Google's index, meaning you will still need to take additional steps to hide them.

As often as required, repeat the process. If confidential material is in a specific directory, we recommend utilising the "Remove all URLs with this prefix" checkbox to conceal all URLs in that directory at once. If you have a significant number of URLs that don't have an identical URL prefix, we suggest concealing the ones that appear most frequently in Google.

Temporarily Remove URL

For cached content

  • Access your Google Search Console account.

  • Choose the right property.

  • In the left-column menu, choose Removals.

  • Select the NEW REQUEST option.

  • Choose the CLEAR CACHED URL tab.

  • Select if you'd prefer Google to erase the cache for a single URL or all URLs that begin with a particular prefix.

  • Type in the URL and click Next.

Please remember that by utilising the noarchive meta robots tag, you may advise Google not to store cached versions of your pages.

CLEAR CACHED URL

Use the Noindex Meta tag

The noindex meta tag is one of the most often used methods for removing URLs from results pages or preventing them from being indexed.

This is a code piece in the head element of your website's HTML. It instructs Google not to display the website in search results.

<meta name="robots" content="noindex" />

It may say "noindex, follow" instead of "noindex" both will have the same effect.

If granted access to a website's HTML code, you may manually add this code to your website or use the X-Robots-Tag HTTP header. A search engine must be allowed to crawl the pages with such tags to be visible. Therefore, make sure they are not blocked in robots.txt.

Canonicalization

It would help if you sorted when you have numerous page versions and wish to assemble signals, like links to a specific version. This usually safeguards the same material when combining various site types into the only URL.

  • Canonical tags − This provides a different address as the canonical copy or the one you wish to see. This should be acceptable if the pages are duplicates or relatively similar. When webpages are too distinct, the canonical can be disregarded because it is only a suggestion rather than a requirement.

  • Redirects − The most popular redirect used by SEOs is 301, which notifies engines like Google that you need the final URL to serve as the one displayed on the results page. A 302 or temporary redirect indicates to search engines that you intend the original URL to remain in the index and concentrate signals there.

301 Redirects

How To Get Rid Of URLs That Are Not On Your Website?

Contact the web admin

Contact the website's administrators and request them to provide a cross-domain reference to your website with a link or a 301 redirect to your URL, or delete it entirely.

What if the website's proprietors fail to respond or refuse to act?

You might pursue alternative options if the site operator does not react to your pitches to delete the content. If you have an enforceable right to get the content deleted, such as a copyright claim, then you may approach the site's web host. They frequently remove information that violates the copyright. You may then utilise the Google " remove outdated content " function to get it out of the index and cache.

Eliminate Images

The most straightforward approach to remove photos from Google is to use robots.txt. While unauthorised support for deleting sites was eliminated from robots.txt, disabling image crawling is the correct approach to deleting pictures.

For just one image

User-agent: Googlebot-Image

Disallow: /images/dogs.jpg

For all photos:

User-agent: Googlebot-Image

Disallow: /

Typical Removal Mistakes to Prevent

Here are some frequent removal mistakes to avoid. Consider the following −

  • Avoid crawling in the Robots.txt file

  • Instead of avoiding scanning the page with a Txt file, it is best to remove it using noindex.

  • Use the nofollow tag.

Conclusion

You will wish to remove URLs from Google in several scenarios rapidly. Each case requires a unique strategy; hence, no "one size fits all" solution exists. And, if you've been paying attention, you'll note that most scenarios where you must remove URLs can be prevented.

Forewarned is forearmed!

SEO - Content is the King

When it comes to looking for information on the internet, the phrase "Content is King" has never been more accurate. Quality content is vital for every successful SEO strategy since it helps search engine bots to accurately and effectively crawl and index webpages. Producing great content to increase your search engine position may be difficult and time-consuming.

This post will explain why content is the king of SEO and how to develop high-quality content.

Where Did the Phrase "Content Is King" Originate?

Bill Gates authored an article in 1996 that transformed the digital marketing path. In his article titled "Content is King," he proposed that most money earned online will come from content similar to television.

king

Reasons Why Content Is the King of SEO

A successful SEO strategy includes the creation of high-quality content. Well-written material benefits website owners, improve their sites' exposure in search engines and gives a positive user experience. Here are some of the advantages of producing high-quality content for SEO −

  • Better Ranking − High-quality content is vital for ranking higher in SERPs for popular keywords. Quality content that's relevant and beneficial to consumers boosts a website's chances of ranking higher in the SERPs.

    Quality content also contributes to the development of legitimacy, which may result in higher ranks in the long term.

  • Increased exposure − high-quality material helps to increase a website's visibility on search engines. Quality content-rich websites are likelier to achieve higher ranks search engine results pages (SERPs). It improves website traffic, which can lead to increased conversions and sales.

  • Increased Conversions − Quality content may help visitors take the necessary step, like purchasing something or sharing material with others. High-quality material can also boost the possibility of users revisiting the site and converting again.

  • Economical and customizable − When necessary, content is simple to audit and modify −

    • Switch between formats

    • Change your target audience

    • Increase or decrease your budget.

    • Experiment with new techniques and approaches.

  • Enhanced User Engagement − Top-notch material also keeps website visitors interested. Quality content may entice users to stay on the website longer and explore other pages, increasing conversions and purchases. Quality content also contributes to visitor trust, which may lead to increased client loyalty and retention.

  • Brand awareness − A good piece of content may assist in building a favourable brand image and raise brand awareness. Quality content enables visitors to learn about the company, its products and solutions, and its ultimate objective. Quality content may also assist in building genuine backlinks, which have the potential to enhance the ranking of a website on SERPs.

Content Matters

How to Generate High-Quality Content?

Know your target market

You must know your audience to create relevant material that influences your bigger brand goals.

Audience research is a continuous investment that necessitates keeping your finger on what's happening in the industry over time. You may, however, get a solid sense of who your target demographic is right now by completing some of the following:

Analyse your data. More data about your consumers exist in Google Analytics or your Facebook account.

Take a look at social media. Several online social listening apps may help you track when people discuss your brand, goods, or specific keywords.

Gather feedback. You can obtain feedback directly from clients by asking for it. It never hurts to ask for feedback through surveys, testimonials, or focus groups.

Insights into the details are essential.

Keyword Research

Before generating the content, it is critical to conduct keyword research to identify relevant terms that appropriately reflect the theme of your content. This will allow you to tailor your content to the right audience and ensure it appears in appropriate search engine results.

Providing full and quality content

Analysing search intent provides a high-level view of the content searchers want. This is an issue since the best response for a query includes everything a searcher is looking for. Look for similarities between top-ranking pages.

Concentrate on producing well-written, educational, and interesting material that is pertinent to the subject at hand. Quality material is more prone to be shared and consumed than low-quality ones.

Make it interesting

People will leave if they find your contentcomplicated to go through. That is a problem since search engines like Google utilizes interaction data for determining relevancy. If consumers ditch the material, SEO will suffer.

Here are some suggestions to make content more engaging −

  • Maintain simplicity. Avoid using complicated words and statements.

  • Make a graphic representation of it. Images and movies help to break up text barriers.

  • Speak the language of your audience. Use phrases and terms that your audience will understand.

Use Hyperlinks

Internal and external links are essential to SEO and content optimization. Internal links assist search engines in determining the relevancy of your material, whilst external backlinks give extra information and demonstrate the trustworthiness of your content.

Make Use of Data

When readers see numbers in content, they are forced to stop skimming and focus on the exact data piece or statistic being delivered.

Data may also help your material appear more authoritative, especially if you use charts, graphs, and infographics.

Increase the trustworthiness of your material by emphasising researched facts. By linking your material with studies and names of reputable scholars, you improve your reputation via proximity.

Structure your material

Using headers and subheadings to split up your information, make it simpler to read, and provide internal links to allow readers to move between related pages are good practices. Furthermore, make sure your data is well-formatted and understandable since this makes it simple for search engine crawlers to interpret.

Mobile Optimization

As more people use mobile devices to seek information, mobile optimisation is critical for every website. Ascertain that your material is compatible with mobile devices and quick to read on every device.

Keep it alive and well

Content does not last forever. This is a huge issue if you're attempting to cover a fast-moving subject. It implies that you'll need to strive hard to maintain your material up to date in order to keep both search engines and users satisfied.

Quality Content

Conclusion

Creating and endorsing top-notch content is challenging but can be done with proper guidelines. However, the critical factor of SEO is that content is king, which can be applied to search engines and site users. Excellent content not only increases website exposure and rankings but also contributes to developing a positive brand image and raising brand awareness. Web admins should focus on generating high-quality content to get the benefits of SEO.

SEO - Verifying Web Site

Launching a website alone won't be sufficient to increase your brand's online visibility. You need to send your website to Google for site verification. You can use this to mould your future SEO operations and enhance your website.

What Is Website Verification?

Confirming your possession of a site to search engines is known as website verification. You can access Google Search data for your website using the Search Console after having your site verified. You may utilize this helpful information to develop your upcoming digital marketing initiatives and enhance your website even more.

Why Is Website Verification Necessary?

By completing Google webmaster verification, you may inform search engines, specifically Google, that your website exists. It allows you to upload a sitemap that crawlers can use to understand the pages of your website.

Google must be able to access your website to crawl and index your pages. The search engine might only index your content if you provide a sitemap. Your website won't appear in relevant search results lists if your pages are not indexed, so your prospects of generating leads and attracting organic traffic are limited.

Additional options for controlling your website and modifying how it shows in search results are made available by Google site verification. You can use its options to target particular demographics and geographic regions, increasing your website's likelihood of receiving quality leads.

If you skip Google Webmaster Tools site verification, you run the danger of operating your website without enough data to back up your campaigns. These include user demographics, click-through rates, bounce rates, search terms that lead people to your website, and others.

you may obtain market data from Google Analytics without paying extra. If you set up your Analytics account and provide the Google site verification code to your website, you can use this service without charge.

How To Register A Website To Google Search Console?

Trail the stages mentioned below in order to register your site with Google Search Console −

Step 1: Open Google Search Console after signing into the Google account.

Two Property Types

Step 2: Switch to the "URL prefix" property type and provide the URL using the https:// protocol. For example, https://www.abcwebsite.com.

Entering the URL

Step 3: Select "Continue"

Different Methods Of Website Verification

Method 1: Using HTML tags

The HTML tag approach requires you to include the simple meta tag in the head> section of your website. You can accomplish this if you use WordPress by −

  • Including the element directly in the header.php file of your child theme

  • Adding it to the header with a plugin

You can add it straight to your theme using a child theme. If you didn't, you'll drop the Google site verification whenever you update your theme.

Copy the Meta Tag

In your Google Search Console interface, navigate into the Other verification methods area to discover the meta tag:

The highlighted areas surrounding the "HTML tag" and the generated tag code are displayed in the HTML meta tag window.

To copy the meta tag from the box, click the COPY option.

Drop-down Box

The meta tag can be added manually in the header section. However, we advise using a plugin if you need more confidence in altering WordPress core files.

You may put the no-cost Insert Headers and Footers plugin on your website. Place the meta tag in the "Scripts in Header" box by moving to Settings, followed by "Insert Headers and Footers" and pasting it there.

The "Insert Headers and Footers" plugin now includes HTML meta tags.

After making the necessary adjustments to your website's header, click Save.

Return to the "Google Search Console" page and select the "VERIFY" option to terminate the procedure. The Search Console can recognise it if you upload the code to your page.

Method 2: Using HTML file

One must upload the HTML file to the website's root directory to use this method. It is basic but has a drawback. To place the file, you must have access to your server by using FTP/SFTP clients.

Step 1: Access the HTML file box from the Recommended verification technique tab after registering your site in Google Search Console.

The "Download the file" option should be clicked in the window with a download link for a Google Search Console verification file.

HTML File Box

Step 2: Upload the file using SFTP

The next step is establishing an FTP or SFTP connection to your website. After you've connected positively, upload the file you downloaded from the "HTML tag" box to your website's root file.

Step 3: Choose the Verify button

Once the file has been added to your site, return to "Google Search Console." Press the "VERIFY" option to finish the procedure. The website's ownership will be confirmed by "Google Search Console", which will find the file on your server.

Method 3: Using Google Analytics

You can quickly validate the site using Google Analytics if you already have the tracking code for Google Analytics placed on your website. There are only two easy steps to this process −

Under Other verification techniques, pick Google Analytics.

Select VERIFY.

The tracking code must be present on the homepage if one uses a plugin to integrate Google Analytics into WordPress. Therefore, you are free to apply this technique.

Google Analytics

Method 4: Using "Google Tag Manager" or GTM

If you presently use Google Tag Manager, it can verify the website with just one click, exactly like Google Analytics. The "Google Tag Manager" container snippet must be active on the website.

Under Other verification methods, pick Google Tag Manager.

Select VERIFY.

If one's using Google Tag Manager, they may verify their website on Search Console practically immediately using this technique.

Using GTM

Method 5: Using Domain name provider

If one wants to verify their website using Domain Name Provider, they'll require adding a TXT record to their domain's DNS configuration.

Domain Name Provider

Remember that this procedure will differ according to the domain provider.

How LongIs theVerification Valid?

Verification continues as long as Search Console can verify your verification token's existence and validity. Search Console periodically checks the verification token to ensure it is still active. You will be informed if verification is unable to be verified. Your permission to use that property will end after an allotted grace period if the problem is unresolved.

How to Check Verification Issues?

Try the steps below if you're having trouble having Google Search Console verify your website −

  • Ensure that the website is live.

  • Verify your email address.

  • Sign in to "Google Search Console" once more and checkthe properties of your account.

  • Check if your homepage has a password.

  • Erase the cookies and cache in your browser.

Conclusion

You must first validate your website via Google Search Console or any other WordPress plugins to have greater control over how it shows in Google Search results.

It guarantees that Google may access your website, manage it with no impact on search performance, and, for instance, determine which search queries led to the appearance of your site in the search results.

SEO - Multiple Media Types

Search engines can find and disseminate high-quality information on the Internet. Blog entries, how-to articles, infographics and expert-written guides aid in comprehending the information and are parts of content marketing that can expand businesses and draw in more leads. Sharing-worthy material facilitates networking for you. More individuals are introduced to it than to your salespeople.

What Are The Different Types Of Media Required For SEO?

Consider SEO content to be a toolset. Content types are your tools. Remember that they can only be successful if your reader finds them so. The kind of media you pick is determined by your objectives as well as the purposes of your reader. The eight most common categories of SEO content are listed below. These forms of content are popular because they are effective.

Blog entries, Ebooks, White papers, Guides, Video content, infographics, Social Networking Posts, podcasts, case studies and Webinars.

What Are the Components Of Media Type?

The three media components of media are purpose, structure, and social approval.

  • Purpose − Goal-achieving is made possible by a variety of mediatypes.

  • Structure − Any media'sstructure serves two roles: 1) it notifies viewers about what they can expect, and 2) it allowsorganizationsto reuse the parts of the structure in creative ways. Consider an analytical chart from a newsletter repurposed in a blog entry.

  • Social acceptance − Media contribute to forming a community through social approval.

What Are The Perks Of Multiple Media Types?

There are numerous advantages to including various types of material in your content marketing plan.

Your audience will benefit from various media formats

Your target audience does not all consume content in the same way. Some people prefer text-based material over video, while others prefer the opposite. Likewise, not everybody can be addressed using the same means.

You may reach and satisfy the demands of a more significant portion of your audience by embracing various forms of media. This directly correlates to improved business outcomes.

Scaling benefits from media types

When you've got a variety of media to work with, reusable content structures, and reliable procedures that make scaling easy, content creation becomes easier and faster.

Media types assist with audience research

Indeed, not every piece of media you try will be profitable. Furthermore, audience tastes, and habits can shift over time. Hence, how the audience reacts to your content can provide you with helpful information for boosting the SEO strategy.

How To Use Various Media Types?

Let's look at how each type of material may be utilised to raise brand awareness, boost site traffic, produce leads, or achieve other objectives.

Media Types

Blog entries

Consistently writing high-quality blog entries can increase traffic, establish an authoritative identity, and foster site visitors over time. Blog postings can be quite beneficial, particularly when you have a solid SEO plan that includes the following −

  • Selecting appropriate keywords for which you have a decent probability of ranking to attract traffic from engines like Google.

  • Creating an effective internal link architecture to retain visitors on-site.

  • Creating backlinks to increase traffic and the credibility of the site andorganization.

When writing blog articles, strive to produce evergreen content so that your blogs remain fresh and draw visitors indefinitely.

Ebooks

Many content marketers generate ebooks instead of in-depth blog post-based guides. Ebooks may be a good alternative if your material falls under any of the following categories −

  • It's long, and forcing users to scroll indefinitely would result in a horrible user experience.

  • It includes the original study or other features that you might offer in return for an email address or a payment.

Not only can the depth of your ebooks represent you as a trustworthy authority in your business, but gating them allows for future lead nurturing.

White papers

White papers are detailed reports that provide thoughtful, research-backed answers to audience concerns. They are an excellent platform for showcasing innovative research and establishing your organisation as an authority with fresh thoughts on the market.

Conduct thorough research to substantiate any claims and add value to the already-public material on your issue.

Guides

Guides are comprehensive documents that include every aspect and detail of a subject. In-depth information is fantastic for SEO. Thus, guides can help your SEO. Longer guides may retain visitors on the site longer, suggesting to Google that your site is worthwhile. It improves visitors to your site, which raises your rating in search results.

Video content

Video content is flexible and can be used in various contexts that include blog entries and social media. It serves multiple purposes, such as −

  • Audience Instruction.

  • Product Demonstration.

  • Sales.

Because of its global appeal, video consumption has increased dramatically.

This SEO-optimized material is fantastic for engaging and retaining prospects. You may use video to improve the SEO of your page.

Infographics

Infographics are fantastic because they produce visually appealing representations of facts and figures. Readers enjoy infographics since they help them understand and assimilate complex information.

When compared to content that is solely written in text, consumers are thirty times more likely to thoroughly absorb an infographic.

If much of the material is based on data and facts, converting these pieces into visual content is a simple yet efficient approach to attract more interested visitors.

Social Media posts

Social media networks are effectively becoming brand-specific search engines. 40% of people utilised social media to learn about new brands and goods. Furthermore, buyers are prone to buy from active and interacting firms on social media.

Customers may buy things directly from social media networks, making it easier. Instagram enables brands to include direct product links in regular posts and stories.

Direct Buy Product

Podcasts

Podcasts are an interesting, personable way to contact users - even those who don't like reading can learn about your products and brand concepts. Customers can absorb content more passively, thanks to podcasts. They can, for example, listen to a podcast while driving, but they cannot read an article while doing these things.

Case studies

Case studies are excellent for winning the trust of potential consumers or supporters. Factual data will be required to back up these claims.

By conducting in-depth research and examining a particular issue, your company can improve its expertise in users' eyes - backed by proven success.

Webinars

Webinars have significantly improved commercial results, sales, and engagement rates.

To keep viewers engaged, webinars must be exciting and relevant. Viewers like webinars that last between 30 and 45 minutes.

Another wise suggestion is to cooperate with other experts in your field to gain expert advice and produce exclusive content.

Other Media Types

Conclusion

Marketers used to have significantly fewer alternatives for branded content. Nowadays, businesses can construct the marketing approach most suited to their target market. It is responsible for bringing new clients via organic searches and converting these prospects into actual customers.

SEO - Google Passage Ranking

The algorithms must be updated often in addition to learning to function as planned.

This takes us to passage ranking, one of the various Google search upgrades. It's a minor update that will enable the search engine better analyse material and provide the most relevant results to users. There is no cause to be concerned about this upgrade or to go insane attempting to update your material.

However, this doesn't imply that the update is unimportant. This article will discuss passage ranking.

What Is Passage Ranking?

Google passage ranking or indexing is a tool that automatically inserts pieces of sites into the results of search engines, even when the web page addresses a somewhat different topic from the primary one.

Google has been able to locate and show the specific part of data that responds to a searcher's query ever since the release of this upgrade, which went into effect on February 10th, 2021. It shows in the SERP at position zero.

According to Google, passage-based indexing helps discover "that needle in a haystack" since Google will now grasp not just the main topic of the web page but also the exact subtopics to which each passage applies.

Google Passage

How Does Google Passage Ranking Function?

It's critical to understand that Google Passage Ranking does not affect how SERPs work for users. Not in the apparent sense, at least. This upgrade merely altered Google AI's understanding of site material and data regarding the relevance of a specific search query.

That implies that Google may now find a very particular sentence, paragraph, or portion of information inside a web page that answers a long-tail term or topic. Google uses "BERT and neural networks" to understand content and rank sections better when appropriate.

When completing Google searches, Google Chrome users may discover an additional function associated with Google Passages. If you open any of the website links on the first page of results after inputting your search query, there's a strong chance it's a jump link that sends you down to a highlighted part of the material that Google feels answers your question.

Difference Between Google Passage Ranking and Featured Snippets

The primary areas of distinction are −

Google Passage Ranking Featured Snippets
Passage Ranking is the latest update focusing on particular web material parts. The Featured Snippet algorithm indexes the whole website.
It splits the content into severalsections. It views the information as a whole, providing a broad picture of a subject.
On the other hand, Google passage ranking takes the user to the specific point in the text where the solution was found. When the user clicks on the brought-out snippet, Google directs them to the domain on which the response was based.
Featured Snippet

Why Is Passage Ranking Beneficial?

Let's discuss the reasons as to why one should be concerned about passage ranking now that we have understood what it is and the way it functions, whether this modification produces any benefits or is merely a minor adjustment that can be ignored.

There are multiple pros associated withpassage ranking −

  • Focusing on consumers instead of Google bots − Google continues to demonstrate that it prefers website proprietors to create relevant material that consumers find useful instead of what search bots demand.

  • Long-tail keywords become all the more important − Long-tail keywords, along with associated phrases, are likely to aid with passage indexing, so add words and longer terms.

  • Increased benefits of long-form content − This change allows longer content to rank better for more targeted keywords.

Passage Ranking

What Effect Does Passage Ranking Have On SEO?

It won't have any major effect on the SEO for most websites. Websites that detect a change will most likely experience a slight increase in traffic.

Though, there may be a couple of minor alterations worth taking down.

Because Google now employs passage indexing to annotate and separately categorise chunks of the same page, long-form material obtains the upper hand. It has a far greater chance of ranking for more keywords. They may enjoy a significant increase in traffic.

It has become more vital than ever for websites to use suitable on-page SEO approaches, like selecting appropriate headers and optimising anchor texts. Pages with less optimisation but higher quality content may outrank you.

How Many Searches Will This Change Affect?

The update will affect 7% of all inquiries worldwide. This is a significant amount so we may anticipate some adjustments.

Webmasters predict that rankings for most websites will improve since web pages will be relevant for various keywords (particularly long-tail specialized keywords) rather than just those connected to their core theme.

Optimise for Passage Indexing

Given what we currently know regarding what Google is scanning for right now, here's how you canstay up with algorithm andrankingchanges −

Deliver top-notch content that provides solutions

Your material should, first and foremost, be informative, answering all of the essential queries that consumers may have. As a content creator, you should be fluent and clear about the information you share.

Google is unable to rank a website with disorganised and ambiguous content. The more organised and valuable your material, the higher will be your Google ranking.

Use appropriate header tags and schema markups

H tags are in charge of attracting the eye of search engines. It is important to note that "Heading 1" is critical and should include the primary keyword.

When utilising H2 for a text, ensure it incorporates terms from latent semantic indexing (LSI). Including LSI keywords will assist Google in fully grasping the context of your article.

Long-form content with relevant keywords

The more significant number of keywords you rely on, the longer your written content will be, and Google will rank these individual terms independently.

Add new metrics, links, and resources to long-form postings.

Using specific questions

Using target queries while developing SEO content is strongly recommended. The most fundamental inquiries are what, who, when, why, and where of a particular issue.

Conclusion

The search engine is committed to offering the most excellent possible user experience. Google's modest upgrade will assist consumers in receiving the most relevant answers to their inquiries.

Bear in mind that a large number of webmasters won't have to implement any changes and will not suffer Google penalties. Long-form web pages may see a little increase in rankings and traffic.

SEO - Maximize Social Shares

Social media serves a vital role in helping businesses get their products or services in the sights of a larger audience. This leads to a variety of SEO perks, such asmore backlinks, increased engagement, and an outstanding dedicated SERP for brand queries.

Furthermore, knowing SEO and online marketing helps businesses function better on both platforms. Social media audience analysis allows you to generate better-focused content. SEO research may assist you in determining what your social crowd wants to consume and fill content gaps.

Social SEO: What Is It?

Social SEO is the use of social media networks as an indirect method to increase the website's visibility and ranking.

While the use of social networking sites has no immediate effect on SEO, social evidence (likes, shares, and comments) generated through individuals sharing the posts on social media help to build authority and client loyalty, and also improve brand recognition and exposure, each of which help in boosting the visibility and traffic to the website.

Why Is It Essential To Boost Social Shares?

Social Media Can Assist You in Improving SEO Ranking Signals

Even if social shares aren't a ranking component, time on the page and site most certainly is. As a result, numerous respondents believe that social media improves SEO by supporting you in improving the factors that affect rankings.

Social Shares bring in organic Traffic

Sharing on social media may be a highly successful approach for gaining more website traffic which helps boost SEO, particularly in the early days when a website has just debuted.

Posting and sharing on social media

It accelerates the indexing of content, improve SEO ranking and drives in organic traffic.

Social Shares

How to Increase Social Shares for SEO?

Create aesthetically appealing social media accounts and content

Humans are very visual beings. Customers may visit a website and depart because the material or formatting is outdated, wrong, or bad.

Customers have various platforms and accounts to select from, so you must use your content best to draw in them. To learn what works best for your audience, experiment with several sorts of content, such as blogs, videos, endorsements, etc.

Also, utilize good imagery associated with your brand so that people can identify it as yours when they see it. This will boost brand identification and awareness.

OptimizeYour Profile

Wherever you have a social media page, it must be completely filled out andoptimized. Take time to complete the profile to guarantee that the material being shared comes from a reliable and high-quality source.

  • Comprehensive profiles − Incomplete profiles might make customers question who you are and what your companydoes. Include as many facts as possible to provide a complete picture of the job your company performs.

  • Use a single photo, handle, and bio (if feasible) for every platform to ensure you're readily available and identifiable.

  • Diversity − Ensure that your business is well-known on all relevant social media platforms.

  • Make yourself discoverable − Conduct keyword research and ensure your profile appears in social media search engines.

  • Check links − Ensure all media is functioning properly before and after posting.

  • Optimizeinfographics − Each social network has its own set of optimum dimensions and quality constraints, so stay on top of these.

Place your share buttons wisely

You mustoptimisethe positioning of the share icons to ensure your readers see them and are inspired toclick on them.

  • Bring attention to your buttons − You want to avoid an essential call-to-action, such as share buttons, being overshadowed by clutter.Make them stand out from the rest of the material on the page.

  • Don't make people scroll too far − Users frequently scan posts or opt to share before finishing them. If your material necessitates a lot of scrolling, place it near the top or side.

  • Avoid dead zones − Users devote less attention to certain portions of a website. Heat mapping tools, like CrazyEgg may help you determine which portions of your website visitors connect with and which parts they ignore.

Encourage backlinks with quality content

People will only share material they feel is valuable or relevant to their target audience. If time and resources are limited, choosing quality over quantity is wise.

To demonstrate authority, research issues and include significant studies and third-party links with internal links. Quotes from professionals or data that support your viewpoint are also appropriate.

Above all, acquire a tone and point of view on your sector to assist you in becoming a thought leader.

Consider employing influencers and paying attention to them

Influencers have power on social media, as you are undoubtedly aware. To find out how much, glance at the influencer statistics.

You don't have to set lofty goals for your influencer marketing approach. Still, if you're aware of influencers in your industry or location that your target audience listens to, it can be worth considering employing them on social media.

Use social listening tools to discover what's happening with your competition and others.

Social listening is an effective SEO strategy, and several free solutions are available. These will assist you in monitoring discussions to understand what your intended market has to say about you and keep track of your rivals.

People increasingly turn to social media to ask queries and check reviews (and complaints), so keeping an eye on your platforms is a bright idea for handling online reviews and general customer service.

Improve Social Shares

Impact of Social Shares On SEO

Social media sharing has no direct influence on SEO. However, sharing your material on social media might have the following effects on SEO −

  • Increase organic traffic

  • Boost visibility

  • Improve your local SEO

  • Increase brand recognition by expanding content reach

  • Increase the number of backlinks

  • Establish authority

How to Merge SEO with Social Media?

Locating the blending spot − The initial step is to locate the ideal site. The perfect location is the point at which your SEO, marketing of content, and social media tactics intersects and complement one another.

You can generate effective blog postings and guides (how-to guides). Podcasts with texts and videos or create infographics to reach this ideal spot.

Blending Spot

Using topic clusters − Topic clusters are an excellent way to organise your material and include SEO in your overall content strategy. Essentially, an important topic and multiple sub-topics branch out from it.

The principal subject in a topic cluster is known as the pillar content. The cluster content is made up of the sub-topics. Employ hyperlinks to connect your pillar and cluster information when arranging your material.

Topic Clusters

Conclusion

Sharing material on social media makes it more discoverable and extends its lifetime as others share it. Your content planning and strategy for social media, as well as statistics for both, must function in tandem. It would be best to create engaging material that people are inclined to discuss and share.

SEO - First Link Priority Rule

For a long time, site programmers and search engine optimisation (SEO) professionals have debated and experimented with the notion of "First Link Priority" (FLP). However, pinpointing the precise date or person initially proposing the idea takes time and effort.

It is critical to understand that search engines such as Google employ complicated algorithms that consider several aspects when calculating the relevance and value of a web page. FLP is only one of several elements that might affect search engine results.

What Is the First Link Priority Rule?

First Link Priority is an internal linking notion that states that Google prioritises the anchor text of the first link referring to the same page. Earlier website links are considered more critical for SEO and help pages rank higher.

Google will only transfer link juice to the first link it finds on a page and disregard any others connecting to the same page.

In other words, when a search engine crawler explores one of the pages on the site and encounters two links heading to the same webpage, it will solely evaluate the anchor text for the first link and ignore the second.

Pictorial Representation

What Are the Methods for Achieving First Link Priority?

There are several approaches to achieving first link priority.

  • Request that the site administrator or editor put your link first. This may be beneficial if you associate with the website's owner or editor or if the proposal is actually the most excellent alternative for their audience.

  • Link bait is another method for obtaining first link priority. The creation of content is so engaging that it compels other websites to connect to it. This can be challenging, but if accomplished, it can benefit your SEO.

Obtaining first-link priority might be a terrific approach to improving your SEO efforts.

How Does theLink Priority Function?

Link priority is an attribute for outbound links in your blog entries and articles. This is beneficial when connecting to a specific external resource you want your visitors to see first or when linking to a particular page on your site that you want to draw attention to.

To activate link priority, go to your blog or article's settings and look for the "Link Priority" option. Once turned on, any links you add to your blog entry or article will take priority over the rest of the links. Remember that this option only affects outbound links; links inside your blog post or article are unaffected.

What Are the Problems Faced with The Navigation Menu?

When inspecting the source code of a significant number of websites, the menu for navigation is situated atop the majority of content. As a result, spiders begin by exploring the navigation menu. This causes a problem because the majority of buttons for navigation in the menu do not employ properly optimised anchor text.

FOR EXAMPLE, if I offer office pens, I may have two separate buttons on my navigation menu, one labelled "Parker" and the other "Fountain." Those aren't the phrases I'm targeting, but "Parker office pens" and "Fountain office pens" don't always look nice in the navigation menu.

Many experienced SEOs have believed that Google will keep tracking the anchor text of an internal link inside the written material of a page. This, unfortunately, is not what is happening.

Navigation Menu

How To Put First Link Priority Into Action?

It would be best to consider a few factors to establish first link priority on your site. To begin with, you have to ensure that your website's structure allows Googlebot to scan and index your material quickly. This requires a well-organized sitemap as well as clear and succinct anchor language.

After optimizing your website for Googlebot, you can begin enforcing first link priority by including these lines of code in the robots.txt file −

User-agent: Googlebot

Allow: /

Sitemap: https://www.tutorialspoint.com/sitemap.xml

By including this code, you're informing Googlebot that it can browse and index your website's content. The sitemap directive instructs Googlebot wherein it can locate your website's sitemap, assisting it in understanding your site's structure. Lastly, the allow directive instructs Googlebot to prioritise your website's links over any additional links it discovers.

What Are the Methods for Avoiding the First Link Priority Rule?

There are several technological approaches to get around the first link priority constraints. Three of these are −

Insert the menu in your website's source code underneath the text

This might be a great choice if you've got a static website. It is feasible to insert a side navigation bar below the text in the source code using DIVs and absolute positioning. Google evaluates any anchor text inside the content first and counts the hyperlinks in the sidebar if there is none.

Remember that this is tough to achieve with a dynamic website or any site that uses a CMS. It necessitates the services of an astute developer since one minor change might jeopardize your website's absolute positioning.

Using hashtags for many internal links

A hashtag is a word used in a link to direct people to a specific section of a website. Because just a portion of a website may be helpful to a user who clicks on the hyperlink, Google evaluates a hashtag link as if it were a link to a different page and will analyze the anchor text of several links.

The hashtag workaround is effective even when the link does not take you to a specific website section.

Hashtags

Internal links only to in-depth pages

It is preferable to link internally to your site's inner pages rather than duplicate links to sites previously linked to.

This is arguably the most prevalent method, and you'll see it employed frequently by prominent news publications. The result represents a deep-linking approach that helps get deep pages viewed and indexed.

Does First Link Priority Affect Search Engine Ranking?

The answer is NO. Our first internal linking objective is to provide a smooth, straightforward user experience. Internal links assist visitors in moving around and navigating your website.

Any usefulness they might have had as hidden keyword cues to Google has long since died.

Regarding backlink strategy, it's far better to focus on providing content that people are inclined to link to rather than worrying about potentially wasting PageRank due to who links to you too frequently. This method will become more consistent with time.

The bottom line is that Google refuses to use first-link priority as a ranking indication in search results.

Conclusion

Employing first link priority can enhance your website's search engine visibility and rankings and organic search result click-through rate. If you want to optimise the website for search engines, first-link priority is an excellent place to start.

SEO - Optimize Page Load Time

Patience is a virtue, yet it may be a challenging job for web browsers. Users demand fast websites, and if a page has a longer loading time, visitors fail to retain patience and are unlikely to return.

Enhancing your website's performance is essential not only for consumers but also for search engine rankings. In this post, we'll discuss page speed, its importance, and how to measure and improve it for the better.

What Is Page Speed?

The speed with which the content loads when an individual views a page on your website is called page speed or page load time.

Several factors influence page loading time. The user's internet connection may lag, or a website's hosting provider may be faulty.

Page speed is sometimes mistaken for "site speed," which refers to the page speed for a random sample of page visits on a website.

Page Speed

Why Is Page Speed Important?

With so many competing websites in your sector, the race to generate site traffic and keep visitors delighted with rich usability is becoming increasingly important.

Every second counts when it comes to page loading speed

According to Google research, rising ofload time from one to three seconds increases the risk of a bounce (32%). If a web page takes five seconds to come up, the likelihood of a bounce rises to 90%.

Bounce Rate Statistics

On the other hand, improving your webpage load times may boost Google rankings and site traffic. Increasing page speeds by one second may improve conversions by 7%.

A quick page load time might also help your website's crawl rate. The faster page load, the more web pages Google can crawl quickly. Great page speed may improve the crawl demand for your site, which means Google will seek to crawl more of your pages.

Adding site speed increases conversions and enhances the user experience.

How to Measure Page Speed?

The term "Page Speed" isn't as simple as it seems.

This is because there are several methods for assessing page speed. Here are three of the most prevalent −

  • Fully Loaded Page − This is the time it takes for a page's resources to load completely. This is the simplest technique to determine how quickly a website loads.

  • Time to First Byte − A metric that indicates the time it requires for a page to begin loading. If you've ever arrived on a web page and gazed at an empty screen for a few seconds, you've seen TTFB in action.

  • First Meaningful Paint − The amount of time it takes for a page to load sufficient data for a user to read what's on that page.

Using "PageSpeed Insights": This is a simple tool for measuring and testing the performance of web pages.

Also, being a Google-supported tool, it may assist the webmaster in ensuring that the individual is meeting the performance requirements necessary for top search result rankings.

To use PageSpeed Insights, just input the URL of the pageyou wish to test into the text area and click the Analyse button −

PageSpeed Insights will proceed to analyse the content on your website and evaluate it on a scale of 0 to 100. Below your score is a list of tips for improving page loading speed.

How to Improve Page Load Time?

Select a high-performance hosting solution

Accepting substandard hosting in exchange for a reduced monthly charge is one of the biggest blunders you can make.

Low-cost hosting is typically coupled with poor performance. It might indicate sharing resources across several websites on an overworked server, which could slow down page loading times.

On the other hand, a few performance-oriented hosting providers, such as SiteGround and Kinsta, provide a solid infrastructure that is tuned for speed. Because these providers seldom offer shared hosting, you won't ever have to be concerned about other sites depleting your reserve of available resources.

Optimizeformat and resize images

The graphics might consume a significant amount of bandwidth, affecting your page's loading speed. It is not sufficient to shrink your website's photos in HTML because this alters the image's look, not its size. Resize the photos using external image editing software.

Stick to standard picture formats like JPG, PNG, and GIF to optimise your page's loading time.

Reduce code size

The more extended and intricate the code, the more time it will take for the website to load. Minifying a page's code is another approach to improving page load speed. This includes reducing it to remove extra things such as characters, commas, comments, formatting, and spacing.

Decrease Redirects

Reducing redirects speeds up the serving process. Some redirects are inevitable and must be implemented, but remember that this needs an additional HTTP request, resulting in a longer page load time. Look for broken links and repair them right away.

Allow Browser Caching

Browser caching is a core SEO method that helps pages to load quicker for recurring visitors.

Activating browser caching saves items such as stylesheets, JavaScript files, pictures, and videos on a visitor's device as the page loads. As a result, when the visitor comes backto the website, the web browser doesn't have to refresh this information, improving the user's overall experience.

Remove Render-Blocking Resources

JavaScript and CSS files might slow down the loading of your website.

Because users must load these files to see your fully functional site, having too many of them might cause your site to slow down.

By removing these resources, we can cut our website's load time by 0.26 seconds.

Google suggests the following actions −

  • Insert JavaScript and CSS code directly into your HTML.

  • Add the defer property to JavaScript to keep it from running during HTML processing.

Cookie size reduction

Limiting the size of cookies reduces the volume of data delivered and, as a result, the page load time. Eradicate unnecessary cookies or decrease the size of existing cookies.

Remove any unneeded plugins

Your website may get bloated and sluggish from having too many plugins.

Poorly maintained plugins represent a security risk and can bring compatibility issues that degrade performance.

Hence, it's an excellent idea to limit the number of plugins. One can disable and delete any plugins they aren't presently using.

We also urge that you check every plugin you have installed to see whether they are genuinely required.

Take use of a CDN

A CDN is a network of servers that can aid in page loading speed. A CDN operates with your host rather than in place of it. It accomplishes this by hosting and distributing static content copies from servers worldwide.

A CDN reduces network latency and produces reduced TTFBs by loading data for the page via a server closer to each visitor.

Page Load Time

Conclusion

Page speed is an essential statistic to consider if web admins want to provide the best possible user experience. It is critical that the site pages load quickly to lower bounce rates and boost visitor engagement. Plan this immediately, then check your baseline to ensure it constantly improves.

SEO - Hiring an Expert

Whether any company is well-established or in its early stages, its web presence is critical for long-term growth and achievement. The top search engine result receives ten times more hits than the 10th-ranked result. Therefore, having your site highly placed on search engines may make or break transactions.

An SEO specialist can help you maximize your internet visibility. In this article, we'll look at how hiring an SEO specialist may help businesses grow.

Who Exactly Is an SEO Expert?

An expert in SEO is defined in the context of SEO as someone with a demonstrated track record of optimising websites to get better rankings on search engines.

An SEO expert may also be an SEO consultant, SEO professional, or SEO specialist.

Some SEO specialists operate independently, while others work for an SEO or online marketing organization.

SEO Expert

What SEO Specialisations Will An Expert Have?

The following are the most dominant SEO types −

  • "Technical SEO"

  • "On-Page SEO"

  • "Off-Page SEO"

  • "Local SEO"

  • "Mobile SEO"

These are the most effective forms of SEO that websites must be configured for, and most SEO specialists are knowledgeable about them.

Technical SEO: An SEO specialist that is skilled with technical SEO needs to be prepared to execute the following −

  • Detect crawl issues on a website.

  • Discover how Google evaluates the pages of a website.

  • Check that the site is mobile-friendly.

  • Check the security of a website.

  • Examine the loading speed of a webpage.

A website owner might have a fantastic page with the finest content, but if the technical SEO is neglected, their website will not rank.

On-page SEO − A well-optimized website should be able to perform the following −

It should be relevant to a particular topic or term in the header, URL, and picture alt text.

The key terms should appear numerous times throughout the page's text.

A backlink to the homepage (often accomplished with a picture link displaying the site's logo on the upper left of a page) should be present.

Off-page SEO − This is the technique of obtaining links to your site from high-quality websites. This increases the authority and trustworthiness of your website in search engines' views, which can lead to higher ranks.

Off-Page SEO refers to any SEO strategy that does not require modifying a website or posting material to a website.

Local SEO − Designed for companies that serve a particular geographic area. This sort of SEO focuses on optimising the site for local search results, which involves claiming your company listing on Google My Business and other directories and optimising your site's content for local keywords.

Mobile SEO − This is significant since an increasing number of individuals use their cell phones for browsing the web. If you'd like your site to appear in mobile search results, ensure it is mobile-friendly. This includes having a responsive layout and providing your site runs swiftly on mobile devices.

Types of SEO

Why Should I Hire SEO Experts?

Reclaim Your Time

You can concentrate on operating your business if you rely on SEO specialists. You won't be concerned about employing an in-house staff or attempting to understand SEO to handle your campaign. If you entrust your SEO effort to professionals, you'll have peace of mind.

Little to no boost in your website traffic

If the in-house SEO team fails to drive a considerable boost in traffic, it's time to contact SEO experts. The core of your online marketing effort is your website. It is essential that when consumers do searches, they quickly locate the website and find out more about your organisation.

No prior experience with SEO

Suppose you are still getting familiar with SEO. In that case, learning the various tactics, such as keyword research and page speed optimisation, and incorporating them into your SEO strategy can be daunting.

Instead, you may engage SEO experts to guide you through the process.

Better website performance

Hiring SEO experts is an excellent decision if the goal is to get the best results from your SEO strategy. These folks deal with SEO regularly and know about changes to Google's algorithm. Working with SEO specialists will guarantee that your campaign contains the most recent optimisations to increase the ranking of your website.

Routine monitoring of your SEO strategy

When you engage experts, you'll have someone monitoring the outcomes of your strategy to see if it's working for your company.

Your SEO experts can track your campaign to identify what is producing success and what needs to be improved.

How Can I Find And Hire The Best SEO Experts?

Ensure that they learn about your company's interests

Before they can optimise your website, they must first understand what you're up to and your intended audience. Give them every bit of information about your unique business demands and goals.

Examine their qualifications

Although there aren't any formal academic prerequisites for SEO professionals, one should look at their credentials. Ask them about their experience, training, and history in SEO. Also find out about how long they have worked in the field.

Check client testimonials and reviews

Client testimonials and reviewsoffer a wealth of information about SEO specialists and the job they accomplish for their clients. You can examine how others feel about working with them and whether or not they had a good experience with that SEO professional.

Inquire about their procedure

Ensure the specialist you employ has a straightforward approach to improving your website's rating.

ensure that they employ ethical techniques

There are several SEO tactics available. However, not all of them are legitimate. You should ensure that the expert you engage employs procedures that will not result in Google penalizing your website.

Obtain a contract

Before engaging an SEO specialist, ensure you have a written contract. This will safeguard you if there are any misconceptions regarding payment, the project's scope or the expected results.

Things Check

What Questions Should I Pose During the Hiring Process?

In order to rapidly determine whether a provider is the best fit for the company, website owners should chat with the experts and agenciesand ask the correct questions regarding

  • The frequency and nature of communication concerning work in progress

  • Reporting and how frequently you will get updates, and also the content of those updates

  • Whether a minimum contract is required.

  • Their charges, how they bill, and when they demand payment after invoicing.

What Should You Expect After Employing an SEO Professional?

If you've already decided to employ an SEO agency orprofessional, you can expect them to acquire details, identify critical opportunities, and utilise the information gathered to create deliverables.

You can anticipate the following after hiring a consultant or agency −

  • Discussions on business aims andobjectives.

  • Gather statistics and data from the current website and analytics.

  • Conducting a site assessment to discover gaps in content and technicalopportunities.

  • Using this data to develop content and online assets, and gain links andvisibility.

Conclusion

Hiring an SEO professional or agency is a complex undertaking. You can ensure that the SEO professional you deal with is the proper fit for your site by asking pertinent questions and openly expressing feasible SEO aims and a long-term plan. It might be an effective method for improving your website's ranking and increasing visits. Just remember to do your research before hiringsomeone. Remember to obtain a contract!

SEO - Learn EAT Principle

E-A-T: What Is It?

The acronym E-A-T stands for "Expertise(E), Authority(A), and Trustworthiness(T)". It originates from the 168-page Google Search Quality Rater Guidelines, which professional quality reviewers utilise to evaluate the standard of the search results displayed by Google. To assist developers in understanding what factors Google considers when ranking a website, Google released this online guide publicly in 2013.

EAT by Google

EEAT and YMYL

The acronym "E-E-A-T" stands for "Experience, Expertise, Authoritativeness, and Trustworthiness." There was no "Experience"; it was simply E-A-T until a Google upgrade in December 2022.

The acronym "YMYL" refers to "Your Money or Your Life." If you're looking to boost your search engine ranking, you must fully grasp the two concepts.

EEAT and YMYL

Does EAT Matter Much?

Though specific searches require it more than others, E-A-T is crucial for all of them.

Case 1

E-A-T may not be all that important if all you're looking for are photographs of coolcars. If you come across a car you don't think is cool, it's okay because the subject is debatable.

Case 2

However, E-A-T is unquestionably significant if you're seeking to determine the right amount of paracetamol to take while pregnant. There is a strong likelihood that every piece of information on this subject that Google surfaces is erroneous or deceptive if it was created by an inexperienced author and published on an unreliable website with little or no authority.

How Are EAT Ratings Determined?

The terms expertise, authoritativeness, and trustworthiness are comparable but not interchangeable. Therefore, each sector is assessed separately based on individual guidelines.

Valued Individually

Expertise

Being a recognised authority in an industry demonstrates an advanced understanding or expertise in that domain. Not on the website or organisational level, but the content degree is where it is judged the most. The topic area expert's data is what Google is searching for to deliver the most accurate data.

This relates to the content creator's official training, credentials, and experience concerning YMYL themes. For non-YMYL subjects, showing that you have practical knowledge and appropriate real-world experience is essential.

Authoritativeness

Reputation is crucial to authority, especially among other professionals in the field and key influencers. In simple terms, somebody or an organisation has authority when people view them as the most reliable source of knowledge on a given subject.

Reviewers attempt to find details regarding somebody's credibility or an organisation's reputation online to determine their authority.

Trustworthiness

When it comes to trust, consider the website's and its content's authenticity, accountability, and reliability. When assessing trustworthiness, reviewers consider various factors, such as whether or not the website identifies the author of the content. This also holds for non-YMYL inquiries but is especially significant for YMYL queries.

E-A-T

Nevertheless, remember that trust is an interpersonal idea, much like authority. In all circumstances, believing that people or websites are legitimate is impossible.

Are There E-A-T Scores for Websites?

If you are familiar with how Google ranks E-A-T and the functionality of the Quality Reviewers, the answer to this question is undoubtedly NO. Google does not provide the E-A-T score for your website. However, there are still techniques to increase the perceptions that Quality Reviewers have of your knowledge, gravitas, and reliability.

Does E-A-T Affect Rankings?

Anything that is a "ranking criterion" must be something concrete that an algorithm can comprehend and assess. The number of connections to a website may be the most evident illustration of this.

To know the number of links pages typically receive from other websites, Google scans the entire internet. Developing a computer program that lists the websites with the most significant number and quality backlinks is simple.

Despite being desired characteristics of content, expertise, authority, and trust all stem from inherently human conceptions, which is an issue. The computer primarily interprets data in bits and bytes. Therefore you cannot instruct it to give websites withE-A-T a higher ranking.

EAT Rankings

Ways To Improve And Get Better And Establish E-A-T

Aim To Update The Content Regularly

Always remember to update and input new and latest data in your content. Adjust your updating frequency according to the type of website you are handling.

Verify The WebsiteData To Prevent Posting Incorrect Information And Make Sure They Are Accurate

Our suggestion is this: verify the information in your contentideally using trustworthy sources like Wikipedia and Wikidatabefore publishing it. Additionally, you ought to confirm that the sources you cite are reliable.

Develop Greater Connections

Ensure that you give the development of high-quality links a higher priority than the creation of poor-quality connections because Google is quite strong at identifying links and connections that are valid and matter for ranking.

SEO Specialists

Engage Specialists

Every industry has an abundance of specialists. A professional can always be interviewed or asked to make a guest blog entry for your website if you cannot pay to hire personnel.

If you plan to cover YMYL subjects, this requirement is a prerequisite. For topics other than YMYL, however, recruiting someone with professional expertise is optional. However, you may employ individuals with an established history of success or who have become widely recognised for producing excellent content.

Acquire More Reviews

Emphasise obtaining more favourable feedback online on all relevant websites, i.e., the websites that customers in the field you represent visit and trust.

TutorialsPoint Page

Increase Your Mentions And Citations

More mentions and citations mean more accurate and reliable data. You can increase your reputation and acquire higher rankings and trust with more mentions.

Create An Entry On Wikipedia

It's challenging to get a Wikipedia page. Very difficult. Obtaining a Wikipedia page is relatively easy if you've been widely recognised as an expert in your field, which calls for extensive coverage in trustworthy, reliable publications. You can have one if you already have a sizable clientele.

Provide Contact Information

Consumers could view organisations as unreliable without adequate contact and customer support information.

Page of Tutorialspoint

Display Your Proof Of Identification And Authenticity

Be transparent and authentic. Show your certifications and identifications of your business on your website to consumers through an About Us page. They provide a sign of authenticity and expertise.

Policies and Consumers

Conclusion

When you publish on YMYL issues, E-A-T is crucial for SEO and an area you should attempt to improve. Part by part, you must complete this. Be trustworthy. Employ professionals. Give your clients much attention and keep their perspective in mind. Take practical and authoritative business action. Provide valuable and appropriate data. Don't hesitate to show Google your knowledge and principles. While it may require some work and planning, it is very simple.

SEO - Mobile SEO Techniques

Mobile SEO: What Is It?

Making your website mobile-friendly for devices such as tablets and smartphones is known as mobile SEO. Similar techniques to desktop SEO are necessary. However, more consumers nowadays are searching on their mobile phones and tablets. The user experience on mobile devices must therefore be given top priority. This requires optimising site layout, content, and other aspects for mobile users.

Mobile SEO: Significance

Nowadays, smartphones and tablets account for more than fifty percent of traffic from search engines. Desktop search traffic is continuing to decline as mobile search volume increases.

Graphical Representation

Google Makes Use of "Mobile-First Indexing."

Google employs a mobile-first algorithm. In other words, it primarily indexes and ranks material available on mobile phones and tablets. In 2019, this was adopted as the standard procedure.

The mobile-friendly version of your website is therefore given priority whenever Google crawls and indexes your content. Notably, there aren't distinct mobile and desktop indexes. There is only one. And mobile is given priority.

However, Google will keep displaying the web page that is most pertinent to visitors in search results, whether they are on a desktop or smartphone or tablet. If this is something you still need to do so, the most effective option is to take precautions and optimise your website for smartphone consumers.

Configuration URL Status HTML Status
Flexible Web Design Remains Constant Remains Constant
Different URL For Mobile Devices Changed URL Changed HTML Syntax
Dynamic Serving Remains Constant Changed HTML Syntax

Principles of Mobile SEO

Website Performance

For smartphone and tablet users specifically, website performance is much more crucial than for users on desktops due to hardware and network concerns. In addition to image optimization, you should minimize your source code, use browser caching, and minimize redirects.

Allow Images, Javascript, And CSS

When these elements first became available, many mobile phones could not support all of them; thus, developers of mobile websites either restricted the entire trio or just one of them. The modern smartphone has changed that, though, for the majority of the portion.

The goal of SmartphoneGoogleBot is to examine and classify content in a similar way as consumers. These components are equally essential for Google to determine whether your website is flexible or uses an alternative mobile solution. Therefore, don't conceal them.

Mobile-Friendly Website Design

The design of websites is being simplified and revolutionized by smartphones and tablets.

With an adaptive grid and an adaptable layout that automatically adjusts to a user's screen size, responsively-designed websites utilize CSS3 media queries to offer identical content to smartphones and desktop consumers.

SERP

Using Only HTML5

The consumer might not have the plugin installed on their device; in this instance, the engaging experience won't be felt. Rather than using HTML4, utilize HTML5 to generate extraordinary effects.

Avoid Using Pop-Up Windows

Attempting to close them on your smartphone or tablet might be challenging and unpleasant. Unfavorable bounce rates could result from this.

SERP Mobile

A Large, Finger-Friendly Design

If your buttons are excessively big or too tiny, or they get in the way of a finger attempting to navigate through the content, touchscreen navigation could result in an accidental click or click-through.

Make Use Of Schema.Org Structured Data

Rich snippets are much more likely to be displayed when viewing a mobile device than on a desktop due to the smaller screen size.

Optimise Meta-Titles and Description

When making the titles, URLs, and meta descriptions, try to keep things as short as possible while maintaining your content's ability to display your finest work in SERPS. Note that you have limited screen space when a consumer explores on a smartphone or tablet.

Implement Local Search Optimizatio

If your business includes a localized component, always remember to optimise the data on the mobile version of your website for local searches. Standardizing your contact details, including your companyname, localaddress, and regionalphone number, as well as your city and state names in the site's metadata, is required.

Different URLs for Smartphone

Making a separate, duplicate website for smartphone visitors is an additional choice. This enables you to produce unique content for customers using smartphones and other mobile devices. Most parallel mobile websites utilize a "m" subdomain to prevent URL ambiguity.

Different Devices

Keep it simple for visitors who land in the incorrect location to move over to access their preferable content because parallel mobile versions may prove just as ineffective as dynamic serving websites at getting users to the correct version.

To improvethe loading time of your website, you will also need to take steps to ensure that all of the website's redirects are set up and as little as feasible. Remember to include <rel="canonical"> tag to prevent duplicating content issues.

Serving in a Dynamic Environment

The URL of your website doesn't change when it's browsed through a smartphone or tablet thanks to a setup known as "dynamic serving," which serves alternative HTML content.

Example Code

Sample 1 Sample 2 Sample 3 Desktop Header Mobile Websites Flexible Website

Conclusion

Nowadays, smartphones and tablets are preferred by people over desktops due to mobility, usability and availability. Thus, it is essential to take into account that the website operates in aneffective mobile-friendly manner. Employ mobile SEO recommendations for your company's website since you've become knowledgeable about the technique.

SEO - Avoid Negative Tactics

Negative SEO Tactics: What Is It?

Anytime one of their competitors attempts to negatively impact the ranks of a competitor's website or web page; they engage in Negative SEO. In addition to being unethical, this practice is often prohibited. Negative SEO in past decades can be described as simple as hacking a website and replacing its source code with dubious popup adverts. Negative SEO has significantly grown darkerand more complicated in recent years.

Negative SEO Tactics: Types

Website Hacking

Though expensive, this strategy may be the most effective. As might be experienced here, a hacker can do whatever they want to a website's SEO performance by manipulating it. It may qualify as a Negative SEO attack if such a breach causes a decrease in search engine visibility.

Making Negative Backlinks to the Website with Spam Anchor Texts

These kinds of unfavourable links are frequently produced by automated tools, link farms, and PBNs (Public Blog Networks). Usually, one or two hundred to many thousands of connections and links are possible.

Gathering Content From Websites And Building A Duplicate Of Them

Producing copies of websites or specific pages of them, using hotlinking to disseminate the fakes over the internet, and other similar tactics are the foundation of this practice.

Falsely Reviewing A Website And Leaving Fake Negative Comments

This strategy may destroy the credibility of a website or a company, which may result in a decline in visitors.

Eliminating Backlinks From A Website By Contacting Publishers With Fraudulent Removal Requests

Company backlink profile might become the focus of hackers attempting to impact your SERP rankings negatively. To convince the website administrators to remove the links referring to your site, they could contact them while posing as an individual or a company working on your behalf.

Spam Link Attacks

The following three techniques can help you find spam links referring to the website that developers did not create −

Identify spammy connections immediately

Monitoring new backlinks that lead to your website is the quickest approach to spot an active link spam attack.

Examine the graphs of referring sites and webpage

To rapidly detect peaks in your backlink profile, utilise the referral domains and webpages graphs provided by the Site Explorer Tools (Ahrefs' Site Explorer).

Examine the report on the anchor

When someone overflows your website with many links, those initial two techniques are the most useful for detecting high-volume cyberattacks. However, identifying an attempt to change your anchor text ratio is simple.

Examine the analysis on Referring IPs

A further indication of a negative SEO attack may be the presence of links on the identical subnet IP from numerous referring domains, as this frequently suggests that the websites are located in the same place.

There is a strong possibility that the same individual is the owner of several sites that are stored in the exact location. Furthermore, a PBN is presumably involved if the same individual manages both. Look at the Referring IPs analysis in Site Explorer to get an overview.

Ways To Respond To An Attempt Involving Link Spam

You need to actively disavow spammy links because it is improbable to have them eliminated.

Faux Link Removal Request

Negative SEO practitioners use this extremely cunning technique by sending emails to websites connected to yourcompany.

Ways Fraudulent Link Requests Could Hurt Your Website

There needs to be no uncertainty as to whether a link spam strategy on your website will succeed. Despite being uncommon, such incidents can have significant consequences. Take the hypothetical loss of many of your most excellent backlinks in one day. Your ranks will plummet as quickly as a meteor as a result.

Ways To Recognise A Link Removal Attempt

Unfortunately, there's no method to prevent false removal requests from being sent out; you have no control over that. To safeguard your backlinks, however, you may monitor for indications of a running link removal attempt and initiate immediate measures if necessary.

Ways to deal with fraudulent requests to remove links

Two options are available after you become suspicious that a link removal attempt has begun to take place −

  • In the unlikely event that your link was already taken down, contact any websites responsible for doing so, inform them that you did not request to remove it, and request their permission to return the link.

  • Keep an increased focus on the backlink notifications if the website is still linking, and if it stops, take the necessary steps to recover any lost connections.

Content Exploitation

Copying of content occurs when a specialist replicates your work and publishes it in its entirety on a different website. Usually, it's not done maliciously. Most of the time, those who steal your website merely look for free content. They aren't intentionally aiming to damage your website, but they still might.

A Website's Vulnerability To Content-Brushing Incident

Whenever information appears on several websites, Google refuses to approve it. Usually, they select a specific version and overlook the others while ranking them.

Ways To Recognise A Brushing Attempt On Content

Copying a portion of text from the website and pasting it into Google with enclosed quotation marks will provide the fastest and most straightforward approach to determining whether your content was maliciously stolen.

Solution Against Content-Scrapping

  • Submit a complaint under the Digital Millennium Copyright Act.

  • Request a reference linkfor crediting.

  • Make sure the internal link framework is correct.

DDoS Case

While DDoS assaults can additionally be regarded as hacking, they try to entirely shut down the website rather than disrupt it. DDoS, or distributed denial-of-service, is an unauthorised attempt to block legitimate traffic and queries from accessing your website by overloading the server or the infrastructure behind it until its hardware and software are depleted.

A DDoS Attack's Detection Method

Be sure to monitor incoming traffic and requests, either yourself or with your technical department. The more powerful DDoS attacks, however, can quickly bring your online operation to a complete stop. But a technical teamaids in detecting the more subtle attacks with DDoS.

Ways To Counter DDoS Assault

In most scenarios, this will be a problem neither you nor the team can deal with effectively.

False Online Review

Pay attention to what comes up when the company name is searched for online. Research every month to get an idea; additional tracking might seem excessive in this case. Report any false reviews you encounter on reviewing services. Expect the platform owners to wait to remove them.

Hacker Accessing Your Website

Negative SEO tactics that cross the boundary into crime include hacking and cyber-attacks.

Identifying Website Breache

This is typically the most straightforward negative SEO tactic to spot out of all those on this page. A website that has been hacked commonly suffers greatly. If you need it, visit the "Security issues" option in Google Search Console.

Ways to Counter Website Hacking

The best defence is prevention. Your website's cybersecurity and server configuration affect its safety.

  • Consider adding a security plugin.

  • Make effective use of credentials.

  • Update both your CMS and your plugins.

  • Allowing security systems to receive regular automatic upgrades.

Conclusion

Negative SEO is quite difficult to succeed in the modern world, as was stated repeatedly throughout the article. Maintain an overview of the amount of traffic to your site and links from other websites, though, as it pays to be on the lookout for threats.

SEO - Misc Techniques

SEO Miscellaneous Techniques: What are they?

There are additionally many further SEO-related recommendations. Since we have not put them in specific categories, we placed them under the general classification. Check down each of these recommendations individually at a time.

Things to Do and Actions to Take

  • Establish required webpages for a Sitemap, support, FAQ, about us, links to our company, copyright, disclaimers, privacy policiesand terms of service.

  • To maximise relevancy with Google, keep lists of web pages containing at least 200 words of text.

  • Watch out for the URLs of your dynamic pages. Avoid using over two parameters within the URL, as Google may be crawling and indexing dynamic websites as long as they don't contain more than two parameters.

  • In order to avoid harming the rating with other websites, be sure that none of your web pages have any broken links.

  • All websites must be simple to navigate and ought to include a hyperlink to the website's homepage.

  • Additional miscellaneous meta tags that provide the web spider precise details include those that do not constitute part of the title, description, or meta keywords. Additionally, the head part of an HTML code incorporates these tags.

Examples of Misc Meta Tags

<meta name="author" content="www.tutorialspoint.com">
<meta name="content-language" content="english">
<meta name="audience" content="all">
<meta name="distribution" content="Kolkata, Kol, East India">
<meta name="distribution" content="global">
<meta name="revisit-after" content="7 days">
<meta name="publisher" content="tutorialspoint">

These were a few examples of Miscellaneous Meta Tags, and there are still more that can be added if you wish.

Things to Avoid and Actions to Prevent

  • Avoid placing concealed messages on your websites.

  • By using inappropriate keywords, avoid creating alternate image spam.

  • Avoid cramming your meta descriptions and meta tags.

  • Avoid using frames and flash playeron your website.

  • Avoid exchanging links with websites that are on the blacklist.

  • Avoid attempting to mislead consumers to your website by utilising misspelled keywords.

  • Avoid sending spam to a vast number of email addresses.

  • Limit the amount of visuals you utilise on your website.

  • Avoid creating too many gateway pages.

  • Avoid attempting to produce duplicated content for web pages.

  • Avoid submitting your website to the same search engine multiple times.

  • Utilise at most 1-2 subdirectories.

  • Avoid creating an excessive number of interactive pages. Try to turn them into pages that remain static.

  • Avoid adding excessive scripts and codesto your website.

  • Your web pages shouldn't be nested.

SEO - Continuous Site Audit

SEO Miscellaneous Techniques: What are they?

The website is one of the most critical tools in your online marketing toolkit, requiring regular sharpening. Site audit papers are essential for providing a thorough examination of your site. A website audit can assist you in identifying those spots that need attention to ensure the site is constantly running optimally.

Site Audit: What Is It?

A site audit offers an extensive review of how your site's pages work. The site audit procedure will provide insight into the site's optimisation level and capacity to reach your traffic goals, from content to technical efficiency.

Site Audit

Different Types of Website Audit

While a thorough website audit will provide a comprehensive view of your site's efficiency, you may additionally concentrate on various sorts of audits that focus on specific areas of your site. This includes the following −

SEO Website Audit

An SEO website audit checks all aspects that might affect the website's performance in search engine results pages. This involves links and covers keyword use, material, metadata, page load time, user experience, and multimedia optimisation.

SEO Link audit

This form of audit examines the links to your website to identify any flaws in your backlink profile. Link audits check the URL source, domain, and anchor text to determine whether or not value and equity (referred to as "link juice") are being passed on to your website. This determines whether a link helps or hurts the site's visibility in SERPs.

Lead conversion optimisation audit

It examines the conversion difficulties on a website. It checks out how and where traffic arrives at your website. Also, review the content of the website. Check that the information is relevant, instructive and updated.

Site design audit

This audit focuses on how people perceive and interact with the website design, emphasising the visual appeal and user experience.

Social Media Audit

If your online presence isn't driving more visitors to your website, you should undertake a social media audit.

Eventually, you can tweak your social networking plans to please your audience further, drawing visitors to the site more successfully.

Competitive Website audit

This site audit looks at your rivals' websites and online strategy to discover what chances your brand could be losing out on. It identifies what works for other organizations in your industry and implements those techniques into your plan.

What Benefits Can Website Audits Offer?

Following are somebenefits of adding a website audit to the top of your list −

Continuous Audit

Analyses your site's performance and optimises it to ensure its technical architecture, infrastructure, and visitor experience remain up to par. Webmasters can assess which landing pages and CTAs can be optimised to increase the number of leads and conversions, as well as spot SEO possibilities in the content of your website.

You may evaluate your website compared to your rivals by doing a website audit. You may assess how well you rank versus competitors for keywords and identify possible new money streams. Finally, this will assist you in developing fresh approaches and plans for your website.

A website audit identifies problems harming your SEO and conversions, such as broken hyperlinks, concealed content, and longer page load times. Recognising these difficulties will assist you in addressing issues that may be draining traffic.

What Are The Steps Required To Perform A Website Audit?

Website Audit
  • Use a site audit tool − Find a website auditing tool that assists in analysing how the website is working. You may obtain precise advice and assess your page's performance by running your site using site audit tools.

  • Look for technical issues − This involves performance, SEO, mobility, and security and can have a detrimental influence on your client's online experience. If visitors don't remain on your site for long, a website audit is an excellent method to determine why.

  • Check SEO issues − Focus on SEO concerns to boost your search engine ranking. This involves revising meta descriptions, picture alt text, and other aspects.

  • Examine the design and user experience − This sort of study will inform you which areas of your design attract the most interest and, what people are reading, how your overall layout and user interface affect your visitors.

  • Examine the site's content − It assists you in evaluating website content, such as blogs and website pages.

  • Generate an audit checklist − With a thorough website audit checklist, you may begin making adjustments yourself or swiftly transfer the information to the right teams.

What Are The Tasks In Continuous Site Auditing Checklist?

Optimize Page Speed: Site performance suffers when picture files or codes are too huge. Conversion rates decrease due to longer page load times.

According to the audience survey, roughly 47% of readers will not wait more than two seconds for a site's content to load. And 40% of visitors will abandon a website that takes three seconds or longer to load. Around 79% of viewers disappear from a website with an irritating loading speed. There are various ways to reduce page speed.

Page Load

Resolve Indexing Issues

Identify websites that Google still needs to index.

The "Index section" in the Google Search Console report fails to properly index a particular website for various reasons.

Check the Google search panel for crawl issues and resolve them as soon as feasible. One should include XML sitemaps on their websites.

Although the site appears error-free, one should always double-check the work. Screaming Frog is a free SEO tool and uses the same process as Google to assess a website. Furthermore, you will be notified if any specific websites are restricted. Investigate any website that claims to be banned.

Monitoring Website traffic

Webmasters come across dramatic drops in site traffic for no reason. The most likely answer is a new Google algorithm upgrade. Using popular analytic measures to monitor your site visitors and knowing what's trending might help you avoid future ranking drops and income losses.

If your website traffic is stagnant or dropping, be calm. Things should start to improve for you when you complete the SEO audit.

On-page SEO audit checklist

The items includeoptimisingmaterial, keywords, headline tags, HTML components, meta-description, etc.

  • The title tag must begin with your targeted keywords.

  • Within the initial 100-word paragraph, use concentrated keywords.

  • External links to additional authoritative and related sources.

  • Internal links to other relevant information.

Regularly check your ranking keyword positions to plan your SEO audit campaign better.

This will allow you to see which search terms create the most traffic, enabling you to utilize them in your content.

Popular keywords related to your niche will also be displayed. Regularly keeping up with current trends can help you publish the best content.

Broken links can lower the rankings by alerting search engines that your site is outdated. A broken link is quite simple to repair.

Using "Crawl errors" in Google Webmaster Tools or an Ahrefs SEO tool can help you locate internal and external links. Once you've found the broken link, approach the webmaster and request that a working link be placed on your website.

Keep an eye on backlinks. Search engines consider backlinks to be a sign of the authority and quality of a site. Make sure you link to powerful, relevant, and credible sources.

Remove or repair any content that is slowing down your website. Look into clearing low-quality material from the site to ensure that Google only reads and ranks the pages with the most value.

Search for Content gaps and analyse competitor sites for better search engine rankings.

Checklist

Conclusion

Remember that performing a site audit is time-consuming, and many of the world's largest corporations have websites that might use improvement. Patience and openness to acknowledging your website defects and discovering strategies to solve them will be your most vital website audit virtues. Here's to your website's good health and peak performance!

SEO - Summary

Nearly all key SEO topics have been discussed in this article. You may have become knowledgeable with the phrases linked to SEO that are utilized most often.

You are now familiar with methods to optimize content from an SEO standpoint, including the anchor, title, alt, metatags, and various other components. Developing quality content on your website is another lesson you've learned. We gave you more suggestions for essential factors that can aid in the optimization of your website in the final section on Miscellaneous Techniques.

Key Components of SEO

Here are the key points recap for you −

  • Search engine optimization, or SEO, is the entire acronym. Interpretation of SEO or a description of SEO: Optimizing a web page's or website's functionality and accessibility to consumers on a search engine is done through an organized process called SEO.

  • Although search engines are incredibly intelligent, they do not constitute people who can comprehend the stuff that interests them; they are programmed algorithms and machines. Thus, if your website build, framework and structure are too complex, the search engine won't be able to interpret the data and content correctly. Therefore, it will negatively affect your SERP rankings.

  • On-Page SEO, Off-Page SEO, and Technical SEO are the three key categories of SEO techniques.

  • A "Black Hat SEO" method is employed to increase SEO but is not authorized by Google or other search engines.

  • White Hat SEO is the practice of using methods to enhance search engine rankings that maintain and improve search engine standards.

  • To optimize a website for users with mobile devices, it must be designed with varying screen sizes and lesser bandwidth in mind. This is known as mobile SEO.

  • The process of composing content for a website in an understandable manner for the consumer is known as SEO copywriting. Additionally, it focuses on particular keywords. Further, it seeks high rankings for the desired keywords in search engines.

More Key Components of SEO

These are ethical methods for getting top placement in SERP

  • The W3C standards have to be followed by every web page of the website.

  • The exploitation of keyword density does not occur.

  • Sitemap.xml, robots.txt, and urllist.txt should always be present.

  • Throughout title tags, metatags, and headings, keywords are used frequently.

  • Your company pay attention to the title and ALT tags.

  • To be indexed, everything must have appropriate nomenclature.

SEO Pyramid

Don't hesitate to contact us with questions or feedback at webmaster@tutorialspoint.com.

Tutorix - AI Tutor
Advertisements