- Automata Theory - Applications
- Automata Terminology
- Basics of String in Automata
- Set Theory for Automata
- Finite Sets and Infinite Sets
- Algebraic Operations on Sets
- Relations Sets in Automata Theory
- Graph and Tree in Automata Theory
- Transition Table in Automata
- What is Queue Automata?
- Compound Finite Automata
- Complementation Process in DFA
- Closure Properties in Automata
- Concatenation Process in DFA
- Language and Grammars
- Language and Grammar
- Grammars in Theory of Computation
- Language Generated by a Grammar
- Chomsky Classification of Grammars
- Context-Sensitive Languages
- Finite Automata
- What is Finite Automata?
- Finite Automata Types
- Applications of Finite Automata
- Limitations of Finite Automata
- Two-way Deterministic Finite Automata
- Deterministic Finite Automaton (DFA)
- Non-deterministic Finite Automaton (NFA)
- NDFA to DFA Conversion
- Equivalence of NFA and DFA
- Dead State in Finite Automata
- Minimization of DFA
- Automata Moore Machine
- Automata Mealy Machine
- Moore vs Mealy Machines
- Moore to Mealy Machine
- Mealy to Moore Machine
- Myhill–Nerode Theorem
- Mealy Machine for 1’s Complement
- Finite Automata Exercises
- Complement of DFA
- Regular Expressions
- Regular Expression in Automata
- Regular Expression Identities
- Applications of Regular Expression
- Regular Expressions vs Regular Grammar
- Kleene Closure in Automata
- Arden’s Theorem in Automata
- Convert Regular Expression to Finite Automata
- Conversion of Regular Expression to DFA
- Equivalence of Two Finite Automata
- Equivalence of Two Regular Expressions
- Convert Regular Expression to Regular Grammar
- Convert Regular Grammar to Finite Automata
- Pumping Lemma in Theory of Computation
- Pumping Lemma for Regular Grammar
- Pumping Lemma for Regular Expression
- Pumping Lemma for Regular Languages
- Applications of Pumping Lemma
- Closure Properties of Regular Set
- Closure Properties of Regular Language
- Decision Problems for Regular Languages
- Decision Problems for Automata and Grammars
- Conversion of Epsilon-NFA to DFA
- Regular Sets in Theory of Computation
- Context-Free Grammars
- Context-Free Grammars (CFG)
- Derivation Tree
- Parse Tree
- Ambiguity in Context-Free Grammar
- CFG vs Regular Grammar
- Applications of Context-Free Grammar
- Left Recursion and Left Factoring
- Closure Properties of Context Free Languages
- Simplifying Context Free Grammars
- Removal of Useless Symbols in CFG
- Removal Unit Production in CFG
- Removal of Null Productions in CFG
- Linear Grammar
- Chomsky Normal Form (CNF)
- Greibach Normal Form (GNF)
- Pumping Lemma for Context-Free Grammars
- Decision Problems of CFG
- Pushdown Automata
- Pushdown Automata (PDA)
- Pushdown Automata Acceptance
- Deterministic Pushdown Automata
- Non-deterministic Pushdown Automata
- Construction of PDA from CFG
- CFG Equivalent to PDA Conversion
- Pushdown Automata Graphical Notation
- Pushdown Automata and Parsing
- Two-stack Pushdown Automata
- Turing Machines
- Basics of Turing Machine (TM)
- Representation of Turing Machine
- Examples of Turing Machine
- Turing Machine Accepted Languages
- Variations of Turing Machine
- Multi-tape Turing Machine
- Multi-head Turing Machine
- Multitrack Turing Machine
- Non-Deterministic Turing Machine
- Semi-Infinite Tape Turing Machine
- K-dimensional Turing Machine
- Enumerator Turing Machine
- Universal Turing Machine
- Restricted Turing Machine
- Convert Regular Expression to Turing Machine
- Two-stack PDA and Turing Machine
- Turing Machine as Integer Function
- Post–Turing Machine
- Turing Machine for Addition
- Turing Machine for Copying Data
- Turing Machine as Comparator
- Turing Machine for Multiplication
- Turing Machine for Subtraction
- Modifications to Standard Turing Machine
- Linear-Bounded Automata (LBA)
- Church's Thesis for Turing Machine
- Recursively Enumerable Language
- Computability & Undecidability
- Turing Language Decidability
- Undecidable Languages
- Turing Machine and Grammar
- Kuroda Normal Form
- Converting Grammar to Kuroda Normal Form
- Decidability
- Undecidability
- Reducibility
- Halting Problem
- Turing Machine Halting Problem
- Rice's Theorem in Theory of Computation
- Post’s Correspondence Problem (PCP)
- Types of Functions
- Recursive Functions
- Injective Functions
- Surjective Function
- Bijective Function
- Partial Recursive Function
- Total Recursive Function
- Primitive Recursive Function
- μ Recursive Function
- Ackermann’s Function
- Russell’s Paradox
- Gödel Numbering
- Recursive Enumerations
- Kleene's Theorem
- Kleene's Recursion Theorem
- Advanced Concepts
- Matrix Grammars
- Probabilistic Finite Automata
- Cellular Automata
- Reduction of CFG
- Reduction Theorem
- Regular expression to ∈-NFA
- Quotient Operation
- Parikh’s Theorem
- Ladner’s Theorem
Convert Regular Expression to Regular Grammar
In this chapter, we will cover the process of converting a regular expression to a regular grammar. As we know a regular expression is a sequence of characters that defines a search pattern. It is used in many applications including text editors, search engines, and programming languages.
A regular grammar, in contrast, is a set of production rules that define the syntax of a regular language. The production rules of a regular grammar can be used to generate strings in the language. Here we will see the rules and with examples in detail.
Regular Expression
A regular expression is a sequence of characters that specifies a search pattern. Regular expressions are used in many applications, including text editors, search engines, and programming languages. They are used to find and replace text, validate data, and parse data.
Regular Grammar
A regular grammar is a formal grammar that generates a regular language. It is a type 3 grammar in the Chomsky hierarchy. This type of grammar is used to represent the syntactic structure of a regular language. It defines the rules for generating strings in the language.
The rules of a regular grammar can be expressed in the following format −
$$\mathrm{A \: \rightarrow \: aB}$$
$$\mathrm{A \: \rightarrow \: a}$$
Converting a Regular Expression to a Regular Grammar
Let us see the steps involved to convert the regular expressions to regular grammars.
The process of converting a regular expression to a regular grammar is simple. It is constructing an intermediate nondeterministic finite automaton (NFA) with epsilon transitions. As we know, the Epsilon transitions allow the automaton to change states without consuming any input symbols.
Let us see a step-by-step procedure −
Step 1: Construct NFA with Epsilon Transitions
The first step is to convert the given regular expression into an equivalent NFA. This NFA can include epsilon transitions. This step essentially visualizes the regular expression as a state machine.
Step 2: Eliminate Epsilon Transitions
Once the NFA is constructed, we need to eliminate all the epsilon transitions. This results in an equivalent deterministic finite automaton (DFA). This step ensures that each transition in the state machine corresponds to a specific input symbol −
Step 3: Convert DFA to Regular Grammar
The final step is to convert the DFA into a regular grammar. The procedure for this step is straightforward.
- The states in the DFA become the non-terminal symbols in the regular grammar.
- The transitions in the DFA become the production rules in the regular grammar
Example for Converting Regular Expression to a Regular Grammar
Let us see an example to convert regular example to regular grammar as we discussed through steps.
Consider we have the following regular expression −
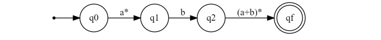
$$\mathrm{a^{*}\: b\:(a \:+\: b)^{*}}$$
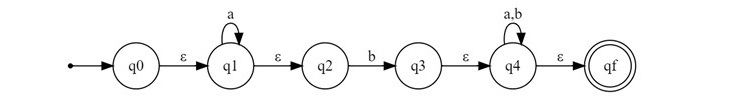
Construct NFA with Epsilon Transitions at first, here we begin by constructing an NFA with epsilon transitions that accepts the language described by the regular expression.
Let us see the generation of finite automata in steps.
Now break the steps,
Now break this to epsilon nfa −
Now construct the DFA −
Next the most important and interesting part that is converting this DFA to a regular grammar.
The machine description is like below −
$$\mathrm{Q \:=\: \{q0,\: qf\}}$$
$$\mathrm{\Sigma \:=\: \{a,\: b\}}$$
$$\mathrm{\delta \:=\: \{(q0,\:a) \: \rightarrow \: q0, \: (q0,\:b) \: \rightarrow \: qf,\: (qf,\:a)\: \rightarrow \: qf, \: (qf,\:b) \: \rightarrow \: qf\}}$$
$$\mathrm{q0 \: \text{ is initial state}}$$
$$\mathrm{F \:=\: \{qf\}}$$
We know that a regular grammar is four tuple. G = {V, T, P, S}
V = {q0, qf}
T = {a, b}
S = {q0}
P = {
q0 → aq0,
q0 → bqf,
q0 → b
qf → aqf
qf → a
qf → bqf
qf → b
}
Here we can see it can also a string "aaaab" since (a + b)* is there, it will be null or more for (a + b) so for that reason it is using q0 → b transition. Similar is happening for qf → a and qf → b.
Conclusion
The process of converting a regular expression to a regular grammar is simple. In this chapter, we explained the steps in detail along with an example where we demonstrated how to convert a given regular expression into segmented finite automata and then finally removing epsilon transition to get the DFA. Thereafter, we converted that to grammar itself.