- Automata Theory - Applications
- Automata Terminology
- Basics of String in Automata
- Set Theory for Automata
- Finite Sets and Infinite Sets
- Algebraic Operations on Sets
- Relations Sets in Automata Theory
- Graph and Tree in Automata Theory
- Transition Table in Automata
- What is Queue Automata?
- Compound Finite Automata
- Complementation Process in DFA
- Closure Properties in Automata
- Concatenation Process in DFA
- Language and Grammars
- Language and Grammar
- Grammars in Theory of Computation
- Language Generated by a Grammar
- Chomsky Classification of Grammars
- Context-Sensitive Languages
- Finite Automata
- What is Finite Automata?
- Finite Automata Types
- Applications of Finite Automata
- Limitations of Finite Automata
- Two-way Deterministic Finite Automata
- Deterministic Finite Automaton (DFA)
- Non-deterministic Finite Automaton (NFA)
- NDFA to DFA Conversion
- Equivalence of NFA and DFA
- Dead State in Finite Automata
- Minimization of DFA
- Automata Moore Machine
- Automata Mealy Machine
- Moore vs Mealy Machines
- Moore to Mealy Machine
- Mealy to Moore Machine
- Myhill–Nerode Theorem
- Mealy Machine for 1’s Complement
- Finite Automata Exercises
- Complement of DFA
- Regular Expressions
- Regular Expression in Automata
- Regular Expression Identities
- Applications of Regular Expression
- Regular Expressions vs Regular Grammar
- Kleene Closure in Automata
- Arden’s Theorem in Automata
- Convert Regular Expression to Finite Automata
- Conversion of Regular Expression to DFA
- Equivalence of Two Finite Automata
- Equivalence of Two Regular Expressions
- Convert Regular Expression to Regular Grammar
- Convert Regular Grammar to Finite Automata
- Pumping Lemma in Theory of Computation
- Pumping Lemma for Regular Grammar
- Pumping Lemma for Regular Expression
- Pumping Lemma for Regular Languages
- Applications of Pumping Lemma
- Closure Properties of Regular Set
- Closure Properties of Regular Language
- Decision Problems for Regular Languages
- Decision Problems for Automata and Grammars
- Conversion of Epsilon-NFA to DFA
- Regular Sets in Theory of Computation
- Context-Free Grammars
- Context-Free Grammars (CFG)
- Derivation Tree
- Parse Tree
- Ambiguity in Context-Free Grammar
- CFG vs Regular Grammar
- Applications of Context-Free Grammar
- Left Recursion and Left Factoring
- Closure Properties of Context Free Languages
- Simplifying Context Free Grammars
- Removal of Useless Symbols in CFG
- Removal Unit Production in CFG
- Removal of Null Productions in CFG
- Linear Grammar
- Chomsky Normal Form (CNF)
- Greibach Normal Form (GNF)
- Pumping Lemma for Context-Free Grammars
- Decision Problems of CFG
- Pushdown Automata
- Pushdown Automata (PDA)
- Pushdown Automata Acceptance
- Deterministic Pushdown Automata
- Non-deterministic Pushdown Automata
- Construction of PDA from CFG
- CFG Equivalent to PDA Conversion
- Pushdown Automata Graphical Notation
- Pushdown Automata and Parsing
- Two-stack Pushdown Automata
- Turing Machines
- Basics of Turing Machine (TM)
- Representation of Turing Machine
- Examples of Turing Machine
- Turing Machine Accepted Languages
- Variations of Turing Machine
- Multi-tape Turing Machine
- Multi-head Turing Machine
- Multitrack Turing Machine
- Non-Deterministic Turing Machine
- Semi-Infinite Tape Turing Machine
- K-dimensional Turing Machine
- Enumerator Turing Machine
- Universal Turing Machine
- Restricted Turing Machine
- Convert Regular Expression to Turing Machine
- Two-stack PDA and Turing Machine
- Turing Machine as Integer Function
- Post–Turing Machine
- Turing Machine for Addition
- Turing Machine for Copying Data
- Turing Machine as Comparator
- Turing Machine for Multiplication
- Turing Machine for Subtraction
- Modifications to Standard Turing Machine
- Linear-Bounded Automata (LBA)
- Church's Thesis for Turing Machine
- Recursively Enumerable Language
- Computability & Undecidability
- Turing Language Decidability
- Undecidable Languages
- Turing Machine and Grammar
- Kuroda Normal Form
- Converting Grammar to Kuroda Normal Form
- Decidability
- Undecidability
- Reducibility
- Halting Problem
- Turing Machine Halting Problem
- Rice's Theorem in Theory of Computation
- Post’s Correspondence Problem (PCP)
- Types of Functions
- Recursive Functions
- Injective Functions
- Surjective Function
- Bijective Function
- Partial Recursive Function
- Total Recursive Function
- Primitive Recursive Function
- μ Recursive Function
- Ackermann’s Function
- Russell’s Paradox
- Gödel Numbering
- Recursive Enumerations
- Kleene's Theorem
- Kleene's Recursion Theorem
- Advanced Concepts
- Matrix Grammars
- Probabilistic Finite Automata
- Cellular Automata
- Reduction of CFG
- Reduction Theorem
- Regular expression to ∈-NFA
- Quotient Operation
- Parikh’s Theorem
- Ladner’s Theorem
Compound Finite Automata (FA)
The finite automata in automata theory are used for finite number of input lengths. Using the concept of set theory, we can merge more than one FSM into one to perform combined actions.
In this chapter, we will see the combined FSM using Union, Intersection and Difference. We will learn them through examples for a better understanding.
Introduction to Finite Automata
The concept of Finite Automata is not new to us in the field of theoretical computer science. A finite-state machine (FSM) is a mathematical model of computation that can be in one of a finite number of states at any given time. It can change from one state to another in response to inputs, called a transition.
An FSM is defined by its states, initial state, and inputs. There are two types of FSM −
For any non-deterministic FSM, an equivalent deterministic one can be constructed.
As we know, an FSM can be defined as five tuples. D1 = (Q, ∑, δ, q0, F) where Q is set of states, F is set of final states, q0 is initial state and ∑ defines set of input symbols where as δ is the set of transition rules. Now let us understand what is Compound Finite Automata.
Compound Finite Automata
These are nothing but the collection of basic FA. If more than one FA are merged together using union, or intersection or sometimes we make a difference of two machines, these could be compound finite automata. Let us understand some of the properties −
- Consider we have two DFA, D1 with m states and D2 with n states. Now the number of states in a compound FA with (D1 X D2) [X denotes Cartesian Product] is equal to m*n.
- Initial state of our compound FA will be the combination of the initial states of DFAs, the D1 and D2.
- Similarly the final state of compound FA is depending on what set operation has been performed.
Let's take an example to understand this concept better.
Suppose two machines D1 and D2 −
- D1 = Checks number of 0's divisible by 2, the machine could be defined as: D1 ({q1, qb}, {0, 1}, δ, q1, {q1})
- D2 = Checks number of 1's divisible by 3, the machine could be defined as D2 ({q2, qa, qc}, {0, 1}, δ, q2, {q2})
The machine D1 −
The machine D2 −
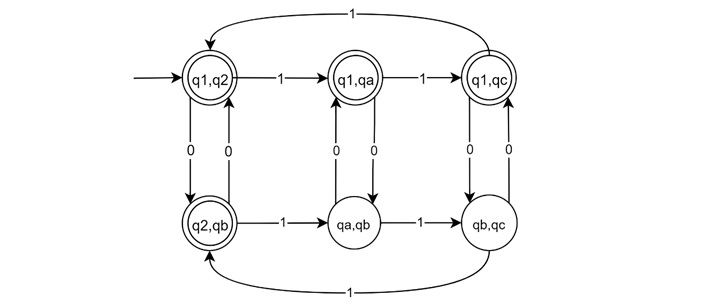
Union (D1 ∪ D2)
The compound automata accepts any string w that belongs to either D1 or D2's language, and the final state of either state is included in the compound FA's states. Here either number of 0s divisible by 2 or number of 1s divisible by 3.
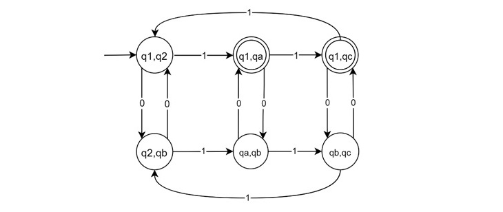
Intersection (D1 ∩ D2)
The compound automata accepts any string w belonging to both D1 and D2 languages, and the final state is achieved if both D1 and D2's final states are present in the compound FA. Here number of 0s divisible by 2 and number of 1s divisible by 3, both must be satisfied.
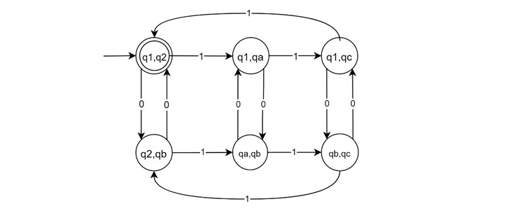
Difference (D1 D2)
The final state of a compound FA is determined by the presence of the final state of D1 and the non-final state of D2. Here all such strings will be accepted who are accepted by D1 but not by D2.
Difference (D2 D1)
The final state of a compound FA is determined by the presence of the final state of D2 and the non-final state of D1. Here all such strings will be accepted who are accepted by D2 but not by D1.
Conclusion
In this chapter, we covered the concept of compound FSM in detail. We selected two DFAs where one is for accepting "0s divisible by 2" and another one for "1s divisible by 3". By merging them through union, intersection, and difference, we can make such different kinds of FSM.
We explained the different types of FSM through examples and showed how these can enhance the strength of FSM to design complex systems.