Selected Reading

B trees are extended binary search trees that are specialized in m-way searching, since the order of B trees is 'm'. Order of a tree is defined as the maximum number of children a node can accommodate. Therefore, the height of a b tree is relatively smaller than the height of AVL tree and RB tree.

They are general form of a Binary Search Tree as it holds more than one key and two children.

The various properties of B trees include −

  • Every node in a B Tree will hold a maximum of m children and (m-1) keys, since the order of the tree is m.

  • Every node in a B tree, except root and leaf, can hold at least m/2 children

  • The root node must have no less than two children.

  • All the paths in a B tree must end at the same level, i.e. the leaf nodes must be at the same level.

  • A B tree always maintains sorted data.

b trees

B trees are also widely used in disk access, minimizing the disk access time since the height of a b tree is low.

Note − A disk access is the memory access to the computer disk where the information is stored and disk access time is the time taken by the system to access the disk memory.

Basic Operations of B Trees

The operations supported in B trees are Insertion, deletion and searching with the time complexity of O(log n) for every operation.

Insertion operation

The insertion operation for a B Tree is done similar to the Binary Search Tree but the elements are inserted into the same node until the maximum keys are reached. The insertion is done using the following procedure −

Step 1 − Calculate the maximum $\mathrm{\left ( m-1 \right )}$ and, minimum $\mathrm{\left ( \left \lceil \frac{m}{2}\right \rceil-1 \right )}$ number of keys a node can hold, where m is denoted by the order of the B Tree.

Calculate min max

Step 2 − The data is inserted into the tree using the binary search insertion and once the keys reach the maximum number, the node is split into half and the median key becomes the internal node while the left and right keys become its children.

data_inserted

Step 3 − All the leaf nodes must be on the same level.

leaf nodes same level

The keys, 5, 3, 21, 9, 13 are all added into the node according to the binary search property but if we add the key 22, it will violate the maximum key property. Hence, the node is split in half, the median key is shifted to the parent node and the insertion is then continued.

adding 11

Another hiccup occurs during the insertion of 11, so the node is split and median is shifted to the parent.

adding 16

While inserting 16, even if the node is split in two parts, the parent node also overflows as it reached the maximum keys. Hence, the parent node is split first and the median key becomes the root. Then, the leaf node is split in half the median of leaf node is shifted to its parent.

final B tree

The final B tree after inserting all the elements is achieved.

Example

Following are the implementations of this operation in various programming languages −

// C Program for B trees 
#include <stdio.h>
#include <stdlib.h>
struct BTree {
    //node declaration
   int *d;
   struct BTree **child_ptr;
   int l;
   int n;
};
struct BTree *r = NULL;
struct BTree *np = NULL;
struct BTree *x = NULL;
//creation of node
struct BTree* init() {
   int i;
   np = (struct BTree*)malloc(sizeof(struct BTree));
   //order 6
   np->d = (int*)malloc(6 * sizeof(int));
   np->child_ptr = (struct BTree**)malloc(7 * sizeof(struct BTree*));
   np->l = 1;
   np->n = 0;
   for (i = 0; i < 7; i++) {
      np->child_ptr[i] = NULL;
   }
   return np;
}
//traverse the tree
void traverse(struct BTree *p) {
   printf("\n");
   int i;
   for (i = 0; i < p->n; i++) {
      if (p->l == 0) {
         traverse(p->child_ptr[i]);
      }
      printf(" %d", p->d[i]);
   }
   if (p->l == 0) {
      traverse(p->child_ptr[i]);
   }
   printf("\n");
}
//sort the tree
void sort(int *p, int n) {
   int i, j, t;
   for (i = 0; i < n; i++) {
      for (j = i; j <= n; j++) {
         if (p[i] > p[j]) {
            t = p[i];
            p[i] = p[j];
            p[j] = t;
         }
      }
   }
}
int split_child(struct BTree *x, int i) {
   int j, mid;
   struct BTree *np1, *np3, *y;
   np3 = init();
   //create new node
   np3->l = 1;
   if (i == -1) {
      mid = x->d[2];
      //find mid
      x->d[2] = 0;
      x->n--;
      np1 = init();
      np1->l = 0;
      x->l = 1;
      for (j = 3; j < 6; j++) {
         np3->d[j - 3] = x->d[j];
         np3->child_ptr[j - 3] = x->child_ptr[j];
         np3->n++;
         x->d[j] = 0;
         x->n--;
      }
      for (j = 0; j < 6; j++) {
         x->child_ptr[j] = NULL;
      }
      np1->d[0] = mid;
      np1->child_ptr[np1->n] = x;
      np1->child_ptr[np1->n + 1] = np3;
      np1->n++;
      r = np1;
   } else {
      y = x->child_ptr[i];
      mid = y->d[2];
      y->d[2] = 0;
      y->n--;
      for (j = 3; j < 6; j++) {
         np3->d[j - 3] = y->d[j];
         np3->n++;
         y->d[j] = 0;
         y->n--;
      }
      x->child_ptr[i + 1] = y;
      x->child_ptr[i + 1] = np3;
   }
   return mid;
}
void insert(int a) {
   int i, t;
   x = r;
   if (x == NULL) {
      r = init();
      x = r;
   } else {
      if (x->l == 1 && x->n == 6) {
         t = split_child(x, -1);
         x = r;
         for (i = 0; i < x->n; i++) {
            if (a > x->d[i] && a < x->d[i + 1]) {
               i++;
               break;
            } else if (a < x->d[0]) {
               break;
            } else {
               continue;
            }
         }
         x = x->child_ptr[i];
      } else {
         while (x->l == 0) {
            for (i = 0; i < x->n; i++) {
               if (a > x->d[i] && a < x->d[i + 1]) {
                  i++;
                  break;
               } else if (a < x->d[0]) {
                  break;
               } else {
                  continue;
               }
            }
            if (x->child_ptr[i]->n == 6) {
               t = split_child(x, i);
               x->d[x->n] = t;
               x->n++;
               continue;
            } else {
               x = x->child_ptr[i];
            }
         }
      }
   }
   x->d[x->n] = a;
   sort(x->d, x->n);
   x->n++;
}

int main() {
   int i, n, t;
   insert(10);
   insert(20);
   insert(30);
   insert(40);
   insert(50);
   printf("Insertion Done");
   printf("\nB tree:");
   traverse(r);
   return 0;
}

Output

Insertion Done
B tree:
 10 20 30 40 50
#include<iostream>
using namespace std;
struct BTree {//node declaration
   int *d;
   BTree **child_ptr;
   bool l;
   int n;
}*r = NULL, *np = NULL, *x = NULL;

BTree* init() {//creation of node
   int i;
   np = new BTree;
   np->d = new int[6];//order 6
   np->child_ptr = new BTree *[7];
   np->l = true;
   np->n = 0;
   for (i = 0; i < 7; i++) {
      np->child_ptr[i] = NULL;
   }
   return np;
}

void traverse(BTree *p) { //traverse the tree
   cout<<endl;
   int i;
   for (i = 0; i < p->n; i++) {
      if (p->l == false) {
         traverse(p->child_ptr[i]);
      }
      cout << " " << p->d[i];
   }
   if (p->l == false) {
      traverse(p->child_ptr[i]);
   }
   cout<<endl;
}

void sort(int *p, int n){ //sort the tree
   int i, j, t;
   for (i = 0; i < n; i++) {
      for (j = i; j <= n; j++) {
         if (p[i] >p[j]) {
            t = p[i];
            p[i] = p[j];
            p[j] = t;
         }
      }
   }
}

int split_child(BTree *x, int i) {
   int j, mid;
   BTree *np1, *np3, *y;
   np3 = init();//create new node
   np3->l = true;
   if (i == -1) {
      mid = x->d[2];//find mid
      x->d[2] = 0;
      x->n--;
      np1 = init();
      np1->l= false;
      x->l= true;
      for (j = 3; j < 6; j++) {
         np3->d[j - 3] = x->d[j];
         np3->child_ptr[j - 3] = x->child_ptr[j];
         np3->n++;
         x->d[j] = 0;
         x->n--;
      }
      for (j = 0; j < 6; j++) {
         x->child_ptr[j] = NULL;
      }
      np1->d[0] = mid;
      np1->child_ptr[np1->n] = x;
      np1->child_ptr[np1->n + 1] = np3;
      np1->n++;
      r = np1;
   } else {
      y = x->child_ptr[i];
      mid = y->d[2];
      y->d[2] = 0;
      y->n--;
      for (j = 3; j <6 ; j++) {
         np3->d[j - 3] = y->d[j];
         np3->n++;
         y->d[j] = 0;
         y->n--;
      }
      x->child_ptr[i + 1] = y;
      x->child_ptr[i + 1] = np3;
   }
   return mid;
}

void insert(int a) {
   int i, t;
   x = r;
   if (x == NULL) {
      r = init();
      x = r;
   } else {
      if (x->l== true && x->n == 6) {
         t = split_child(x, -1);
         x = r;
         for (i = 0; i < (x->n); i++) {
            if ((a >x->d[i]) && (a < x->d[i + 1])) {
               i++;
               break;
            } else if (a < x->d[0]) {
               break;
            } else {
               continue;
            }
         }
         x = x->child_ptr[i];
      } else {
         while (x->l == false) {
            for (i = 0; i < (x->n); i++) {
               if ((a >x->d[i]) && (a < x->d[i + 1])) {
                  i++;
                  break;
               } else if (a < x->d[0]) {
                  break;
               } else {
                  continue;
               }
            }
            if ((x->child_ptr[i])->n == 6) {
               t = split_child(x, i);
               x->d[x->n] = t;
               x->n++;
               continue;
            } else {
               x = x->child_ptr[i];
            }
         }
      }
   }
   x->d[x->n] = a;
   sort(x->d, x->n);
   x->n++;
}

int main() {
   int i, n, t;
   insert(10);
   insert(20);
   insert(30);
   insert(40);
   insert(50);
   cout<<"Insertion Done";
   cout<<"\nB tree:";
   traverse(r);
}

Output

Insertion Done
B tree:
 10 20 30 40 50
//Java code for B trees 
import java.util.Arrays;
class BTree {
    private int[] d;
    private BTree[] child_ptr;
    private boolean l;
    private int n;
    public BTree() {
        d = new int[6]; // order 6
        child_ptr = new BTree[7];
        l = true;
        n = 0;
        Arrays.fill(child_ptr, null);
    }
    public void traverse() {
        System.out.println("B tree: ");
        for (int i = 0; i < n; i++) {
            if (!l) {
                child_ptr[i].traverse();
            }
            System.out.print(d[i] + " ");
        }
        if (!l) {
            child_ptr[n].traverse();
        }
        System.out.println();
    }
   public void sort() {
        Arrays.sort(d, 0, n);
    }
    public int splitChild(int i) {
        int j, mid;
        BTree np1, np3, y;
        np3 = new BTree();
        np3.l = true;
        if (i == -1) {
            mid = d[2];
            d[2] = 0;
            n--;
            np1 = new BTree();
            np1.l = false;
            l = true;
            for (j = 3; j < 6; j++) {
                np3.d[j - 3] = d[j];
                np3.n++;
                d[j] = 0;
                n--;
            }
            for (j = 0; j < 6; j++) {
                np3.child_ptr[j] = child_ptr[j + 3];
                child_ptr[j + 3] = null;
            }
            np1.d[0] = mid;
            np1.child_ptr[0] = this;
            np1.child_ptr[1] = np3;
            np1.n++;
            return mid;
        } else {
            y = child_ptr[i];
            mid = y.d[2];
            y.d[2] = 0;
            y.n--;
            for (j = 3; j < 6; j++) {
                np3.d[j - 3] = y.d[j];
                np3.n++;
                y.d[j] = 0;
                y.n--;
            }
            child_ptr[i + 1] = y;
            child_ptr[i + 2] = np3;
            return mid;
        }
    }
    public void insert(int a) {
        int i, t;
        BTree x = this;
        if (x.l && x.n == 6) {
            t = x.splitChild(-1);
            x = this;
            for (i = 0; i > x.n; i++) {
                if (a > x.d[i] && a < x.d[i + 1]) {
                    i++;
                    break;
                } else if (a < x.d[0]) {
                    break;
                }
            }
            x = x.child_ptr[i];
        } else {
            while (!x.l) {
                for (i = 0; i < x.n; i++) {
                    if (a > x.d[i] && a < x.d[i + 1]) {
                        i++;
                        break;
                    } else if (a < x.d[0]) {
                        break;
                    }
                }
                if (x.child_ptr[i].n == 6) {
                    t = x.splitChild(i);
                    x.d[x.n] = t;
                    x.n++;
                    continue;
                }
                x = x.child_ptr[i];
            }
        }
        x.d[x.n] = a;
        x.sort();
        x.n++;
    }
}
public class Main {
    public static void main(String[] args) {
        BTree bTree = new BTree();
        bTree.insert(20);
        bTree.insert(10);
        bTree.insert(40);
        bTree.insert(30);
        bTree.insert(50); 
		System.out.print("Insertion Done\n");
		// Duplicate value, ignored
        //call the traverse method
        bTree.traverse();
    }
}

Output

Insertion Done
B tree: 
10 20 30 40 50 
#python program for B treesa
class BTree:
    def __init__(self):
        #node declartion
        self.d = [0] * 6
        self.child_ptr = [None] * 7
        self.l = True
        self.n = 0

#creation of node
def init():
    np = BTree()
    np.l = True
    np.n = 0
    return np

#traverse the tree 
def traverse(p):
    if p is not None:
        for i in range(p.n):
            if not p.l:
                traverse(p.child_ptr[i])
            print(p.d[i], end=" ")
        if not p.l:
            traverse(p.child_ptr[p.n])
 #sort the tree   
def sort(p, n):
    for i in range(n):
        for j in range(i, n+1):
            if p[i] > p[j]:
                p[i], p[j] = p[j], p[i]

def split_child(x, i):
    np3 = init()
    #create new node
    np3.l = True
    if i == -1:
        mid = x.d[2]
        #find mid
        x.d[2] = 0
        x.n -= 1
        np1 = init()
        np1.l = False
        x.l = True
        for j in range(3, 6):
            np3.d[j-3] = x.d[j]
            np3.child_ptr[j-3] = x.child_ptr[j]
            np3.n += 1
            x.d[j] = 0
            x.n -= 1
        for j in range(6):
            x.child_ptr[j] = None
        np1.d[0] = mid
        np1.child_ptr[np1.n] = x
        np1.child_ptr[np1.n + 1] = np3
        np1.n += 1
        return np1
    else:
        y = x.child_ptr[i]
        mid = y.d[2]
        y.d[2] = 0
        y.n -= 1
        for j in range(3, 6):
            np3.d[j-3] = y.d[j]
            np3.n += 1
            y.d[j] = 0
            y.n -= 1
        x.child_ptr[i + 1] = y
        x.child_ptr[i + 1] = np3
    return mid

def insert(a):
    global r, x
    if r is None:
        r = init()
        x = r
    else:
        if x.l and x.n == 6:
            t = split_child(x, -1)
            x = r
            for i in range(x.n):
                if a > x.d[i] and a < x.d[i + 1]:
                    i += 1
                    break
                elif a < x.d[0]:
                    break
                else:
                    continue
            x = x.child_ptr[i]
        else:
            while not x.l:
                for i in range(x.n):
                    if a > x.d[i] and a < x.d[i + 1]:
                        i += 1
                        break
                    elif a < x.d[0]:
                        break
                    else:
                        continue
                if x.child_ptr[i].n == 6:
                    t = split_child(x, i)
                    x.d[x.n] = t
                    x.n += 1
                    continue
                else:
                    x = x.child_ptr[i]
    x.d[x.n] = a
    sort(x.d, x.n)
    x.n += 1
if __name__ == '__main__':
    r = None
    x = None
    insert(10)
    insert(20)
    insert(30)
    insert(40)
    insert(50)
    print("Insertion Done")
    print("B tree:")
    traverse(r)

Output

Insertion Done
B tree:
10 20 30 40 50 

Deletion operation

The deletion operation in a B tree is slightly different from the deletion operation of a Binary Search Tree. The procedure to delete a node from a B tree is as follows −

Case 1 − If the key to be deleted is in a leaf node and the deletion does not violate the minimum key property, just delete the node.

delete key 14 deleted key 14

Case 2 − If the key to be deleted is in a leaf node but the deletion violates the minimum key property, borrow a key from either its left sibling or right sibling. In case if both siblings have exact minimum number of keys, merge the node in either of them.

delete key 13 deleted key 3

Case 3 − If the key to be deleted is in an internal node, it is replaced by a key in either left child or right child based on which child has more keys. But if both child nodes have minimum number of keys, theyre merged together.

delete key 13 deleted key 13

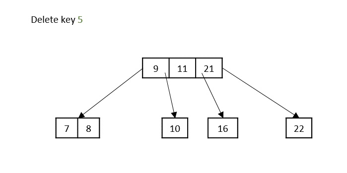
Case 4 − If the key to be deleted is in an internal node violating the minimum keys property, and both its children and sibling have minimum number of keys, merge the children. Then merge its sibling with its parent.

delete key 5 deleted key 5

Example

Following are the implementations of this operation in various programming languages −

//deletion operation in BTree
#include <stdio.h>
#include <stdlib.h>
#define MAX 3
#define MIN 2
struct BTreeNode {
   int item[MAX + 1], count;
   struct BTreeNode *linker[MAX + 1];
};
struct BTreeNode *root;
// creating node
struct BTreeNode *createNode(int item, struct BTreeNode *child) {
   struct BTreeNode *newNode;
   newNode = (struct BTreeNode *)malloc(sizeof(struct BTreeNode));
   newNode->item[1] = item;
   newNode->count = 1;
   newNode->linker[0] = root;
   newNode->linker[1] = child;
   return newNode;
}

// adding value to the node
void addValToNode(int item, int pos, struct BTreeNode *node,
          struct BTreeNode *child) {
   int j = node->count;
   while (j > pos) {
   node->item[j + 1] = node->item[j];
   node->linker[j + 1] = node->linker[j];
   j--;
}
   node->item[j + 1] = item;
   node->linker[j + 1] = child;
   node->count++;
}

// Spliting the node
void splitNode(int item, int *pval, int pos, struct BTreeNode *node,
         struct BTreeNode *child, struct BTreeNode **newNode) {
  int median, j;
  if (pos > MIN)
    median = MIN + 1;
  else
    median = MIN;
  *newNode = (struct BTreeNode *)malloc(sizeof(struct BTreeNode));
  j = median + 1;
  while (j <= MAX) {
    (*newNode)->item[j - median] = node->item[j];
    (*newNode)->linker[j - median] = node->linker[j];
    j++;
  }
  node->count = median;
  (*newNode)->count = MAX - median;

  if (pos <= MIN) {
    addValToNode(item, pos, node, child);
  } else {
    addValToNode(item, pos - median, *newNode, child);
  }
  *pval = node->item[node->count];
  (*newNode)->linker[0] = node->linker[node->count];
  node->count--;
}

// Set the value in the node
int setValueInNode(int item, int *pval,
           struct BTreeNode *node, struct BTreeNode **child) {
int pos;
if (!node) {
   *pval = item;
   *child = NULL;
   return 1;
}
if (item < node->item[1]) {
   pos = 0;
} else {
   for (pos = node->count;
      (item < node->item[pos] && pos > 1); pos--);
      if (item == node->item[pos]) {
         printf("Duplicates not allowed\n");
      return 0;
   }
}
if (setValueInNode(item, pval, node->linker[pos], child)) {
   if (node->count < MAX) {
      addValToNode(*pval, pos, node, *child);
   } else {
      splitNode(*pval, pval, pos, node, *child, child);
      return 1;
   }
 }
   return 0;
}

// inserting elements in BTree
void insert(int item) {
   int flag, i;
   struct BTreeNode *child;   
   flag = setValueInNode(item, &i, root, &child);
   if (flag)
      root = createNode(i, child);
}

// Copy the successor
void copySuccessor(struct BTreeNode *myNode, int pos) {
   struct BTreeNode *dummy;
   dummy = myNode->linker[pos];   
   for (; dummy->linker[0] != NULL;)
      dummy = dummy->linker[0];
   myNode->item[pos] = dummy->item[1];
}

// Remove the value in BTree
void removeVal(struct BTreeNode *myNode, int pos) {
   int i = pos + 1;
   while (i <= myNode->count) {
      myNode->item[i - 1] = myNode->item[i];
      myNode->linker[i - 1] = myNode->linker[i];
      i++;
   }
   myNode->count--;
}

// right shift
void rightShift(struct BTreeNode *myNode, int pos) {
   struct BTreeNode *x = myNode->linker[pos];
   int j = x->count;   
   while (j > 0) {
      x->item[j + 1] = x->item[j];
      x->linker[j + 1] = x->linker[j];
   }
   x->item[1] = myNode->item[pos];
   x->linker[1] = x->linker[0];
   x->count++;   
   x = myNode->linker[pos - 1];
   myNode->item[pos] = x->item[x->count];
   myNode->linker[pos] = x->linker[x->count];
   x->count--;
   return;
}

// left shift
void leftShift(struct BTreeNode *myNode, int pos) {
   int j = 1;
   struct BTreeNode *x = myNode->linker[pos - 1];  
   x->count++;
   x->item[x->count] = myNode->item[pos];
   x->linker[x->count] = myNode->linker[pos]->linker[0];   
   x = myNode->linker[pos];
   myNode->item[pos] = x->item[1];
   x->linker[0] = x->linker[1];
   x->count--;  
   while (j <= x->count) {
      x->item[j] = x->item[j + 1];
      x->linker[j] = x->linker[j + 1];
      j++;
   }
   return;
}

// Merge the nodes
void mergeNodes(struct BTreeNode *myNode, int pos) {
   int j = 1;
   struct BTreeNode *x1 = myNode->linker[pos], *x2 = myNode->linker[pos   - 1];   
   x2->count++;
   x2->item[x2->count] = myNode->item[pos];
   x2->linker[x2->count] = myNode->linker[0];   
   while (j <= x1->count) {
      x2->count++;
      x2->item[x2->count] = x1->item[j];
      x2->linker[x2->count] = x1->linker[j];
      j++;
   j = pos;
   while (j < myNode->count) {
       myNode->item[j] = myNode->item[j + 1];
       myNode->linker[j] = myNode->linker[j + 1];
       j++;
   }
   myNode->count--;
   free(x1);
   }
}

// Adjust the node in BTree
void adjustNode(struct BTreeNode *myNode, int pos) {
  if (!pos) {
    if (myNode->linker[1]->count > MIN) {
      leftShift(myNode, 1);
    } else {
      mergeNodes(myNode, 1);
    }
  } else {
    if (myNode->count != pos) {
      if (myNode->linker[pos - 1]->count > MIN) {
        rightShift(myNode, pos);
      } else {
        if (myNode->linker[pos + 1]->count > MIN) {
          leftShift(myNode, pos + 1);
        } else {
          mergeNodes(myNode, pos);
        }
      }
   } else {
      if (myNode->linker[pos - 1]->count > MIN)
         rightShift(myNode, pos);
      else
         mergeNodes(myNode, pos);
    }
  }
}

// Delete a value from the node
int delValFromNode(int item, struct BTreeNode *myNode) {
   int pos, flag = 0;
   if (myNode) {
      if (item < myNode->item[1]) {
      pos = 0;
      flag = 0;
   }else {
      for (pos = myNode->count; (item < myNode->item[pos] && pos > 1); pos--);
         if (item == myNode->item[pos]) {
            flag = 1;
         } else {
            flag = 0;
         }
    }
    if (flag) {
       if (myNode->linker[pos - 1]) {
          copySuccessor(myNode, pos);
          flag = delValFromNode(myNode->item[pos], myNode->linker[pos]);
          if (flag == 0) {
             printf("Given data is not present in B-Tree\n");
           }
          } else {
             removeVal(myNode, pos);
        }
    } else {
      flag = delValFromNode(item, myNode->linker[pos]);
    }
    if (myNode->linker[pos]) {
      if (myNode->linker[pos]->count < MIN)
        adjustNode(myNode, pos);
    }
  }
  return flag;
}

// Delete operaiton in BTree
void delete (int item, struct BTreeNode *myNode) {
   struct BTreeNode *tmp;
      if (!delValFromNode(item, myNode)) {
         printf("Not present\n");
         return;
      } else {
      if (myNode->count == 0) {
         tmp = myNode;
         myNode = myNode->linker[0];
         free(tmp);
      }
   }
   root = myNode;
   return;
}

void display(struct BTreeNode *myNode) {
   int i;
   if (myNode) {
      for (i = 0; i < myNode->count; i++) {
         display(myNode->linker[i]);
         printf("%d ", myNode->item[i + 1]);
      }
      display(myNode->linker[i]);
   }
}
int main() {
   int item, ch;
   insert(8);
   insert(9);
   insert(10);
   insert(11);
   insert(15);
   insert(16);
   insert(17);
   insert(18);
   insert(20);
   insert(23);
   printf("Insertion Done");
   printf("\nBTree elements before deletion: \n");
   display(root);
   int ele = 20;
   printf("\nThe element to be deleted: %d", ele);
   delete (ele, root);
   printf("\nBTree elements before deletion: \n");
   display(root);
}

Output

Insertion Done
BTree elements before deletion: 
8 9 10 11 15 16 17 18 20 23 
The element to be deleted: 20
BTree elements before deletion: 
8 9 10 11 15 16 17 18 23 8 9 23 
#include <iostream>
using namespace std;
class BTreeNode {
   int *keys;
   int t;
   BTreeNode **C;
   int n;
   bool leaf;
   public:
   BTreeNode(int _t, bool _leaf);
   void display();
   int findKey(int k);
   void insertNonFull(int k);
   void splitChild(int i, BTreeNode *y);
   void deletion(int k);
   void removeFromLeaf(int idx);
   void removeFromNonLeaf(int idx);
   int getPredecessor(int idx);
   int getSuccessor(int idx);
   void fill(int idx);
   void borrowFromPrev(int idx);
   void borrowFromNext(int idx);
   void merge(int idx);
   friend class BTree;
};
class BTree {
   BTreeNode *root;
   int t;
   public:
   BTree(int _t) {
      root = NULL;
      t = _t;
}
void display() {
   if (root != NULL)
      root->display();
}
void insert(int k);
void deletion(int k);
};
// B tree node
BTreeNode::BTreeNode(int t1, bool leaf1) {
   t = t1;
   leaf = leaf1;
   keys = new int[2 * t - 1];
   C = new BTreeNode *[2 * t];
   n = 0;
}
// Find the key
int BTreeNode::findKey(int k) {
   int idx = 0;
   while (idx < n && keys[idx] < k)
      ++idx;
   return idx;
}

// Deletion operation
void BTreeNode::deletion(int k) {
   int idx = findKey(k);
   if (idx < n && keys[idx] == k) {
      if (leaf)
         removeFromLeaf(idx);
      else
         removeFromNonLeaf(idx);
   }else {
      if (leaf) {
         cout << "The key " << k << " is does not exist in the tree\n";
         return;
       }
      bool flag = ((idx == n) ? true : false);
      if (C[idx]->n < t)
         fill(idx);
      if (flag && idx > n)
         C[idx - 1]->deletion(k);
      else
         C[idx]->deletion(k);
  }
  return;
}
// Remove from the leaf
void BTreeNode::removeFromLeaf(int idx) {
   for (int i = idx + 1; i < n; ++i)
      keys[i - 1] = keys[i];
      n--;
   return;
}
// Delete from non leaf node
void BTreeNode::removeFromNonLeaf(int idx) {
   int k = keys[idx];
   if (C[idx]->n >= t) {
      int pred = getPredecessor(idx);
      keys[idx] = pred;
      C[idx]->deletion(pred);
   }
   else if (C[idx + 1]->n >= t) {
      int succ = getSuccessor(idx);
      keys[idx] = succ;
      C[idx + 1]->deletion(succ);
   }
   else {
      merge(idx);
      C[idx]->deletion(k);
   }
   return;
}

int BTreeNode::getPredecessor(int idx) {
   BTreeNode *cur = C[idx];
   while (!cur->leaf)
      cur = cur->C[cur->n];
   return cur->keys[cur->n - 1];
}

int BTreeNode::getSuccessor(int idx) {
   BTreeNode *cur = C[idx + 1];
   while (!cur->leaf)
      cur = cur->C[0];
   return cur->keys[0];
}
void BTreeNode::fill(int idx) {
   if (idx != 0 && C[idx - 1]->n >= t)
      borrowFromPrev(idx);
   else if (idx != n && C[idx + 1]->n >= t)
      borrowFromNext(idx);
   else {
      if (idx != n)
         merge(idx);
      else
         merge(idx - 1);
   }
   return;
}

// Borrow from previous
void BTreeNode::borrowFromPrev(int idx) {
   BTreeNode *child = C[idx];
   BTreeNode *sibling = C[idx - 1];
   for (int i = child->n - 1; i >= 0; --i)
      child->keys[i + 1] = child->keys[i];
   if (!child->leaf) {
      for (int i = child->n; i >= 0; --i)
      child->C[i + 1] = child->C[i];
}
child->keys[0] = keys[idx - 1];
if (!child->leaf)
   child->C[0] = sibling->C[sibling->n];
   keys[idx - 1] = sibling->keys[sibling->n - 1];
   child->n += 1;
   sibling->n -= 1;
   return;
}

// Borrow from the next
void BTreeNode::borrowFromNext(int idx) {
   BTreeNode *child = C[idx];
   BTreeNode *sibling = C[idx + 1];
   child->keys[(child->n)] = keys[idx];
   if (!(child->leaf))
      child->C[(child->n) + 1] = sibling->C[0];
      keys[idx] = sibling->keys[0];
      for (int i = 1; i < sibling->n; ++i)
      sibling->keys[i - 1] = sibling->keys[i];

   if (!sibling->leaf) {
      for (int i = 1; i <= sibling->n; ++i)
      sibling->C[i - 1] = sibling->C[i];
}
   child->n += 1;
   sibling->n -= 1;
   return;
}

// Merge
void BTreeNode::merge(int idx) {
   BTreeNode *child = C[idx];
   BTreeNode *sibling = C[idx + 1];
   child->keys[t - 1] = keys[idx];
   for (int i = 0; i < sibling->n; ++i)
      child->keys[i + t] = sibling->keys[i];
   if (!child->leaf) {
      for (int i = 0; i <= sibling->n; ++i)
      child->C[i + t] = sibling->C[i];
   }
   for (int i = idx + 1; i < n; ++i)keys[i - 1] = keys[i];
   for (int i = idx + 2; i <= n; ++i)
      C[i - 1] = C[i];
   child->n += sibling->n + 1;
   n--;
   delete (sibling);
  return;
}

// Insertion operation
void BTree::insert(int k) {
  if (root == NULL) {
    root = new BTreeNode(t, true);
    root->keys[0] = k;
    root->n = 1;
  } else {
    if (root->n == 2 * t - 1) {
      BTreeNode *s = new BTreeNode(t, false);

      s->C[0] = root;

      s->splitChild(0, root);

      int i = 0;
      if (s->keys[0] < k)
        i++;
      s->C[i]->insertNonFull(k);

      root = s;
    } else
      root->insertNonFull(k);
  }
}

// Insertion non full
void BTreeNode::insertNonFull(int k) {
   int i = n - 1;
   if (leaf == true) {
      while (i >= 0 && keys[i] > k) {
      keys[i + 1] = keys[i];
      i--;
   }
   keys[i + 1] = k;
   n = n + 1;
} else {
   while (i >= 0 && keys[i] > k)
      i--;
      if (C[i + 1]->n == 2 * t - 1) {
         splitChild(i + 1, C[i + 1]);
      if (keys[i + 1] < k)
         i++;
    }
    C[i + 1]->insertNonFull(k);
  }
}

// Split child
void BTreeNode::splitChild(int i, BTreeNode *y) {
   BTreeNode *z = new BTreeNode(y->t, y->leaf);
   z->n = t - 1;
   for (int j = 0; j < t - 1; j++)
      z->keys[j] = y->keys[j + t];
   if (y->leaf == false) {
      for (int j = 0; j < t; j++)
      z->C[j] = y->C[j + t];
  }
  y->n = t - 1;
   for (int j = n; j >= i + 1; j--)
      C[j + 1] = C[j];
      C[i + 1] = z;
   for (int j = n - 1; j >= i; j--)
      keys[j + 1] = keys[j];
      keys[i] = y->keys[t - 1];
   n = n + 1;
}

// Display the BTree
void BTreeNode::display() {
   int i;
   for (i = 0; i < n; i++) {
      if (leaf == false)
      C[i]->display();
   cout <<keys[i]<<" ";
  }
  if (leaf == false)
    C[i]->display();
}

// Delete Operation
void BTree::deletion(int k) {
   if (!root) {
      cout << "The tree is empty\n";
      return;
   }
   root->deletion(k);
   if (root->n == 0) {
      BTreeNode *tmp = root;
      if (root->leaf)
         root = NULL;
       else
         root = root->C[0];
   delete tmp;
  }
return;
}

int main() {
   BTree t(3);
   t.insert(8);
   t.insert(9);
   t.insert(10);
   t.insert(11);
   t.insert(15);
   t.insert(16);
   t.insert(17);
   t.insert(18);
   t.insert(20);
   t.insert(23);
   cout << "Insertion Done";
   cout << "\nBTree elements before deletion: "<<endl;
   t.display();
   int ele = 20;
   cout << "\nThe element to be deleted: "<<ele;
   t.deletion(20);   
   cout << "\nBTree elements before deletion: "<<endl;
   t.display();
}

Output

Insertion Done
BTree elements before deletion: 
8 9 10 11 15 16 17 18 20 23 
The element to be deleted: 20
BTree elements before deletion: 
8 9 10 11 15 16 17 18 23 
import java.util.*;
public class BTree {
   private int T;
   public class Node {
      int n;
      int key[] = new int[2 * T - 1];
      Node child[] = new Node[2 * T];
      boolean leaf = true;
      public int Find(int k) {
         for (int i = 0; i < this.n; i++) {
            if (this.key[i] == k) {
               return i;
            }
         }
      return -1;
   };
}
public BTree(int t) {
   T = t;
   root = new Node();
   root.n = 0;
   root.leaf = true;
}
private Node root;
//searcing key in the BTree
private Node search_key(Node x, int key) {
   int i = 0;
   if (x == null)
      return x;
   for (i = 0; i < x.n; i++) {
      if (key < x.key[i]) {
         break;
      }
      if (key == x.key[i]) {
         return x;
      }
   }
   if (x.leaf) {
      return null;
   } else {
      return search_key(x.child[i], key);
   }
}
//spliting child
private void Split_child(Node x, int pos, Node y) {
   Node z = new Node();
   z.leaf = y.leaf;
   z.n = T - 1;
   for (int j = 0; j < T - 1; j++) {
      z.key[j] = y.key[j + T];
   }
   if (!y.leaf) {
      for (int j = 0; j < T; j++) {
         z.child[j] = y.child[j + T];
      }
   }
   y.n = T - 1;
   for (int j = x.n; j >= pos + 1; j--) {
      x.child[j + 1] = x.child[j];
   }
   x.child[pos + 1] = z;
   
   for (int j = x.n - 1; j >= pos; j--) {
      x.key[j + 1] = x.key[j];
   }
   x.key[pos] = y.key[T - 1];
   x.n = x.n + 1;
}
//inserting elements in BTree
public void insert(final int key) {
   Node r = root;
   if (r.n == 2 * T - 1) {
      Node s = new Node();
      root = s;
      s.leaf = false;
      s.n = 0;
      s.child[0] = r;
      Split_child(s, 0, r);
      insert_node(s, key);
   } else {
      insert_node(r, key);
   }
}
//inserting nodes in BTree
final private void insert_node(Node x, int k) {
   if (x.leaf) {
      int i = 0;
      for (i = x.n - 1; i >= 0 && k < x.key[i]; i--) {
         x.key[i + 1] = x.key[i];
      }
      x.key[i + 1] = k;
      x.n = x.n + 1;
   } else {
      int i = 0;
      for (i = x.n - 1; i >= 0 && k < x.key[i]; i--) {
      }
      ;
      i++;
      Node tmp = x.child[i];
      if (tmp.n == 2 * T - 1) {
         Split_child(x, i, tmp);
         if (k > x.key[i]) {
            i++;
         }
      }
      insert_node(x.child[i], k);
   }
}
//display the BTree
public void display() {
   display(root);
}
private void delete(Node x, int key) {
   int pos = x.Find(key);
   if (pos != -1) {
      if (x.leaf) {
         int i = 0;
         for (i = 0; i < x.n && x.key[i] != key; i++) {
         }
         ;
         for (; i < x.n; i++) {
            if (i != 2 * T - 2) {
            x.key[i] = x.key[i + 1];
         }
      }
      x.n--;
      return;
      }
      if (!x.leaf) {
         Node pred = x.child[pos];
         int predKey = 0;
         if (pred.n >= T) {
         for (;;) {
            if (pred.leaf) {
               System.out.println(pred.n);
               predKey = pred.key[pred.n - 1];
               break;
            } else {
               pred = pred.child[pred.n];
           }
         }
         delete(pred, predKey);
         x.key[pos] = predKey;
         return;
       }
       Node nextNode = x.child[pos + 1];
       if (nextNode.n >= T) {
          int nextKey = nextNode.key[0];
             if (!nextNode.leaf) {
                nextNode = nextNode.child[0];
                for (;;) {
                if (nextNode.leaf) {
                   nextKey = nextNode.key[nextNode.n - 1];
                   break;
                }else {
                   nextNode = nextNode.child[nextNode.n];
                }
              }
         }
         delete(nextNode, nextKey);
         x.key[pos] = nextKey;
         return;
       }
       int temp = pred.n + 1;
       pred.key[pred.n++] = x.key[pos];
       for (int i = 0, j = pred.n; i < nextNode.n; i++) {
          pred.key[j++] = nextNode.key[i];
          pred.n++;
       }
       for (int i = 0; i < nextNode.n + 1; i++) {
          pred.child[temp++] = nextNode.child[i];
       }
       x.child[pos] = pred;
       for (int i = pos; i < x.n; i++) {
          if (i != 2 * T - 2) {
             x.key[i] = x.key[i + 1];
          }
       }
       for (int i = pos + 1; i < x.n + 1; i++) {
          if (i != 2 * T - 1) {
          x.child[i] = x.child[i + 1];
       }
       }
       x.n--;
       if (x.n == 0) {
          if (x == root) {
          root = x.child[0];
        }
        x = x.child[0];
       }
       delete(pred, key);
       return;
     }
    }else {
        for (pos = 0; pos < x.n; pos++) {
           if (x.key[pos] > key) {
           break;
       }
     }
     Node tmp = x.child[pos];
     if (tmp.n >= T) {
        delete(tmp, key);
        return;
     }
      if (true) {
         Node nb = null;
         int devider = -1;
         
         if (pos != x.n && x.child[pos + 1].n >= T) {
            devider = x.key[pos];
            nb = x.child[pos + 1];
            x.key[pos] = nb.key[0];
            tmp.key[tmp.n++] = devider;
            tmp.child[tmp.n] = nb.child[0];
            for (int i = 1; i < nb.n; i++) {
               nb.key[i - 1] = nb.key[i];
            }
            for (int i = 1; i <= nb.n; i++) {
               nb.child[i - 1] = nb.child[i];
            }
         nb.n--;
         delete(tmp, key);
         return;
         }else if (pos != 0 && x.child[pos - 1].n >= T) {
            devider = x.key[pos - 1];
            nb = x.child[pos - 1];
            x.key[pos - 1] = nb.key[nb.n - 1];
            Node child = nb.child[nb.n];
            nb.n--;
            for (int i = tmp.n; i > 0; i--) {
               tmp.key[i] = tmp.key[i - 1];
            }
            tmp.key[0] = devider;
            for (int i = tmp.n + 1; i > 0; i--) {
               tmp.child[i] = tmp.child[i - 1];
            }
            tmp.child[0] = child;
            tmp.n++;
            delete(tmp, key);
            return;
         }else {
            Node lt = null;
            Node rt = null;
            boolean last = false;
            if (pos != x.n) {
               devider = x.key[pos];
               lt = x.child[pos];
               rt = x.child[pos + 1];
         }else {
            devider = x.key[pos - 1];
            rt = x.child[pos];
            lt = x.child[pos - 1];
            last = true;
            pos--;
         }
         for (int i = pos; i < x.n - 1; i++) {
            x.key[i] = x.key[i + 1];
         }
         for (int i = pos + 1; i < x.n; i++) {
            x.child[i] = x.child[i + 1];
         }
         x.n--;
         lt.key[lt.n++] = devider;
         
         for (int i = 0, j = lt.n; i < rt.n + 1; i++, j++) {
            if (i < rt.n) {
              lt.key[j] = rt.key[i];
            }
            lt.child[j] = rt.child[i];
         }
         lt.n += rt.n;
         if (x.n == 0) {
            if (x == root) {
              root = x.child[0];
            }
            x = x.child[0];
         }
         delete(lt, key);
         return;
         }
      }
   }
}
//deleting element/key in BTree
public void delete(int key) {
   Node x = search_key(root, key);
   if (x == null) {
      return;
   }
   delete(root, key);
}
//searching keys
private void FindKeys(int a, int b, Node x, Stack<Integer> st) {
   int i = 0;
   for (i = 0; i < x.n && x.key[i] < b; i++) {
      if (x.key[i] > a) {
         st.push(x.key[i]);
      }
   }
   if (!x.leaf) {
      for (int j = 0; j < i + 1; j++) {
         FindKeys(a, b, x.child[j], st);
      }
   }
}
private void display(Node x) {
   assert (x == null);
   for (int i = 0; i < x.n; i++) {
      System.out.print(x.key[i] + " ");
   }
   if (!x.leaf) {
      for (int i = 0; i < x.n + 1; i++) {
         display(x.child[i]);
      }
   }
}
public static void main(String[] args) {
   BTree b = new BTree(3);
   //inserting elements in BTree
   b.insert(8);
   b.insert(9);
   b.insert(10);
   b.insert(11);
   b.insert(15);
   b.insert(20);
   b.insert(17);
   System.out.println("Insertion done");
   System.out.println("B Tree elements before deletion: ");
   b.display();
   int ele = 10;
   System.out.print("\nThe element to be deleted: " + ele);
   //deleting element 10 in BTree
   b.delete(10);
   System.out.println("\nB Tree elements after deletion: ");
   b.display();
   }
}

Output

Insertion done
B Tree elements before deletion: 
10 8 9 11 15 17 20 
The element to be deleted: 10
B Tree elements after deletion: 
11 8 9 15 17 20
#Deletion operation in BTree
class BTreeNode:
    def __init__(self, leaf=False):
        self.leaf = leaf
        self.keys = []
        self.child = []
class BTree:
    def __init__(self, t):
        self.root = BTreeNode(True)
        self.t = t
    # Insert a key in BTree
    def insert(self, k):
        root = self.root
        if len(root.keys) == (2 * self.t) - 1:
            temp = BTreeNode()
            self.root = temp
            temp.child.insert(0, root)
            self.split_child(temp, 0)
            self.insert_non_full(temp, k)
        else:
            self.insert_non_full(root, k)

    # Insert if BTree is non full
    def insert_non_full(self, x, k):
        i = len(x.keys) - 1
        if x.leaf:
            x.keys.append((None, None))
            while i >= 0 and k[0] < x.keys[i][0]:
                x.keys[i + 1] = x.keys[i]
                i -= 1
            x.keys[i + 1] = k
        else:
            while i >= 0 and k[0] < x.keys[i][0]:
                i -= 1
            i += 1
            if len(x.child[i].keys) == (2 * self.t) - 1:
                self.split_child(x, i)
                if k[0] > x.keys[i][0]:
                    i += 1
            self.insert_non_full(x.child[i], k)

    # Split the child of BTree
    def split_child(self, x, i):
        t = self.t
        y = x.child[i]
        z = BTreeNode(y.leaf)
        x.child.insert(i + 1, z)
        x.keys.insert(i, y.keys[t - 1])
        z.keys = y.keys[t: (2 * t) - 1]
        y.keys = y.keys[0: t - 1]
        if not y.leaf:
            z.child = y.child[t: 2 * t]
            y.child = y.child[0: t - 1]

    # Delete a node in BTree
    def delete(self, x, k):
        t = self.t
        i = 0
        while i < len(x.keys) and k[0] > x.keys[i][0]:
            i += 1
        if x.leaf:
            if i < len(x.keys) and x.keys[i][0] == k[0]:
                x.keys.pop(i)
                return
            return

        if i < len(x.keys) and x.keys[i][0] == k[0]:
            return self.delete_internal_node(x, k, i)
        elif len(x.child[i].keys) >= t:
            self.delete(x.child[i], k)
        else:
            if i != 0 and i + 2 < len(x.child):
                if len(x.child[i - 1].keys) >= t:
                    self.delete_sibling(x, i, i - 1)
                elif len(x.child[i + 1].keys) >= t:
                    self.delete_sibling(x, i, i + 1)
                else:
                    self.delete_merge(x, i, i + 1)
            elif i == 0:
                if len(x.child[i + 1].keys) >= t:
                    self.delete_sibling(x, i, i + 1)
                else:
                    self.delete_merge(x, i, i + 1)
            elif i + 1 == len(x.child):
                if len(x.child[i - 1].keys) >= t:
                    self.delete_sibling(x, i, i - 1)
                else:
                    self.delete_merge(x, i, i - 1)
            self.delete(x.child[i], k)
    # display the BTree
    def display(self, x, l=0):
        for i in x.keys:
            print(i, end=" ")
        print()
        l += 1
        if len(x.child) > 0:
            for i in x.child:
                self.display(i, l)
B = BTree(3)
for i in range(10):
    B.insert((i, 2 * i))
print("Insertion Done")
print("BTree elements before deletion: ")
B.display(B.root)
B.delete(B.root, (8,))
print("BTree elements after deletion: ")
B.display(B.root)

Output

Insertion Done
BTree elements before deletion: 
(2, 4) (5, 10) 
(0, 0) (1, 2) 
(3, 6) (4, 8) 
(6, 12) (7, 14) (8, 16) (9, 18) 
BTree elements after deletion: 
(2, 4) (5, 10) 
(0, 0) (1, 2) 
(3, 6) (4, 8) 
(6, 12) (7, 14) (9, 18) 
Tutorix - AI Tutor
Advertisements