- DSA - Home
- DSA - Overview
- DSA - Environment Setup
- DSA - Algorithms Basics
- DSA - Asymptotic Analysis
- Data Structures
- DSA - Data Structure Basics
- DSA - Data Structures and Types
- DSA - Array Data Structure
- DSA - Skip List Data Structure
- Linked Lists
- DSA - Linked List Data Structure
- DSA - Doubly Linked List Data Structure
- DSA - Circular Linked List Data Structure
- Stack & Queue
- DSA - Stack Data Structure
- DSA - Expression Parsing
- DSA - Queue Data Structure
- DSA - Circular Queue Data Structure
- DSA - Priority Queue Data Structure
- DSA - Deque Data Structure
- Searching Algorithms
- DSA - Searching Algorithms
- DSA - Linear Search Algorithm
- DSA - Binary Search Algorithm
- DSA - Interpolation Search
- DSA - Jump Search Algorithm
- DSA - Exponential Search
- DSA - Fibonacci Search
- DSA - Sublist Search
- DSA - Hash Table
- Sorting Algorithms
- DSA - Sorting Algorithms
- DSA - Bubble Sort Algorithm
- DSA - Insertion Sort Algorithm
- DSA - Selection Sort Algorithm
- DSA - Merge Sort Algorithm
- DSA - Shell Sort Algorithm
- DSA - Heap Sort Algorithm
- DSA - Bucket Sort Algorithm
- DSA - Counting Sort Algorithm
- DSA - Radix Sort Algorithm
- DSA - Quick Sort Algorithm
- Matrices Data Structure
- DSA - Matrices Data Structure
- DSA - Lup Decomposition In Matrices
- DSA - Lu Decomposition In Matrices
- Graph Data Structure
- DSA - Graph Data Structure
- DSA - Depth First Traversal
- DSA - Breadth First Traversal
- DSA - Spanning Tree
- DSA - Topological Sorting
- DSA - Strongly Connected Components
- DSA - Biconnected Components
- DSA - Augmenting Path
- DSA - Network Flow Problems
- DSA - Flow Networks In Data Structures
- DSA - Edmonds Blossom Algorithm
- DSA - Maxflow Mincut Theorem
- Tree Data Structure
- DSA - Tree Data Structure
- DSA - Tree Traversal
- DSA - Binary Search Tree
- DSA - AVL Tree
- DSA - Red Black Trees
- DSA - B Trees
- DSA - B+ Trees
- DSA - Splay Trees
- DSA - Range Queries
- DSA - Segment Trees
- DSA - Fenwick Tree
- DSA - Fusion Tree
- DSA - Hashed Array Tree
- DSA - K-Ary Tree
- DSA - Kd Trees
- DSA - Priority Search Tree Data Structure
- Recursion
- DSA - Recursion Algorithms
- DSA - Tower of Hanoi Using Recursion
- DSA - Fibonacci Series Using Recursion
- Divide and Conquer
- DSA - Divide and Conquer
- DSA - Max-Min Problem
- DSA - Strassen's Matrix Multiplication
- DSA - Karatsuba Algorithm
- Greedy Algorithms
- DSA - Greedy Algorithms
- DSA - Travelling Salesman Problem (Greedy Approach)
- DSA - Prim's Minimal Spanning Tree
- DSA - Kruskal's Minimal Spanning Tree
- DSA - Dijkstra's Shortest Path Algorithm
- DSA - Map Colouring Algorithm
- DSA - Fractional Knapsack Problem
- DSA - Job Sequencing with Deadline
- DSA - Optimal Merge Pattern Algorithm
- Dynamic Programming
- DSA - Dynamic Programming
- DSA - Matrix Chain Multiplication
- DSA - Floyd Warshall Algorithm
- DSA - 0-1 Knapsack Problem
- DSA - Longest Common Sub-sequence Algorithm
- DSA - Travelling Salesman Problem (Dynamic Approach)
- Hashing
- DSA - Hashing Data Structure
- DSA - Collision In Hashing
- Disjoint Set
- DSA - Disjoint Set
- DSA - Path Compression And Union By Rank
- Heap
- DSA - Heap Data Structure
- DSA - Binary Heap
- DSA - Binomial Heap
- DSA - Fibonacci Heap
- Tries Data Structure
- DSA - Tries
- DSA - Standard Tries
- DSA - Compressed Tries
- DSA - Suffix Tries
- Treaps
- DSA - Treaps Data Structure
- Bit Mask
- DSA - Bit Mask In Data Structures
- Bloom Filter
- DSA - Bloom Filter Data Structure
- Approximation Algorithms
- DSA - Approximation Algorithms
- DSA - Vertex Cover Algorithm
- DSA - Set Cover Problem
- DSA - Travelling Salesman Problem (Approximation Approach)
- Randomized Algorithms
- DSA - Randomized Algorithms
- DSA - Randomized Quick Sort Algorithm
- DSA - Karger’s Minimum Cut Algorithm
- DSA - Fisher-Yates Shuffle Algorithm
- Miscellaneous
- DSA - Infix to Postfix
- DSA - Bellmon Ford Shortest Path
- DSA - Maximum Bipartite Matching
- DSA Useful Resources
- DSA - Questions and Answers
- DSA - Selection Sort Interview Questions
- DSA - Merge Sort Interview Questions
- DSA - Insertion Sort Interview Questions
- DSA - Heap Sort Interview Questions
- DSA - Bubble Sort Interview Questions
- DSA - Bucket Sort Interview Questions
- DSA - Radix Sort Interview Questions
- DSA - Cycle Sort Interview Questions
- DSA - Quick Guide
- DSA - Useful Resources
- DSA - Discussion
Map Colouring Algorithm
Map colouring problem states that given a graph G {V, E} where V and E are the set of vertices and edges of the graph, all vertices in V need to be coloured in such a way that no two adjacent vertices must have the same colour.
The real-world applications of this algorithm are assigning mobile radio frequencies, making schedules, designing Sudoku, allocating registers etc.
Map Colouring Algorithm
With the map colouring algorithm, a graph G and the colours to be added to the graph are taken as an input and a coloured graph with no two adjacent vertices having the same colour is achieved.
Algorithm
Initiate all the vertices in the graph.
Select the node with the highest degree to colour it with any colour.
Choose the colour to be used on the graph with the help of the selection colour function so that no adjacent vertex is having the same colour.
Check if the colour can be added and if it does, add it to the solution set.
Repeat the process from step 2 until the output set is ready.
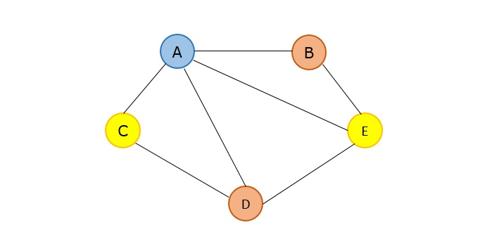
Examples
Step 1
Find degrees of all the vertices −
A 4 B 2 C 2 D 3 E 3
Step 2
Choose the vertex with the highest degree to colour first, i.e., A and choose a colour using selection colour function. Check if the colour can be added to the vertex and if yes, add it to the solution set.
Step 3
Select any vertex with the next highest degree from the remaining vertices and colour it using selection colour function.
D and E both have the next highest degree 3, so choose any one between them, say D.
D is adjacent to A, therefore it cannot be coloured in the same colour as A. Hence, choose a different colour using selection colour function.
Step 4
The next highest degree vertex is E, hence choose E.
E is adjacent to both A and D, therefore it cannot be coloured in the same colours as A and D. Choose a different colour using selection colour function.
Step 5
The next highest degree vertices are B and C. Thus, choose any one randomly.
B is adjacent to both A and E, thus not allowing to be coloured in the colours of A and E but it is not adjacent to D, so it can be coloured with Ds colour.
Step 6
The next and the last vertex remaining is C, which is adjacent to both A and D, not allowing it to be coloured using the colours of A and D. But it is not adjacent to E, so it can be coloured in Es colour.
Example
Following is the complete implementation of Map Colouring Algorithm in various programming languages where a graph is coloured in such a way that no two adjacent vertices have same colour.
#include<stdio.h>
#include<stdbool.h>
#define V 4
bool graph[V][V] = {
{0, 1, 1, 0},
{1, 0, 1, 1},
{1, 1, 0, 1},
{0, 1, 1, 0},
};
bool isValid(int v,int color[], int c){ //check whether putting a color valid for v
for (int i = 0; i < V; i++)
if (graph[v][i] && c == color[i])
return false;
return true;
}
bool mColoring(int colors, int color[], int vertex){
if (vertex == V) //when all vertices are considered
return true;
for (int col = 1; col <= colors; col++) {
if (isValid(vertex,color, col)) { //check whether color col is valid or not
color[vertex] = col;
if (mColoring (colors, color, vertex+1) == true) //go for additional vertices
return true;
color[vertex] = 0;
}
}
return false; //when no colors can be assigned
}
int main(){
int colors = 3; // Number of colors
int color[V]; //make color matrix for each vertex
for (int i = 0; i < V; i++)
color[i] = 0; //initially set to 0
if (mColoring(colors, color, 0) == false) { //for vertex 0 check graph coloring
printf("Solution does not exist.");
}
printf("Assigned Colors are: \n");
for (int i = 0; i < V; i++)
printf("%d ", color[i]);
return 0;
}
Output
Assigned Colors are: 1 2 3 1
#include<iostream>
using namespace std;
#define V 4
bool graph[V][V] = {
{0, 1, 1, 0},
{1, 0, 1, 1},
{1, 1, 0, 1},
{0, 1, 1, 0},
};
bool isValid(int v,int color[], int c){ //check whether putting a color valid for v
for (int i = 0; i < V; i++)
if (graph[v][i] && c == color[i])
return false;
return true;
}
bool mColoring(int colors, int color[], int vertex){
if (vertex == V) //when all vertices are considered
return true;
for (int col = 1; col <= colors; col++) {
if (isValid(vertex,color, col)) { //check whether color col is valid or not
color[vertex] = col;
if (mColoring (colors, color, vertex+1) == true) //go for additional vertices
return true;
color[vertex] = 0;
}
}
return false; //when no colors can be assigned
}
int main(){
int colors = 3; // Number of colors
int color[V]; //make color matrix for each vertex
for (int i = 0; i < V; i++)
color[i] = 0; //initially set to 0
if (mColoring(colors, color, 0) == false) { //for vertex 0 check graph coloring
cout << "Solution does not exist.";
}
cout << "Assigned Colors are: \n";
for (int i = 0; i < V; i++)
cout << color[i] << " ";
return 0;
}
Output
Assigned Colors are: 1 2 3 1
public class mcolouring {
static int V = 4;
static int graph[][] = {
{0, 1, 1, 0},
{1, 0, 1, 1},
{1, 1, 0, 1},
{0, 1, 1, 0},
};
static boolean isValid(int v,int color[], int c) { //check whether putting a color valid for v
for (int i = 0; i < V; i++)
if (graph[v][i] != 0 && c == color[i])
return false;
return true;
}
static boolean mColoring(int colors, int color[], int vertex) {
if (vertex == V) //when all vertices are considered
return true;
for (int col = 1; col <= colors; col++) {
if (isValid(vertex,color, col)) { //check whether color col is valid or not
color[vertex] = col;
if (mColoring (colors, color, vertex+1) == true) //go for additional vertices
return true;
color[vertex] = 0;
}
}
return false; //when no colors can be assigned
}
public static void main(String args[]) {
int colors = 3; // Number of colors
int color[] = new int[V]; //make color matrix for each vertex
for (int i = 0; i < V; i++)
color[i] = 0; //initially set to 0
if (mColoring(colors, color, 0) == false) { //for vertex 0 check graph coloring
System.out.println("Solution does not exist.");
}
System.out.println("Assigned Colors are: ");
for (int i = 0; i < V; i++)
System.out.print(color[i] + " ");
}
}
Output
Assigned Colors are: 1 2 3 1
V = 4
graph = [[0, 1, 1, 0], [1, 0, 1, 1], [1, 1, 0, 1], [0, 1, 1, 0]]
def isValid(v, color, c): # check whether putting a color valid for v
for i in range(V):
if graph[v][i] and c == color[i]:
return False
return True
def mColoring(colors, color, vertex):
if vertex == V: # when all vertices are considered
return True
for col in range(1, colors + 1):
if isValid(vertex, color,
col): # check whether color col is valid or not
color[vertex] = col
if mColoring(colors, color, vertex + 1):
return True # go for additional vertices
color[vertex] = 0
return False # when no colors can be assigned
colors = 3 # Number of colors
color = [0] * V # make color matrix for each vertex
if not mColoring(
colors, color,
0): # initially set to 0 and for Vertex 0 check graph coloring
print("Solution does not exist.")
else:
print("Assigned Colors are:")
for i in range(V):
print(color[i], end=" ")
Output
Assigned Colors are: 1 2 3 1