- Automata Theory - Applications
- Automata Terminology
- Basics of String in Automata
- Set Theory for Automata
- Finite Sets and Infinite Sets
- Algebraic Operations on Sets
- Relations Sets in Automata Theory
- Graph and Tree in Automata Theory
- Transition Table in Automata
- What is Queue Automata?
- Compound Finite Automata
- Complementation Process in DFA
- Closure Properties in Automata
- Concatenation Process in DFA
- Language and Grammars
- Language and Grammar
- Grammars in Theory of Computation
- Language Generated by a Grammar
- Chomsky Classification of Grammars
- Context-Sensitive Languages
- Finite Automata
- What is Finite Automata?
- Finite Automata Types
- Applications of Finite Automata
- Limitations of Finite Automata
- Two-way Deterministic Finite Automata
- Deterministic Finite Automaton (DFA)
- Non-deterministic Finite Automaton (NFA)
- NDFA to DFA Conversion
- Equivalence of NFA and DFA
- Dead State in Finite Automata
- Minimization of DFA
- Automata Moore Machine
- Automata Mealy Machine
- Moore vs Mealy Machines
- Moore to Mealy Machine
- Mealy to Moore Machine
- Myhill–Nerode Theorem
- Mealy Machine for 1’s Complement
- Finite Automata Exercises
- Complement of DFA
- Regular Expressions
- Regular Expression in Automata
- Regular Expression Identities
- Applications of Regular Expression
- Regular Expressions vs Regular Grammar
- Kleene Closure in Automata
- Arden’s Theorem in Automata
- Convert Regular Expression to Finite Automata
- Conversion of Regular Expression to DFA
- Equivalence of Two Finite Automata
- Equivalence of Two Regular Expressions
- Convert Regular Expression to Regular Grammar
- Convert Regular Grammar to Finite Automata
- Pumping Lemma in Theory of Computation
- Pumping Lemma for Regular Grammar
- Pumping Lemma for Regular Expression
- Pumping Lemma for Regular Languages
- Applications of Pumping Lemma
- Closure Properties of Regular Set
- Closure Properties of Regular Language
- Decision Problems for Regular Languages
- Decision Problems for Automata and Grammars
- Conversion of Epsilon-NFA to DFA
- Regular Sets in Theory of Computation
- Context-Free Grammars
- Context-Free Grammars (CFG)
- Derivation Tree
- Parse Tree
- Ambiguity in Context-Free Grammar
- CFG vs Regular Grammar
- Applications of Context-Free Grammar
- Left Recursion and Left Factoring
- Closure Properties of Context Free Languages
- Simplifying Context Free Grammars
- Removal of Useless Symbols in CFG
- Removal Unit Production in CFG
- Removal of Null Productions in CFG
- Linear Grammar
- Chomsky Normal Form (CNF)
- Greibach Normal Form (GNF)
- Pumping Lemma for Context-Free Grammars
- Decision Problems of CFG
- Pushdown Automata
- Pushdown Automata (PDA)
- Pushdown Automata Acceptance
- Deterministic Pushdown Automata
- Non-deterministic Pushdown Automata
- Construction of PDA from CFG
- CFG Equivalent to PDA Conversion
- Pushdown Automata Graphical Notation
- Pushdown Automata and Parsing
- Two-stack Pushdown Automata
- Turing Machines
- Basics of Turing Machine (TM)
- Representation of Turing Machine
- Examples of Turing Machine
- Turing Machine Accepted Languages
- Variations of Turing Machine
- Multi-tape Turing Machine
- Multi-head Turing Machine
- Multitrack Turing Machine
- Non-Deterministic Turing Machine
- Semi-Infinite Tape Turing Machine
- K-dimensional Turing Machine
- Enumerator Turing Machine
- Universal Turing Machine
- Restricted Turing Machine
- Convert Regular Expression to Turing Machine
- Two-stack PDA and Turing Machine
- Turing Machine as Integer Function
- Post–Turing Machine
- Turing Machine for Addition
- Turing Machine for Copying Data
- Turing Machine as Comparator
- Turing Machine for Multiplication
- Turing Machine for Subtraction
- Modifications to Standard Turing Machine
- Linear-Bounded Automata (LBA)
- Church's Thesis for Turing Machine
- Recursively Enumerable Language
- Computability & Undecidability
- Turing Language Decidability
- Undecidable Languages
- Turing Machine and Grammar
- Kuroda Normal Form
- Converting Grammar to Kuroda Normal Form
- Decidability
- Undecidability
- Reducibility
- Halting Problem
- Turing Machine Halting Problem
- Rice's Theorem in Theory of Computation
- Post’s Correspondence Problem (PCP)
- Types of Functions
- Recursive Functions
- Injective Functions
- Surjective Function
- Bijective Function
- Partial Recursive Function
- Total Recursive Function
- Primitive Recursive Function
- μ Recursive Function
- Ackermann’s Function
- Russell’s Paradox
- Gödel Numbering
- Recursive Enumerations
- Kleene's Theorem
- Kleene's Recursion Theorem
- Advanced Concepts
- Matrix Grammars
- Probabilistic Finite Automata
- Cellular Automata
- Reduction of CFG
- Reduction Theorem
- Regular expression to ∈-NFA
- Quotient Operation
- Parikh’s Theorem
- Ladner’s Theorem
Conversion of an Epsilon NFA to a DFA
Read this chapter to learn the process of converting an epsilon NFA (Non-deterministic Finite Automata with epsilon moves) directly into a DFA (Deterministic Finite Automata). We will explain the process step-by-step along with an example to understand the concept better.
Epsilon NFA and DFA: The Basics
Before going into the details of the conversion process, let's briefly review the key differences between epsilon NFAs and DFAs −
- Epsilon NFA − This allows transitions between states using epsilon moves, which are transitions without consuming any input symbol.
- DFA − Every state must have exactly one transition defined for each input symbol in the alphabet. DFAs do not allow epsilon moves.
Direct Conversion: Epsilon NFA to DFA
To convert epsilon NFA to DFA, we need to follow two steps process:
- Convert the epsilon NFA to an NFA (removing epsilon moves).
- Convert the resulting NFA to a DFA.
However, there is another method to convert epsilon-NFA to DFA directly. We will see that method here.
Step-by-Step Conversion Process: Epsilon NFA to DFA
Let's break down the direct conversion process with a detailed example.
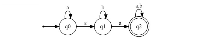
Example Epsilon NFA
Step 1: Finding the Initial State of the DFA
Identify the initial state of the epsilon NFA − In our example, the initial state is q0.
Calculate the epsilon closure of the initial state − The epsilon closure of a state includes all states reachable from that state using only epsilon moves.
- From q0, we can reach q1 with null (epsilon) move
- Therefore, the epsilon closure of q0 is {q0, q1}.
The epsilon closure of the initial state becomes the initial state of the DFA.
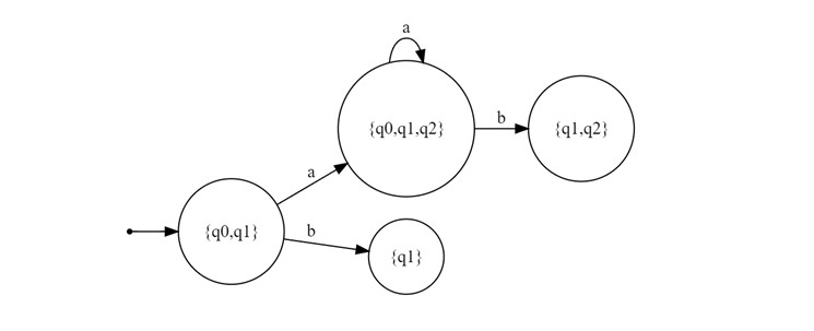
DFA so far will look like this −
Step 2: Determining Transitions for Each Input Symbol
For each state in the DFA (starting with the initial state), determine the transitions for each input symbol.
To find the transition for a specific input symbol (e.g., 'a') from a state in the DFA:
- Consider each state within the DFA state: For example, our current DFA state is {q0, q1}.
- Determine where you can reach from each of those states in the epsilon NFA using the input symbol:
- From q0 in the epsilon NFA, using 'a', we can reach: q0, q1 (directly), and q2 (via q1 using epsilon).
- From q1 in the epsilon NFA, using 'a', we can reach: q2.
- Take the union of all the states reached: The union for is {Q0, Q1, Q2}.
- This union becomes the target state in the DFA for the input symbol
After processing 'a' from the initial state, the DFA will look like this −
Repeat the process for the input symbol 'b' from the initial state {Q0, Q1}
- From q0, using 'b', we can reach: q1 (using epsilon then 'b').
- From q1, using 'b', we can reach: q1.
- The union is {q1}.
After processing 'b' from the initial state, the DFA will look like this −
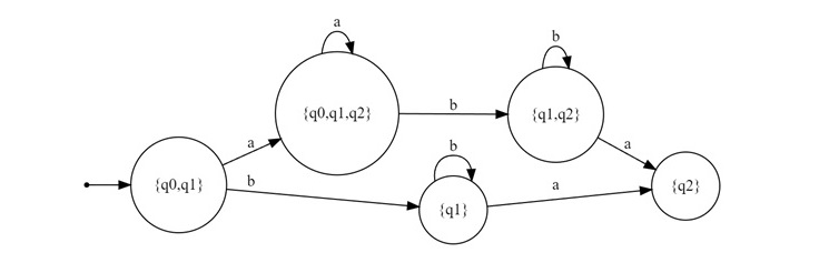
Step 3: Iterating for New States
We now have a new state in our DFA: {Q0, Q1, Q2}.
Repeat Step 2 for this new state and any subsequent new states generated, considering both input symbols 'a' and 'b'.
- From {Q0, Q1, Q2}, using 'a', we will reach the same set of states {Q0, Q1, Q2}.
- From {Q0, Q1, Q2}, using 'b', we can reach {Q1, Q2}.
After processing the new state, the DFA will look like this −
Continue this process until no new states are generated in the DFA.
Step 4: Identifying Final States in the DFA
Examine the final states of the epsilon NFA − In our example, the final state is q2.
In the DFA, any state that contains a final state from the epsilon NFA becomes a final state. In our DFA, the final states are: {q0, q1, q2} and {q1, q2}.
The conversion from epsilon NFA to DFA is now complete!
Conclusion
In this chapter, we explained in detail how to convert an epsilon NFA to DFA. We know the NFA may have multiple states from one state with same input and may have null transitions. But in DFA, there will be no null transitions. We have seen this through an example and learnt how this can be formed in step by step manner.