- Automata Theory - Applications
- Automata Terminology
- Basics of String in Automata
- Set Theory for Automata
- Finite Sets and Infinite Sets
- Algebraic Operations on Sets
- Relations Sets in Automata Theory
- Graph and Tree in Automata Theory
- Transition Table in Automata
- What is Queue Automata?
- Compound Finite Automata
- Complementation Process in DFA
- Closure Properties in Automata
- Concatenation Process in DFA
- Language and Grammars
- Language and Grammar
- Grammars in Theory of Computation
- Language Generated by a Grammar
- Chomsky Classification of Grammars
- Context-Sensitive Languages
- Finite Automata
- What is Finite Automata?
- Finite Automata Types
- Applications of Finite Automata
- Limitations of Finite Automata
- Two-way Deterministic Finite Automata
- Deterministic Finite Automaton (DFA)
- Non-deterministic Finite Automaton (NFA)
- NDFA to DFA Conversion
- Equivalence of NFA and DFA
- Dead State in Finite Automata
- Minimization of DFA
- Automata Moore Machine
- Automata Mealy Machine
- Moore vs Mealy Machines
- Moore to Mealy Machine
- Mealy to Moore Machine
- Myhill–Nerode Theorem
- Mealy Machine for 1’s Complement
- Finite Automata Exercises
- Complement of DFA
- Regular Expressions
- Regular Expression in Automata
- Regular Expression Identities
- Applications of Regular Expression
- Regular Expressions vs Regular Grammar
- Kleene Closure in Automata
- Arden’s Theorem in Automata
- Convert Regular Expression to Finite Automata
- Conversion of Regular Expression to DFA
- Equivalence of Two Finite Automata
- Equivalence of Two Regular Expressions
- Convert Regular Expression to Regular Grammar
- Convert Regular Grammar to Finite Automata
- Pumping Lemma in Theory of Computation
- Pumping Lemma for Regular Grammar
- Pumping Lemma for Regular Expression
- Pumping Lemma for Regular Languages
- Applications of Pumping Lemma
- Closure Properties of Regular Set
- Closure Properties of Regular Language
- Decision Problems for Regular Languages
- Decision Problems for Automata and Grammars
- Conversion of Epsilon-NFA to DFA
- Regular Sets in Theory of Computation
- Context-Free Grammars
- Context-Free Grammars (CFG)
- Derivation Tree
- Parse Tree
- Ambiguity in Context-Free Grammar
- CFG vs Regular Grammar
- Applications of Context-Free Grammar
- Left Recursion and Left Factoring
- Closure Properties of Context Free Languages
- Simplifying Context Free Grammars
- Removal of Useless Symbols in CFG
- Removal Unit Production in CFG
- Removal of Null Productions in CFG
- Linear Grammar
- Chomsky Normal Form (CNF)
- Greibach Normal Form (GNF)
- Pumping Lemma for Context-Free Grammars
- Decision Problems of CFG
- Pushdown Automata
- Pushdown Automata (PDA)
- Pushdown Automata Acceptance
- Deterministic Pushdown Automata
- Non-deterministic Pushdown Automata
- Construction of PDA from CFG
- CFG Equivalent to PDA Conversion
- Pushdown Automata Graphical Notation
- Pushdown Automata and Parsing
- Two-stack Pushdown Automata
- Turing Machines
- Basics of Turing Machine (TM)
- Representation of Turing Machine
- Examples of Turing Machine
- Turing Machine Accepted Languages
- Variations of Turing Machine
- Multi-tape Turing Machine
- Multi-head Turing Machine
- Multitrack Turing Machine
- Non-Deterministic Turing Machine
- Semi-Infinite Tape Turing Machine
- K-dimensional Turing Machine
- Enumerator Turing Machine
- Universal Turing Machine
- Restricted Turing Machine
- Convert Regular Expression to Turing Machine
- Two-stack PDA and Turing Machine
- Turing Machine as Integer Function
- Post–Turing Machine
- Turing Machine for Addition
- Turing Machine for Copying Data
- Turing Machine as Comparator
- Turing Machine for Multiplication
- Turing Machine for Subtraction
- Modifications to Standard Turing Machine
- Linear-Bounded Automata (LBA)
- Church's Thesis for Turing Machine
- Recursively Enumerable Language
- Computability & Undecidability
- Turing Language Decidability
- Undecidable Languages
- Turing Machine and Grammar
- Kuroda Normal Form
- Converting Grammar to Kuroda Normal Form
- Decidability
- Undecidability
- Reducibility
- Halting Problem
- Turing Machine Halting Problem
- Rice's Theorem in Theory of Computation
- Post’s Correspondence Problem (PCP)
- Types of Functions
- Recursive Functions
- Injective Functions
- Surjective Function
- Bijective Function
- Partial Recursive Function
- Total Recursive Function
- Primitive Recursive Function
- μ Recursive Function
- Ackermann’s Function
- Russell’s Paradox
- Gödel Numbering
- Recursive Enumerations
- Kleene's Theorem
- Kleene's Recursion Theorem
- Advanced Concepts
- Matrix Grammars
- Probabilistic Finite Automata
- Cellular Automata
- Reduction of CFG
- Reduction Theorem
- Regular expression to ∈-NFA
- Quotient Operation
- Parikh’s Theorem
- Ladner’s Theorem
Regular Expression to ∈-NFA
Among the different types of automata, the ∈ - NFA (Epsilon Non-deterministic Finite Automaton) is a special kind that extends the concept of a regular NFA. In this chapter, we will see the basic concept of ∈ - NFA and provide a step-by-step example of converting a regular expression to an ∈ - NFA for a better understanding.
What is ∈ - NFA?
Let us discuss the idea of ∈ - NFA before getting into the conversion process.
An ∈ - NFA is similar to an NFA but with a key difference: it allows transitions on the empty string (denoted by ∈). This means that the automaton can change its state without consuming any input symbols.
Formally, an ∈ - NFA is represented as a 5-tuple −
- Q − The set of all states.
- q0 − The initial state.
- Σ − The set of input symbols.
- δ − The transition function, defined as $\mathrm{\delta \: :\: Q \:\times\: (\Sigma\: \cup\: \{\in\}) \:\rightarrow \:2^Q}$.
- F − The set of final states.
The transition function in ∈ - NFA is what sets it apart from a regular NFA. In a regular NFA, transitions occur based on input symbols, while in an ∈ - NFA, transitions can also occur without any input (via ∈ - transitions).
Rules for Constructing ∈ - NFA
To construct an ∈ - NFA from a regular expression, there are specific rules to follow. Let us go through these rules one by one.
∈ - NFA for a+
The expression a+ indicates that the automaton must accept one or more occurrences of the symbol 'a'. The ∈ - NFA for a+ can be constructed as follows −
In this diagram,
- q0 is the initial state.
- q1 is an intermediate state which is reachable from q0 with null move.
- q2 is the state, where the first a is accepted. And for more a, it will come to q1 with null move.
- q3 is the final state, here from q2 it can reach with null move.
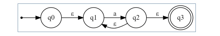
∈ - NFA for a*
The expression a* signifies that the automaton can accept zero or more occurrences of a. The ∈-NFA for a* is slightly modified from a+ by adding a loop that allows the automaton to remain in the initial state even if no a is encountered −
Here, the automaton can transition from q0 to q3 directly without consuming any input, representing the acceptance of an empty string.
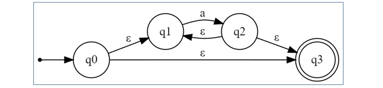
∈-NFA for a + b
The expression a + b operates like an OR logic, meaning that the automaton can accept either a or b. The ∈-NFA for a + b is constructed with two parallel paths −
In this structure q0 transitions to q1 on null, then a to q2 and again null to q5. Similarly, q0 to q3 with null and q3 to q4 with b and q4 to q5 with null.
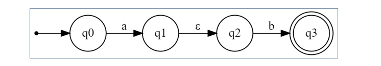
∈-NFA for ab
The concatenation of a followed by b is expressed as ab. The automaton must accept a and then b in sequence −
OR
This rule ensures that the automaton moves through the states sequentially, accepting a and then b before reaching the final state.
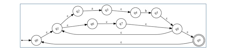
Example of Constructing ∈-NFA for L = bc(ab+c)*a+
Now that we have understood the basic rules for constructing an ∈-NFA, let's apply them to the regular expression L = bc(ab + c)*a+.
Breakdown of Regular Expression
The regular expression can be divided into three parts −
- bc − A concatenation of b followed by c.
- (ab+c)* − A combination of concatenation and OR logic repeated zero or more times.
- a+ − One or more occurrences of a.
Constructing ∈-NFA for (ab + c)*
Constructing final ∈-NFA
Conclusion
In this chapter, we covered the concept of ∈-NFA and understood how to construct an ∈-NFA from a regular expression. We broke down the regular expression L = bc(ab+c)*a+ into its components and applied the rules for constructing ∈-NFA. The final automaton represents a system that can accept the given regular language, demonstrating the power and flexibility of ∈-NFA in handling complex regular expressions.